ГОСТ 9.510-2025 Единая система защиты от коррозии и старения. Временная противокоррозионная защита полуфабрикатов из алюминия и алюминиевых сплавов. Общие требования к временной противокоррозионной защите, упаковке, транспортированию и хранению

Категории ГОСТ 9.510-2025 по ОКС:
Статус документа:
принят, введён в действие 01.05.2026
Название на английском языке:
Unified system of corrosion and ageing protection. Temporary anticorrosire protection of aluminium and aluminium alloys semifinished products. General requirements for temporary anticorrosive protection, packing, transportation and storage
Дата актуализации информации по стандарту:
17.10.2025, в 18:51 (менее 3 месяцев назад)
Вид стандарта:
временно не известен
Дата начала действия ГОСТа:
2026-05-01
Дата последнего издания документа:
2025-08-27
Число страниц:
54
Назначение ГОСТ 9.510-2025:
Настоящий стандарт распространяется на полуфабрикаты из алюминия и алюминиевых сплавов (далее — полуфабрикаты) и устанавливает общие требования к выбору средств временной противокоррозионной защиты, упаковке, транспортированию и хранению
Документ принят орг-ей:
Межгосударственный Совет по стандартизации метрологии и сертификации, протокол №187-П
Ключевые слова документа:
временная противокоррозионная защита, общие требования, полуфабрикаты из алюминия и алюминиевых сплавов, транспортирование, упаковка, хранение

