ГОСТ Р 8.952-2018 Государственная система обеспечения единства измерений. Стандартные справочные данные. Нормальный бутан жидкий и газообразный. Термодинамические свойства, коэффициенты динамической вязкости и теплопроводности при температурах от 135 К до 600 К и давлениях до 70 МПа

Категории ГОСТ Р 8.952-2018 по ОКС:
Статус документа:
действует, введён в действие 01.03.2019
Название на английском языке:
State system for ensuring the uniformity of measurements. Standard reference data. Liquid and gaseous n-butane. Thermodynamic properties, dynamic viscosity and thermal conductivity at temperatures from 135 К up to 600 K and pressures up to 70 MPa
Дата актуализации информации по стандарту:
07.11.2025, в 13:07 (менее 3 месяцев назад)
Вид стандарта:
Основополагающие стандарты
Дата начала действия ГОСТа:
2019-03-01
Дата последнего издания документа:
2018-12-19
Число страниц:
20
Назначение ГОСТ Р 8.952-2018:
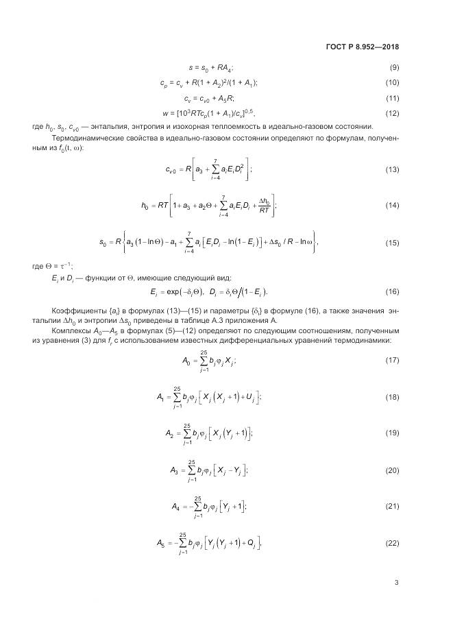
Настоящий стандарт распространяется на жидкий и газообразный н-бутан и устанавливает методы расчетного определения значений стандартных справочных данных по плотности , энтальпии h, энтропии s, изобарной теплоемкости cp, изохорной теплоемкости cv, скорости звука w, коэффициента динамической вязкости м и коэффициента теплопроводности для н-бутана как в однофазных областях (газ, жидкость и флюид), так и на линии фазового перехода газ – жидкость (линии насыщения), а также значений давления насыщения ps
Ключевые слова документа:
государственная система обеспечения единства измерений, жидкий и газообразный н-бутан, коэффициенты динамической вязкости и теплопроводности, стандартные справочные данные, термодинамические свойства

Скачать ГОСТ Р 8.952-2018 вы можете в следующих версиях:

Тип файла:
Дата добавления:
Загрузок:
Размер:
Тип файла:
PDF с изображениями
Добавлен:
20/11/2025 13:58
Скачиваний:
1
Размер файла:
1.05 Мб
  • ГОСТ Р 8.952-2018, страница 1 страница 1
  • ГОСТ Р 8.952-2018, страница 2 страница 2
  • ГОСТ Р 8.952-2018, страница 3 страница 3
  • ГОСТ Р 8.952-2018, страница 4 страница 4
  • ГОСТ Р 8.952-2018, страница 5 страница 5
  • ГОСТ Р 8.952-2018, страница 6 страница 6
  • ГОСТ Р 8.952-2018, страница 7 страница 7
  • ГОСТ Р 8.952-2018, страница 8 страница 8
  • ГОСТ Р 8.952-2018, страница 9 страница 9
  • ГОСТ Р 8.952-2018, страница 10 страница 10
  • ГОСТ Р 8.952-2018, страница 11 страница 11
  • ГОСТ Р 8.952-2018, страница 12 страница 12
  • ГОСТ Р 8.952-2018, страница 13 страница 13
  • ГОСТ Р 8.952-2018, страница 14 страница 14
  • ГОСТ Р 8.952-2018, страница 15 страница 15
  • ГОСТ Р 8.952-2018, страница 16 страница 16
  • ГОСТ Р 8.952-2018, страница 17 страница 17
  • ГОСТ Р 8.952-2018, страница 18 страница 18
  • ГОСТ Р 8.952-2018, страница 19 страница 19
  • ГОСТ Р 8.952-2018, страница 20 страница 20