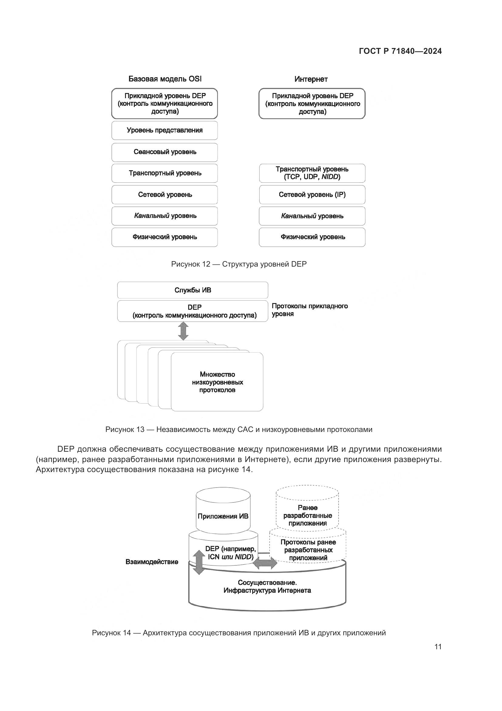
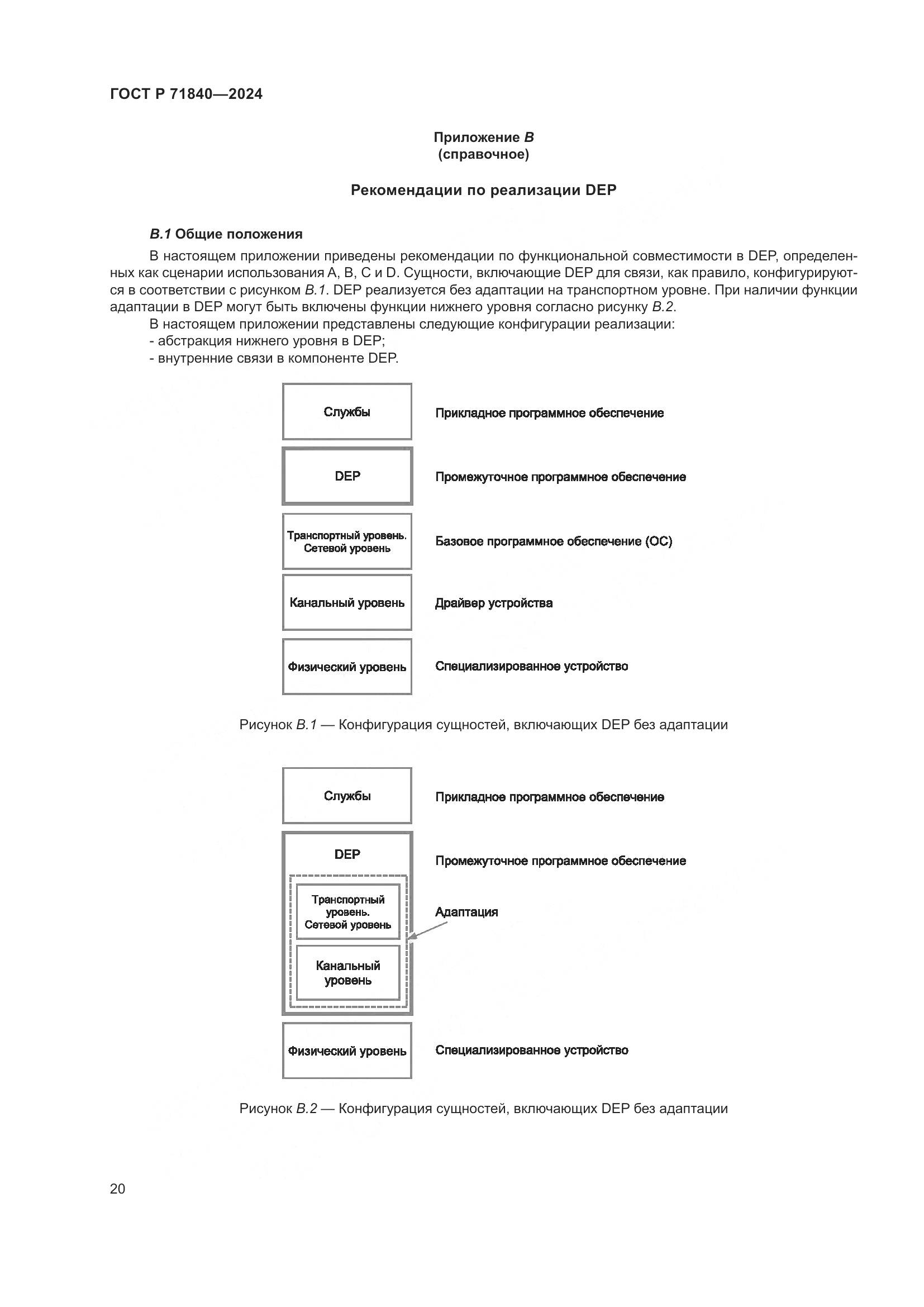
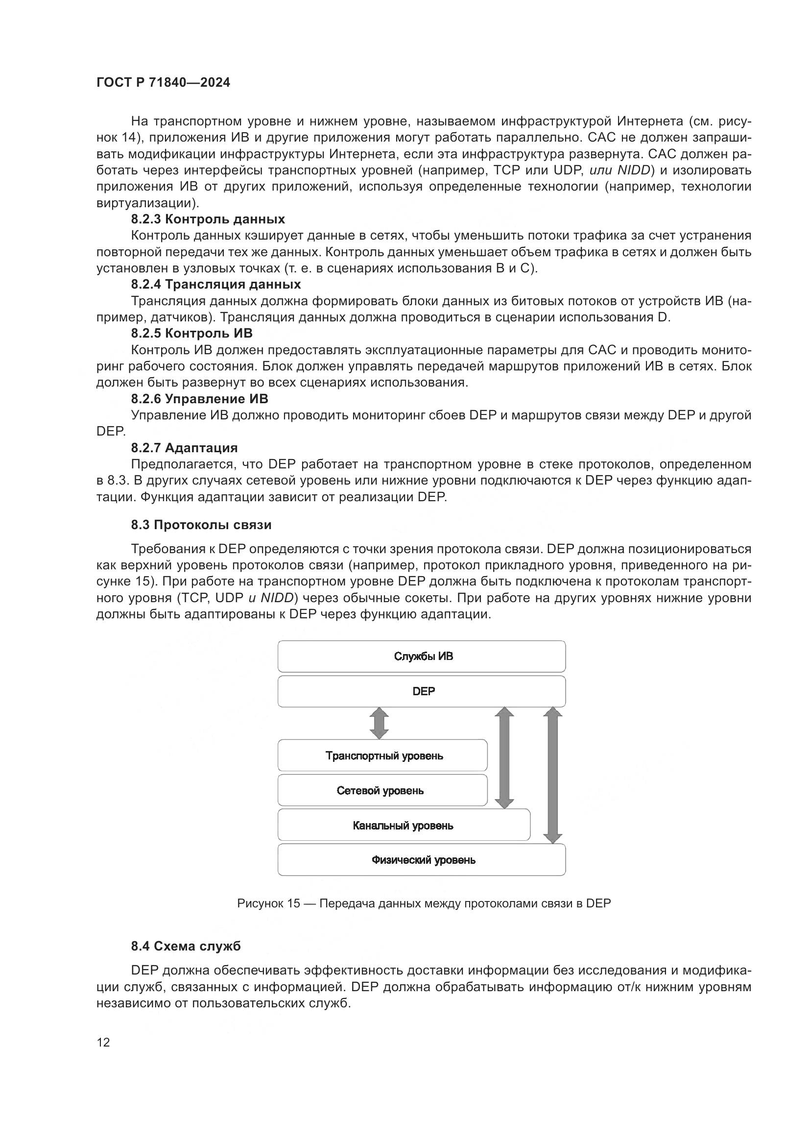
ГОСТ Р 71840-2024 Информационные технологии. Интернет вещей. Требования к платформе обмена данными для различных служб интернета вещей. Часть 1. Общие требования