Скачать ГОСТ 9.510-2025 вы можете в следующих версиях:

Тип файла:
Дата добавления:
Загрузок:
Размер:
Тип файла:
PDF с изображениями
Добавлен:
21/11/2025 10:24
Скачиваний:
12
Размер файла:
16.04 Мб
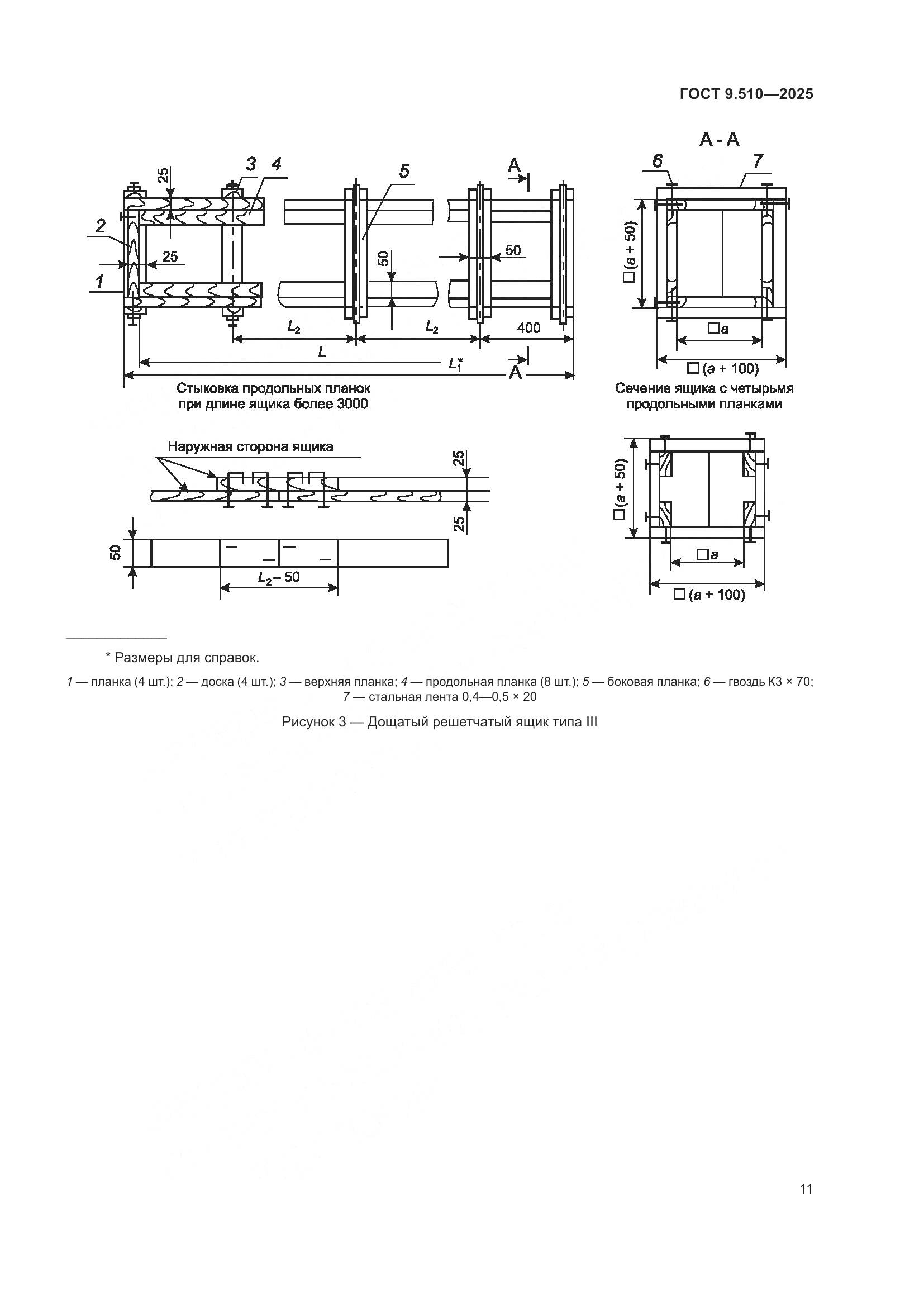
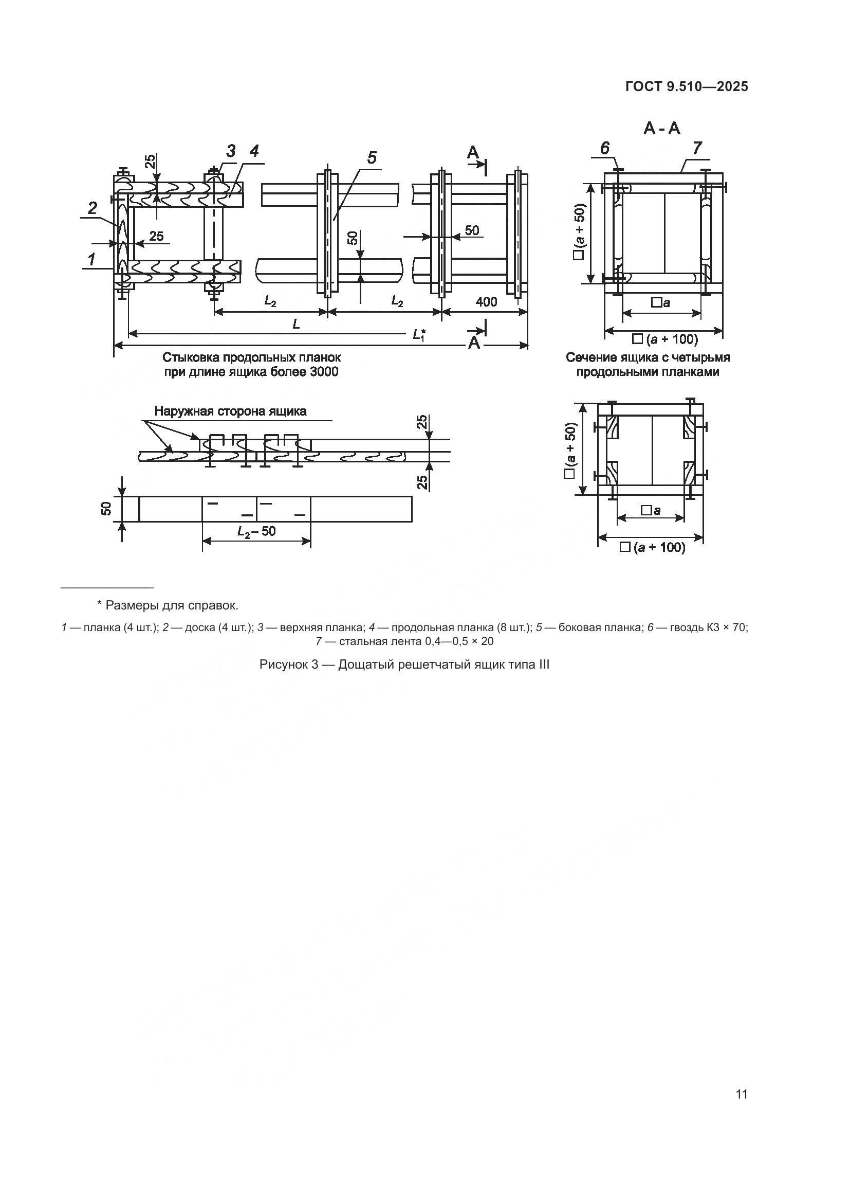
  • ГОСТ 9.510-2025, страница 1 страница 1
  • ГОСТ 9.510-2025, страница 2 страница 2
  • ГОСТ 9.510-2025, страница 3 страница 3
  • ГОСТ 9.510-2025, страница 4 страница 4
  • ГОСТ 9.510-2025, страница 5 страница 5
  • ГОСТ 9.510-2025, страница 6 страница 6
  • ГОСТ 9.510-2025, страница 7 страница 7
  • ГОСТ 9.510-2025, страница 8 страница 8
  • ГОСТ 9.510-2025, страница 9 страница 9
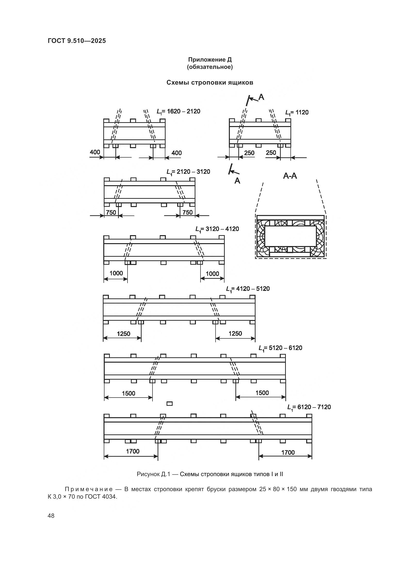
  • ГОСТ 9.510-2025, страница 10 страница 10
  • ГОСТ 9.510-2025, страница 11 страница 11
  • ГОСТ 9.510-2025, страница 12 страница 12
  • ГОСТ 9.510-2025, страница 13 страница 13
  • ГОСТ 9.510-2025, страница 14 страница 14
  • ГОСТ 9.510-2025, страница 15 страница 15
  • ГОСТ 9.510-2025, страница 16 страница 16
  • ГОСТ 9.510-2025, страница 17 страница 17
  • ГОСТ 9.510-2025, страница 18 страница 18
  • ГОСТ 9.510-2025, страница 19 страница 19
  • ГОСТ 9.510-2025, страница 20 страница 20
  • ГОСТ 9.510-2025, страница 21 страница 21
  • ГОСТ 9.510-2025, страница 22 страница 22
  • ГОСТ 9.510-2025, страница 23 страница 23
  • ГОСТ 9.510-2025, страница 24 страница 24
