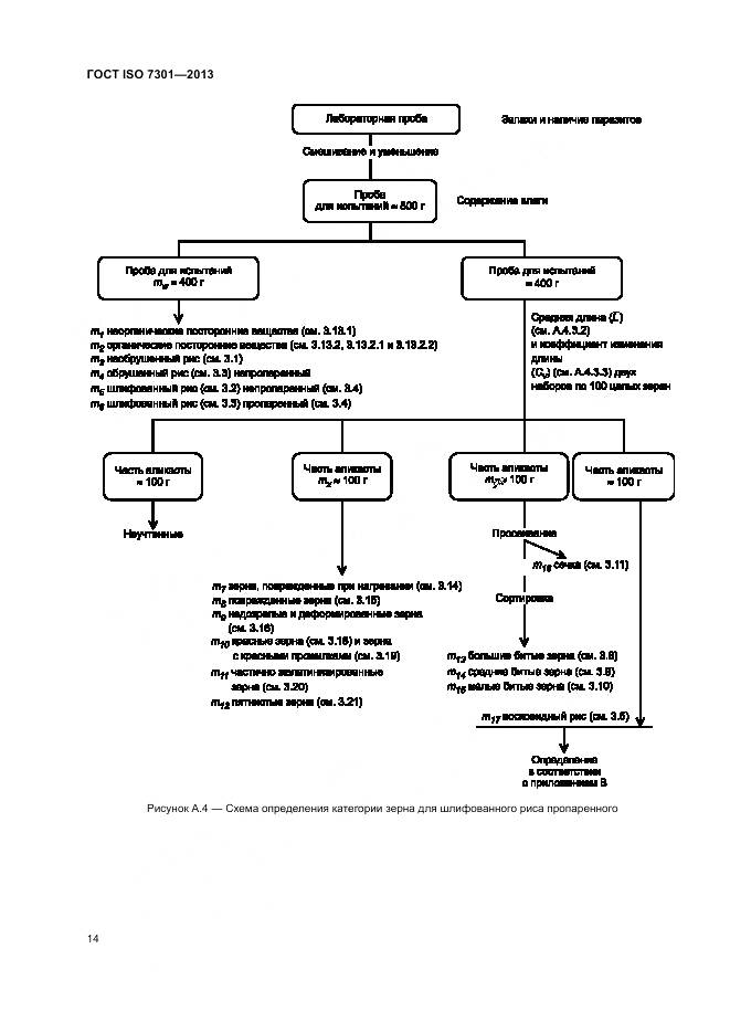
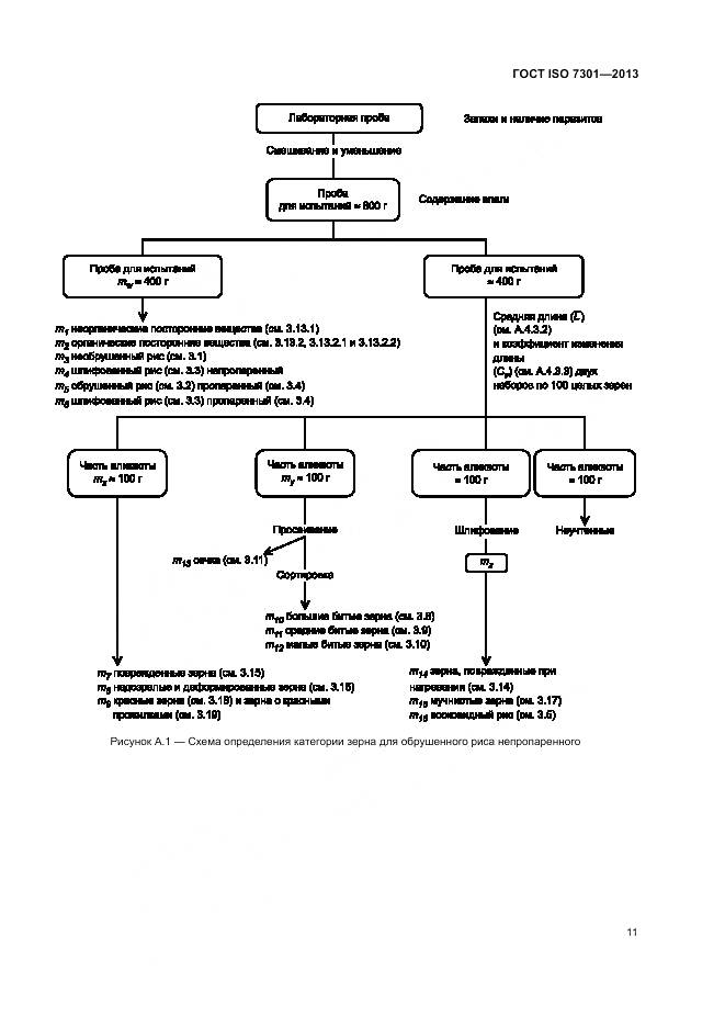
ГОСТ ISO 7301-2013 Рис. Технические условия

