ГОСТ ISO 6646-2013 Рис. Определение максимально возможного выхода шелушеного и шлифованного риса

Категории ГОСТ ISO 6646-2013 по ОКС:
Статус документа:
действует, введён в действие 01.07.2015
Название на английском языке:
Rice. Determination of the potential milling yield from paddy and from husked rice
Дата актуализации информации по стандарту:
22.01.2026, в 19:57 (менее месяца назад)
Вид стандарта:
Стандарты на продукцию (услуги)
Дата начала действия ГОСТа:
2015-07-01
Дата последнего издания документа:
2016-11-24
Число страниц:
12
Назначение ГОСТ ISO 6646-2013:
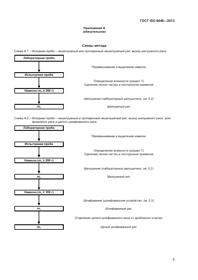
Настоящий стандарт устанавливает лабораторный метод определения выхода шелушеного риса, полученного из нешелушеного или пропаренного нешелушеного риса (Oryza sativa L.), определения выхода шлифованного риса, полученного из нешелушеного или пропаренного нешелушеного риса, а также из шелушеного или пропаренного шелушеного риса
Документ разработан орг-ей:
Федеральное агентство по техническому регулированию и метрологии (Росстандарт)
Документ принят орг-ей:
Межгосударственный Совет по стандартизации метрологии и сертификации, протокол №44-2013
Ключевые слова документа:
выход шлифованного риса, методика испытания, отчет об испытании, пропаренный рис, рис нешелушеный, рис шелушеный, рис шлифованный, точность измерений

Скачать ГОСТ ISO 6646-2013 вы можете в следующих версиях:

Тип файла:
Дата добавления:
Загрузок:
Размер:
Тип файла:
PDF с изображениями
Добавлен:
23/01/2016 01:37
Скачиваний:
27
Размер файла:
0.45 Мб
  • ГОСТ ISO 6646-2013, страница 1 страница 1
  • ГОСТ ISO 6646-2013, страница 2 страница 2
  • ГОСТ ISO 6646-2013, страница 3 страница 3
  • ГОСТ ISO 6646-2013, страница 4 страница 4
  • ГОСТ ISO 6646-2013, страница 5 страница 5
  • ГОСТ ISO 6646-2013, страница 6 страница 6
  • ГОСТ ISO 6646-2013, страница 7 страница 7
  • ГОСТ ISO 6646-2013, страница 8 страница 8
  • ГОСТ ISO 6646-2013, страница 9 страница 9
  • ГОСТ ISO 6646-2013, страница 10 страница 10
  • ГОСТ ISO 6646-2013, страница 11 страница 11
  • ГОСТ ISO 6646-2013, страница 12 страница 12