ГОСТ 8.332-2013 Государственная система обеспечения единства измерений. Световые измерения. Значения относительной спектральной световой эффективности монохроматического излучения для дневного зрения. Общие положения

Категории ГОСТ 8.332-2013 по ОКС:
Статус документа:
действует, введён в действие 01.10.2015
Название на английском языке:
State system for ensuring the uniformity of measurements. Light measurements. Values of relative spectral luminous efficiency function of monochromatic radiation for photopic vision
Дата актуализации информации по стандарту:
22.01.2026, в 19:57 (менее месяца назад)
Вид стандарта:
Основополагающие стандарты
Дата начала действия ГОСТа:
2015-10-01
Дата последнего издания документа:
2019-03-18
Коды документа ГОСТ 8.332-2013:
Код КГС:
Т84
Код ОКСТУ:
0008
Число страниц:
13
Назначение ГОСТ 8.332-2013:
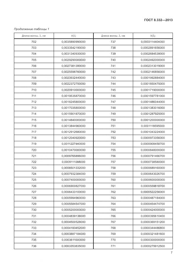
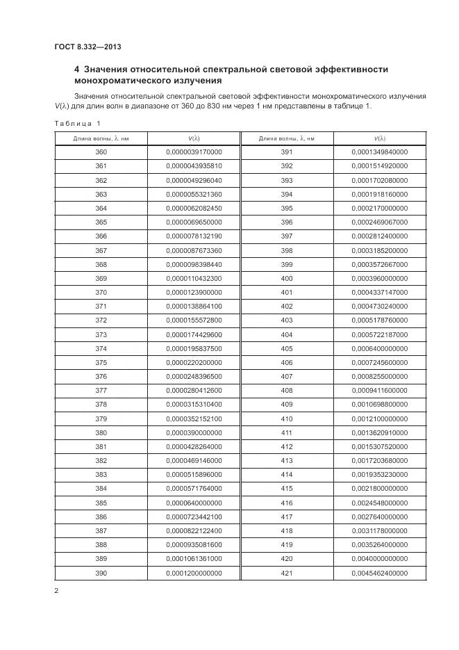
Настоящий стандарт устанавливает значения относительной спектральной световой эффективности монохроматического излучения для дневного зрения V(лямбда) с целью их применения при измерениях и расчетах световых величин при различном спектральном составе излучения. Стандарт соответствует публикации МКО 086-1990
Документ разработан орг-ей:
Федеральное агентство по техническому регулированию и метрологии (Росстандарт)
Документ принят орг-ей:
Межгосударственный Совет по стандартизации метрологии и сертификации, протокол №63-П
Ключевые слова документа:
относительная спектральная световая эффективность монохроматического излучения для дневного зрения

Скачать ГОСТ 8.332-2013 вы можете в следующих версиях:

Тип файла:
Дата добавления:
Загрузок:
Размер:
Тип файла:
PDF с изображениями
Добавлен:
20/11/2025 13:54
Скачиваний:
33
Размер файла:
0.88 Мб

Поправки и изменения к ГОСТ 8.332-2013:

  • Наименование, вид:
    Дата
    регистрации:
    начала действия:
  • Поправка к ГОСТ 8.332-2013

    Тип изменения: Поправка
    Номер изменения:
    Регистрационный номер: -
    Старое значение: 1

    2021-03-12
    2021-03-12
  • ГОСТ 8.332-2013, страница 1 страница 1
  • ГОСТ 8.332-2013, страница 2 страница 2
  • ГОСТ 8.332-2013, страница 3 страница 3
  • ГОСТ 8.332-2013, страница 4 страница 4
  • ГОСТ 8.332-2013, страница 5 страница 5
  • ГОСТ 8.332-2013, страница 6 страница 6
  • ГОСТ 8.332-2013, страница 7 страница 7
  • ГОСТ 8.332-2013, страница 8 страница 8
  • ГОСТ 8.332-2013, страница 9 страница 9
  • ГОСТ 8.332-2013, страница 10 страница 10
  • ГОСТ 8.332-2013, страница 11 страница 11
  • ГОСТ 8.332-2013, страница 12 страница 12
  • ГОСТ 8.332-2013, страница 13 страница 13