Категории ГОСТ Р 71840-2024 по ОКС:
Статус документа:
действует, введён в действие 01.02.2025
Название на английском языке:
Information technology. Internet of things. Data exchange platform for IoT services. Part 1. General requirements
Дата актуализации информации по стандарту:
16.10.2025, в 14:32 (менее полугода назад)
Вид стандарта:
временно не известен
Дата начала действия ГОСТа:
2025-02-01
Число страниц:
32
Назначение ГОСТ Р 71840-2024:
не указано

Скачать ГОСТ Р 71840-2024 вы можете в следующих версиях:

Тип файла:
Дата добавления:
Загрузок:
Размер:
Тип файла:
PDF с изображениями
Добавлен:
21/11/2025 11:23
Скачиваний:
25
Размер файла:
6.72 Мб
  • ГОСТ Р 71840-2024, страница 1 страница 1
  • ГОСТ Р 71840-2024, страница 2 страница 2
  • ГОСТ Р 71840-2024, страница 3 страница 3
  • ГОСТ Р 71840-2024, страница 4 страница 4
  • ГОСТ Р 71840-2024, страница 5 страница 5
  • ГОСТ Р 71840-2024, страница 6 страница 6
  • ГОСТ Р 71840-2024, страница 7 страница 7
  • ГОСТ Р 71840-2024, страница 8 страница 8
  • ГОСТ Р 71840-2024, страница 9 страница 9
  • ГОСТ Р 71840-2024, страница 10 страница 10
  • ГОСТ Р 71840-2024, страница 11 страница 11
  • ГОСТ Р 71840-2024, страница 12 страница 12
  • ГОСТ Р 71840-2024, страница 13 страница 13
  • ГОСТ Р 71840-2024, страница 14 страница 14
  • ГОСТ Р 71840-2024, страница 15 страница 15
  • ГОСТ Р 71840-2024, страница 16 страница 16
  • ГОСТ Р 71840-2024, страница 17 страница 17
  • ГОСТ Р 71840-2024, страница 18 страница 18
  • ГОСТ Р 71840-2024, страница 19 страница 19
  • ГОСТ Р 71840-2024, страница 20 страница 20
  • ГОСТ Р 71840-2024, страница 21 страница 21
  • ГОСТ Р 71840-2024, страница 22 страница 22
  • ГОСТ Р 71840-2024, страница 23 страница 23
  • ГОСТ Р 71840-2024, страница 24 страница 24
  • ГОСТ Р 71840-2024, страница 25 страница 25
  • ГОСТ Р 71840-2024, страница 26 страница 26
  • ГОСТ Р 71840-2024, страница 27 страница 27
  • ГОСТ Р 71840-2024, страница 28 страница 28
  • ГОСТ Р 71840-2024, страница 29 страница 29
  • ГОСТ Р 71840-2024, страница 30 страница 30
  • ГОСТ Р 71840-2024, страница 31 страница 31
  • ГОСТ Р 71840-2024, страница 32 страница 32