ГОСТ Р МЭК 61249-2-4-2012 Материалы для печатных плат и других структур межсоединений. Часть 2-4. Материалы основания армированные, фольгированные и нефольгированные. Листы армированные слоистые на основе тканого или нетканого стекловолокна, пропитанного полиэфирным связующим, нормированной горючести (вертикальный тест горения), фольгированные медью

Категории ГОСТ Р МЭК 61249-2-4-2012 по ОКС:
Статус документа:
действует, введён в действие 01.07.2013
Название на английском языке:
Materials for printed boards and other interconnecting structures. Part 2-4. Reinforced base materials, clad and unclad. Polyester non-woven/woven fibreglass laminated sheet of defined flammability (vertical burning test), copper-clad
Дата актуализации информации по стандарту:
21.10.2025, в 15:38 (менее 3 месяцев назад)
Вид стандарта:
временно не известен
Дата начала действия ГОСТа:
2013-07-01
Число страниц:
24
Назначение ГОСТ Р МЭК 61249-2-4-2012:
не указано

Скачать ГОСТ Р МЭК 61249-2-4-2012 вы можете в следующих версиях:

Тип файла:
Дата добавления:
Загрузок:
Размер:
Тип файла:
PDF с изображениями
Добавлен:
20/11/2025 16:19
Скачиваний:
2
Размер файла:
1.97 Мб
  • ГОСТ Р МЭК 61249-2-4-2012, страница 1 страница 1
  • ГОСТ Р МЭК 61249-2-4-2012, страница 2 страница 2
  • ГОСТ Р МЭК 61249-2-4-2012, страница 3 страница 3
  • ГОСТ Р МЭК 61249-2-4-2012, страница 4 страница 4
  • ГОСТ Р МЭК 61249-2-4-2012, страница 5 страница 5
  • ГОСТ Р МЭК 61249-2-4-2012, страница 6 страница 6
  • ГОСТ Р МЭК 61249-2-4-2012, страница 7 страница 7
  • ГОСТ Р МЭК 61249-2-4-2012, страница 8 страница 8
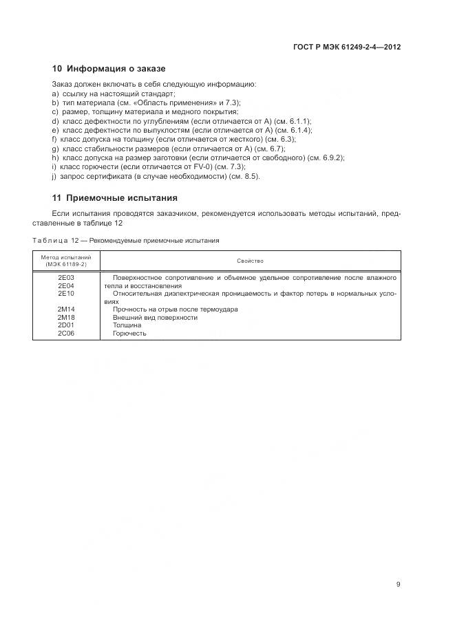
  • ГОСТ Р МЭК 61249-2-4-2012, страница 9 страница 9
  • ГОСТ Р МЭК 61249-2-4-2012, страница 10 страница 10
  • ГОСТ Р МЭК 61249-2-4-2012, страница 11 страница 11
  • ГОСТ Р МЭК 61249-2-4-2012, страница 12 страница 12
  • ГОСТ Р МЭК 61249-2-4-2012, страница 13 страница 13
  • ГОСТ Р МЭК 61249-2-4-2012, страница 14 страница 14
  • ГОСТ Р МЭК 61249-2-4-2012, страница 15 страница 15
  • ГОСТ Р МЭК 61249-2-4-2012, страница 16 страница 16
  • ГОСТ Р МЭК 61249-2-4-2012, страница 17 страница 17
  • ГОСТ Р МЭК 61249-2-4-2012, страница 18 страница 18
  • ГОСТ Р МЭК 61249-2-4-2012, страница 19 страница 19
  • ГОСТ Р МЭК 61249-2-4-2012, страница 20 страница 20
  • ГОСТ Р МЭК 61249-2-4-2012, страница 21 страница 21
  • ГОСТ Р МЭК 61249-2-4-2012, страница 22 страница 22
  • ГОСТ Р МЭК 61249-2-4-2012, страница 23 страница 23
  • ГОСТ Р МЭК 61249-2-4-2012, страница 24 страница 24