ГОСТ Р 71502-2025 Ротанг. Изделия из ротанга. Общие требования

Категории ГОСТ Р 71502-2025 по ОКС:
Статус документа:
действует, введён в действие 01.06.2025
Название на английском языке:
Rattan. Rattan products. General requirements
Дата актуализации информации по стандарту:
16.10.2025, в 21:05 (менее полугода назад)
Вид стандарта:
временно не известен
Дата начала действия ГОСТа:
2025-06-01
Число страниц:
8
Назначение ГОСТ Р 71502-2025:
не указано

Скачать ГОСТ Р 71502-2025 вы можете в следующих версиях:

Тип файла:
Дата добавления:
Загрузок:
Размер:
Тип файла:
PDF с изображениями
Добавлен:
21/11/2025 11:19
Скачиваний:
27
Размер файла:
1.95 Мб
  • ГОСТ Р 71502-2025, страница 1 страница 1
  • ГОСТ Р 71502-2025, страница 2 страница 2
  • ГОСТ Р 71502-2025, страница 3 страница 3
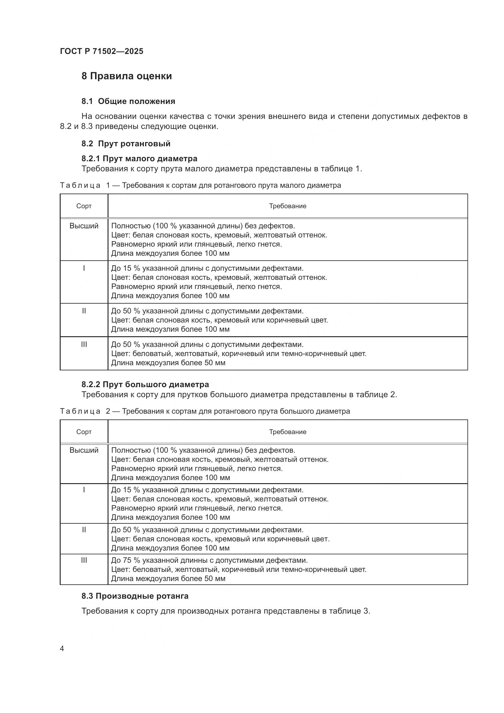
  • ГОСТ Р 71502-2025, страница 4 страница 4
  • ГОСТ Р 71502-2025, страница 5 страница 5
  • ГОСТ Р 71502-2025, страница 6 страница 6
  • ГОСТ Р 71502-2025, страница 7 страница 7
  • ГОСТ Р 71502-2025, страница 8 страница 8