ГОСТ Р 8.938-2017 Государственная система обеспечения единства измерений. Национальный стандарт. Стандартные справочные данные. Пропан жидкий и газообразный. Термодинамические свойства, коэффициенты динамической вязкости и теплопроводности при температуре от 86 К до 700 К и давлениях до 100 МПа

Категории ГОСТ Р 8.938-2017 по ОКС:
Статус документа:
действует, введён в действие 01.03.2018
Название на английском языке:
State system for ensuring the uniformity of measurements. National standard. Standard reference data. Liquid and gaseous propane. Thermodynamic properties, dynamic viscosity and thermal conductivity at temperature from 86 К up to 700 K and pressure up to 100 MPa
Дата актуализации информации по стандарту:
30.10.2025, в 20:29 (менее 3 месяцев назад)
Вид стандарта:
Основополагающие стандарты
Дата начала действия ГОСТа:
2018-03-01
Дата последнего издания документа:
2018-03-02
Число страниц:
54
Назначение ГОСТ Р 8.938-2017:
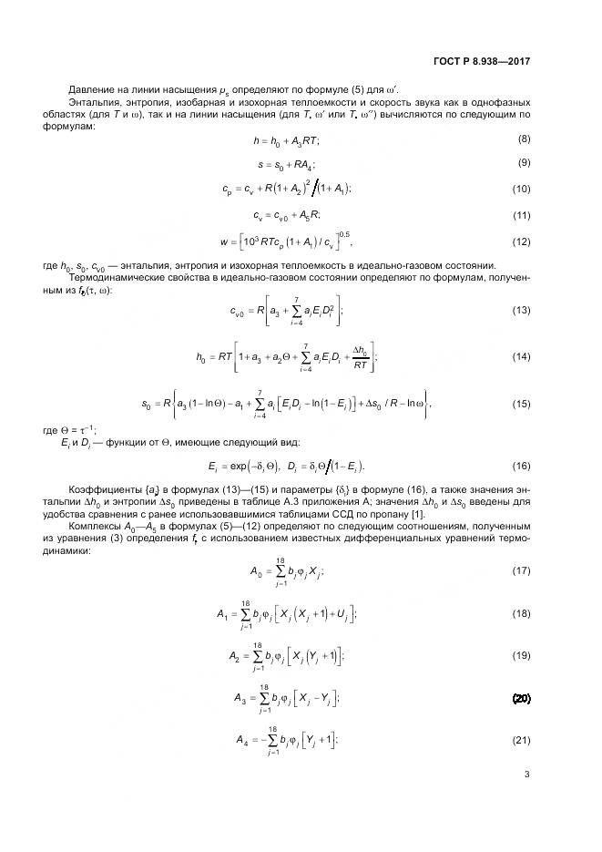
Настоящий стандарт распространяется на жидкий и газообразный пропан и устанавливает методы расчетного определения значений стандартных справочных данных по плотности , энтальпии h, энтропии s, изобарной теплоемкости cp, изохорной теплоемкости cv, скорости звука w, коэффициента динамической вязкости м и коэффициента теплопроводности для пропана как в однофазных областях (газ, жидкость и флюид), так и на линии фазового перехода газ – жидкость (линии насыщения), а также значений давления насыщения ps
Ключевые слова документа:
государственная система обеспечения единства измерений, жидкий и газообразный пропан, коэффициенты динамической вязкости и теплопроводности, стандартные справочные данные, термодинамические свойства

Скачать ГОСТ Р 8.938-2017 вы можете в следующих версиях:

Тип файла:
Дата добавления:
Загрузок:
Размер:
Тип файла:
PDF с изображениями
Добавлен:
20/11/2025 14:23
Скачиваний:
7
Размер файла:
4.25 Мб
  • ГОСТ Р 8.938-2017, страница 1 страница 1
  • ГОСТ Р 8.938-2017, страница 2 страница 2
  • ГОСТ Р 8.938-2017, страница 3 страница 3
  • ГОСТ Р 8.938-2017, страница 4 страница 4
  • ГОСТ Р 8.938-2017, страница 5 страница 5
  • ГОСТ Р 8.938-2017, страница 6 страница 6
  • ГОСТ Р 8.938-2017, страница 7 страница 7
  • ГОСТ Р 8.938-2017, страница 8 страница 8
  • ГОСТ Р 8.938-2017, страница 9 страница 9
  • ГОСТ Р 8.938-2017, страница 10 страница 10
  • ГОСТ Р 8.938-2017, страница 11 страница 11
  • ГОСТ Р 8.938-2017, страница 12 страница 12
  • ГОСТ Р 8.938-2017, страница 13 страница 13
  • ГОСТ Р 8.938-2017, страница 14 страница 14
  • ГОСТ Р 8.938-2017, страница 15 страница 15
  • ГОСТ Р 8.938-2017, страница 16 страница 16
  • ГОСТ Р 8.938-2017, страница 17 страница 17
  • ГОСТ Р 8.938-2017, страница 18 страница 18
  • ГОСТ Р 8.938-2017, страница 19 страница 19
  • ГОСТ Р 8.938-2017, страница 20 страница 20
  • ГОСТ Р 8.938-2017, страница 21 страница 21
  • ГОСТ Р 8.938-2017, страница 22 страница 22
  • ГОСТ Р 8.938-2017, страница 23 страница 23
  • ГОСТ Р 8.938-2017, страница 24 страница 24
  • ГОСТ Р 8.938-2017, страница 25 страница 25
  • ГОСТ Р 8.938-2017, страница 26 страница 26
  • ГОСТ Р 8.938-2017, страница 27 страница 27
  • ГОСТ Р 8.938-2017, страница 28 страница 28
  • ГОСТ Р 8.938-2017, страница 29 страница 29
  • ГОСТ Р 8.938-2017, страница 30 страница 30
  • ГОСТ Р 8.938-2017, страница 31 страница 31
  • ГОСТ Р 8.938-2017, страница 32 страница 32
  • ГОСТ Р 8.938-2017, страница 33 страница 33
  • ГОСТ Р 8.938-2017, страница 34 страница 34
  • ГОСТ Р 8.938-2017, страница 35 страница 35
  • ГОСТ Р 8.938-2017, страница 36 страница 36
  • ГОСТ Р 8.938-2017, страница 37 страница 37
  • ГОСТ Р 8.938-2017, страница 38 страница 38
  • ГОСТ Р 8.938-2017, страница 39 страница 39
  • ГОСТ Р 8.938-2017, страница 40 страница 40
  • ГОСТ Р 8.938-2017, страница 41 страница 41
  • ГОСТ Р 8.938-2017, страница 42 страница 42
  • ГОСТ Р 8.938-2017, страница 43 страница 43
  • ГОСТ Р 8.938-2017, страница 44 страница 44
  • ГОСТ Р 8.938-2017, страница 45 страница 45
  • ГОСТ Р 8.938-2017, страница 46 страница 46
  • ГОСТ Р 8.938-2017, страница 47 страница 47
  • ГОСТ Р 8.938-2017, страница 48 страница 48
  • ГОСТ Р 8.938-2017, страница 49 страница 49
  • ГОСТ Р 8.938-2017, страница 50 страница 50
  • ГОСТ Р 8.938-2017, страница 51 страница 51
  • ГОСТ Р 8.938-2017, страница 52 страница 52
  • ГОСТ Р 8.938-2017, страница 53 страница 53
  • ГОСТ Р 8.938-2017, страница 54 страница 54