ГОСТ 34372-2017 Закваски бактериальные для производства молочной продукции. Общие технические условия

Категории ГОСТ 34372-2017 по ОКС:
Статус документа:
действует, введён в действие 01.09.2018
Название на английском языке:
Bacterial starter cultures for the production of dairy products. General specifiсations
Дата актуализации информации по стандарту:
30.10.2025, в 20:12 (менее 3 месяцев назад)
Вид стандарта:
Стандарты на продукцию (услуги)
Дата начала действия ГОСТа:
2018-09-01
Дата последнего издания документа:
2018-02-13
Число страниц:
24
Назначение ГОСТ 34372-2017:
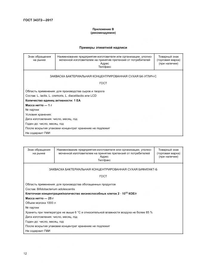
Настоящий стандарт распространяется на закваски бактериальные и закваски бактериальные концентрированные, представляющие собой жизнеспособные клетки молочнокислых, пропионовокислых, уксуснокислых и бифидобактерий, предназначенные для производства молочной продукции, а также приготовления производственной закваски
Документ разработан орг-ей:
Федеральное агентство по техническому регулированию и метрологии (Росстандарт)
Документ принят орг-ей:
Межгосударственный Совет по стандартизации метрологии и сертификации, протокол №52-2017
Ключевые слова документа:
закваски бактериальные, закваски бактериальные концентрированные, классификация, маркировка, методы контроля, правила приемки, термины и определения, технические требования, транспортирование и хранение, упаковка

Скачать ГОСТ 34372-2017 вы можете в следующих версиях:

Тип файла:
Дата добавления:
Загрузок:
Размер:
Тип файла:
PDF с изображениями
Добавлен:
20/11/2025 14:25
Скачиваний:
5
Размер файла:
1.64 Мб
  • ГОСТ 34372-2017, страница 1 страница 1
  • ГОСТ 34372-2017, страница 2 страница 2
  • ГОСТ 34372-2017, страница 3 страница 3
  • ГОСТ 34372-2017, страница 4 страница 4
  • ГОСТ 34372-2017, страница 5 страница 5
  • ГОСТ 34372-2017, страница 6 страница 6
  • ГОСТ 34372-2017, страница 7 страница 7
  • ГОСТ 34372-2017, страница 8 страница 8
  • ГОСТ 34372-2017, страница 9 страница 9
  • ГОСТ 34372-2017, страница 10 страница 10
  • ГОСТ 34372-2017, страница 11 страница 11
  • ГОСТ 34372-2017, страница 12 страница 12
  • ГОСТ 34372-2017, страница 13 страница 13
  • ГОСТ 34372-2017, страница 14 страница 14
  • ГОСТ 34372-2017, страница 15 страница 15
  • ГОСТ 34372-2017, страница 16 страница 16
  • ГОСТ 34372-2017, страница 17 страница 17
  • ГОСТ 34372-2017, страница 18 страница 18
  • ГОСТ 34372-2017, страница 19 страница 19
  • ГОСТ 34372-2017, страница 20 страница 20
  • ГОСТ 34372-2017, страница 21 страница 21
  • ГОСТ 34372-2017, страница 22 страница 22
  • ГОСТ 34372-2017, страница 23 страница 23
  • ГОСТ 34372-2017, страница 24 страница 24