Категории ГОСТ ISO 7301-2013 по ОКС:
Статус документа:
действует, введён в действие 01.07.2017
Название на английском языке:
Rice. Specification
Дата актуализации информации по стандарту:
26.10.2025, в 23:11 (менее 3 месяцев назад)
Вид стандарта:
Стандарты на продукцию (услуги)
Дата начала действия ГОСТа:
2017-07-01
Дата последнего издания документа:
2016-08-29
Число страниц:
22
Назначение ГОСТ ISO 7301-2013:
Настоящий стандарт распространяется на обрушенный, молотый, пропаренный и непропаренный рис, предназначенный для употребления в пищу, и устанавливает технические требования для риса (Oryza sativa L.)
Документ принят орг-ей:
Межгосударственный Совет по стандартизации метрологии и сертификации, протокол №44-2013
Ключевые слова документа:
недошлифованный рис, необрушенный рис, обрушенный рис, пропаренный рис, рис, рисовая крупа, содержание неорганических посторонних примесей, содержание органических посторонних примесей, физические характеристики, шлифованный рис

Скачать ГОСТ ISO 7301-2013 вы можете в следующих версиях:

Тип файла:
Дата добавления:
Загрузок:
Размер:
Тип файла:
PDF с изображениями
Добавлен:
20/11/2025 15:27
Скачиваний:
4
Размер файла:
1.51 Мб
  • ГОСТ ISO 7301-2013, страница 1 страница 1
  • ГОСТ ISO 7301-2013, страница 2 страница 2
  • ГОСТ ISO 7301-2013, страница 3 страница 3
  • ГОСТ ISO 7301-2013, страница 4 страница 4
  • ГОСТ ISO 7301-2013, страница 5 страница 5
  • ГОСТ ISO 7301-2013, страница 6 страница 6
  • ГОСТ ISO 7301-2013, страница 7 страница 7
  • ГОСТ ISO 7301-2013, страница 8 страница 8
  • ГОСТ ISO 7301-2013, страница 9 страница 9
  • ГОСТ ISO 7301-2013, страница 10 страница 10
  • ГОСТ ISO 7301-2013, страница 11 страница 11
  • ГОСТ ISO 7301-2013, страница 12 страница 12
  • ГОСТ ISO 7301-2013, страница 13 страница 13
  • ГОСТ ISO 7301-2013, страница 14 страница 14
  • ГОСТ ISO 7301-2013, страница 15 страница 15
  • ГОСТ ISO 7301-2013, страница 16 страница 16
  • ГОСТ ISO 7301-2013, страница 17 страница 17
  • ГОСТ ISO 7301-2013, страница 18 страница 18
  • ГОСТ ISO 7301-2013, страница 19 страница 19
  • ГОСТ ISO 7301-2013, страница 20 страница 20
  • ГОСТ ISO 7301-2013, страница 21 страница 21
  • ГОСТ ISO 7301-2013, страница 22 страница 22