  • ГОСТ 9.510-2025, страница 25 страница 25
  • ГОСТ 9.510-2025, страница 26 страница 26
  • ГОСТ 9.510-2025, страница 27 страница 27
  • ГОСТ 9.510-2025, страница 28 страница 28
  • ГОСТ 9.510-2025, страница 29 страница 29
  • ГОСТ 9.510-2025, страница 30 страница 30
  • ГОСТ 9.510-2025, страница 31 страница 31
  • ГОСТ 9.510-2025, страница 32 страница 32
  • ГОСТ 9.510-2025, страница 33 страница 33
  • ГОСТ 9.510-2025, страница 34 страница 34
  • ГОСТ 9.510-2025, страница 35 страница 35
  • ГОСТ 9.510-2025, страница 36 страница 36
  • ГОСТ 9.510-2025, страница 37 страница 37
  • ГОСТ 9.510-2025, страница 38 страница 38
  • ГОСТ 9.510-2025, страница 39 страница 39
  • ГОСТ 9.510-2025, страница 40 страница 40
  • ГОСТ 9.510-2025, страница 41 страница 41
  • ГОСТ 9.510-2025, страница 42 страница 42
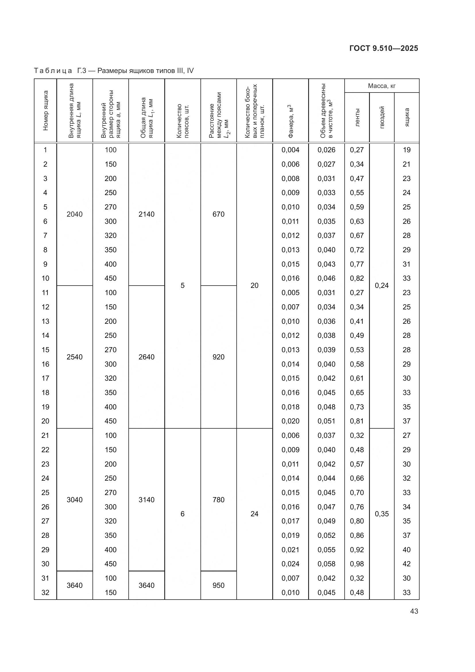
  • ГОСТ 9.510-2025, страница 43 страница 43
  • ГОСТ 9.510-2025, страница 44 страница 44
  • ГОСТ 9.510-2025, страница 45 страница 45
  • ГОСТ 9.510-2025, страница 46 страница 46
  • ГОСТ 9.510-2025, страница 47 страница 47
  • ГОСТ 9.510-2025, страница 48 страница 48
  • ГОСТ 9.510-2025, страница 49 страница 49
  • ГОСТ 9.510-2025, страница 50 страница 50
  • ГОСТ 9.510-2025, страница 51 страница 51
  • ГОСТ 9.510-2025, страница 52 страница 52
  • ГОСТ 9.510-2025, страница 53 страница 53
  • ГОСТ 9.510-2025, страница 54 страница 54