ГОСТ 9561-2016 Плиты перекрытий железобетонные многопустотные для зданий и сооружений. Технические условия

Категории ГОСТ 9561-2016 по ОКС:
Статус документа:
действует, введён в действие 01.06.2017
Название на английском языке:
Reinforced concrete solid slabs for floors in large-panel buildings. General specifications
Дата актуализации информации по стандарту:
22.01.2026, в 19:57 (менее месяца назад)
Вид стандарта:
Стандарты на методы контроля
Дата начала действия ГОСТа:
2017-06-01
Срок действия ограничен:
01.01.2026
Дата последнего издания документа:
2016-12-28
Число страниц:
31
Назначение ГОСТ 9561-2016:
Настоящий стандарт распространяется на железобетонные сплошные плиты (далее – плиты), изготовляемые из тяжелого бетона, конструкционного легкого бетона плотной структуры и плотного силикатного бетона и предназначенные для использования их в качестве несущей части перекрытий крупнопанельных зданий различного назначения с расчетной нагрузкой на перекрытие (без учета собственного веса плиты) до 6,0 кПа включительно. Плиты применяют в соответствии с указаниями рабочих чертежей плит и дополнительными требованиями, оговариваемыми при заказе этих конструкций
Документ принят орг-ей:
Межгосударственный Совет по стандартизации метрологии и сертификации, протокол №92-П
Ключевые слова документа:
арматура, бетон, закладные изделия, класс, конструктивные длина и ширина, координационные размеры, марка, параметры, плита перекрытия, сплошные плиты, технические требования, тип плиты, толщина, транспортирование и хранение

Скачать ГОСТ 9561-2016 вы можете в следующих версиях:

Тип файла:
Дата добавления:
Загрузок:
Размер:
Тип файла:
PDF с изображениями
Добавлен:
20/11/2025 15:12
Скачиваний:
31
Размер файла:
7.68 Мб

Поправки и изменения к ГОСТ 9561-2016:

  • Наименование, вид:
    Дата
    регистрации:
    начала действия:
  • Изменение к ГОСТ 9561-2016. Поправка к изменению

    Тип изменения: Поправка к изменению
    Номер изменения:
    Регистрационный номер: -

    2024-03-13
    2024-03-13
  • Изменение №1 к ГОСТ 9561-2016

    Тип изменения: Текстовое изменение; Изменены ссылочные НД
    Номер изменения: 1
    Регистрационный номер: 1568-ст
    Новое значение: Заменяется: ГОСТ 535-2005 на ГОСТ 535,ГОСТ 7473-2010 на ГОСТ 7473,ГОСТ 8829-94 на ГОСТ 8829,ГОСТ 14098-2014 на ГОСТ 14098,ГОСТ 17625-83 на ГОСТ 17625,ГОСТ 18105-2010 на ГОСТ 18105,ГОСТ 22362-77 на ГОСТ 22362,ГОСТ 22904-93 на ГОСТ 22904,ГОСТ 23009-2015 на ГОСТ 23009,ГОСТ 25214-82 на ГОСТ 25214,ГОСТ 25697-83 на ГОСТ 25697,ГОСТ 25820-2014 на ГОСТ 25820,ГОСТ 26633-2012 на ГОСТ 26633,ГОСТ 30247.0-94 на ГОСТ 30247.0,ГОСТ 30247.1-94 на ГОСТ 30247.1 Вводится: ГОСТ 10060,ГОСТ 10180,ГОСТ 10181,ГОСТ 12730.0,ГОСТ 12730.1,ГОСТ 12730.5,ГОСТ 17623,ГОСТ 17624,ГОСТ 22690,ГОСТ 23279,ГОСТ 23858,ГОСТ 24297,ГОСТ 26134,ГОСТ 27751,ГОСТ 31384 Отменяется: ГОСТ 5781-82,ГОСТ 6727-80,ГОСТ 10884-94,ГОСТ 10922-2012,ГОСТ 13840-68,ГОСТ 21779-82,ГОСТ 21780-2006,ГОСТ 26433.0-85,ГОСТ 26433.1-89,ГОСТ 28984-2011

    2022-12-23
    2023-02-01
  • Поправка к ГОСТ 9561-2016

    Тип изменения: Поправка
    Номер изменения:
    Регистрационный номер: -

    2022-11-24
    2022-11-24
  • ГОСТ 9561-2016, страница 1 страница 1
  • ГОСТ 9561-2016, страница 2 страница 2
  • ГОСТ 9561-2016, страница 3 страница 3
  • ГОСТ 9561-2016, страница 4 страница 4
  • ГОСТ 9561-2016, страница 5 страница 5
  • ГОСТ 9561-2016, страница 6 страница 6
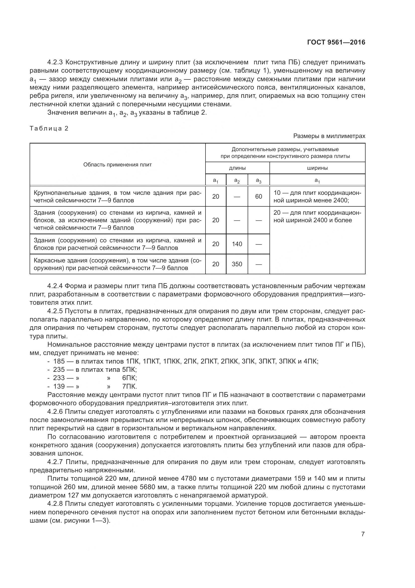
  • ГОСТ 9561-2016, страница 7 страница 7
  • ГОСТ 9561-2016, страница 8 страница 8
  • ГОСТ 9561-2016, страница 9 страница 9
  • ГОСТ 9561-2016, страница 10 страница 10
  • ГОСТ 9561-2016, страница 11 страница 11
  • ГОСТ 9561-2016, страница 12 страница 12
  • ГОСТ 9561-2016, страница 13 страница 13
  • ГОСТ 9561-2016, страница 14 страница 14
  • ГОСТ 9561-2016, страница 15 страница 15
  • ГОСТ 9561-2016, страница 16 страница 16
  • ГОСТ 9561-2016, страница 17 страница 17
  • ГОСТ 9561-2016, страница 18 страница 18
  • ГОСТ 9561-2016, страница 19 страница 19
  • ГОСТ 9561-2016, страница 20 страница 20
  • ГОСТ 9561-2016, страница 21 страница 21
  • ГОСТ 9561-2016, страница 22 страница 22
  • ГОСТ 9561-2016, страница 23 страница 23
  • ГОСТ 9561-2016, страница 24 страница 24
  • ГОСТ 9561-2016, страница 25 страница 25
  • ГОСТ 9561-2016, страница 26 страница 26
  • ГОСТ 9561-2016, страница 27 страница 27
  • ГОСТ 9561-2016, страница 28 страница 28
  • ГОСТ 9561-2016, страница 29 страница 29
  • ГОСТ 9561-2016, страница 30 страница 30
  • ГОСТ 9561-2016, страница 31 страница 31