ГОСТ Р МЭК 61069-2-2012 Измерение и управление промышленным процессом. Определение свойств системы с целью ее оценки. Часть 2. Методология оценки

Категории ГОСТ Р МЭК 61069-2-2012 по ОКС:
Статус документа:
принят, введён в действие 01.07.2014
Название на английском языке:
Industrial-process measurement and control. Evaluation of system properties for the purpose of system assessment. Part 2. Assessment methodology
Дата актуализации информации по стандарту:
22.01.2026, в 19:57 (менее месяца назад)
Вид стандарта:
временно не известен
Дата начала действия ГОСТа:
2014-07-01
Число страниц:
не известно
Назначение ГОСТ Р МЭК 61069-2-2012:
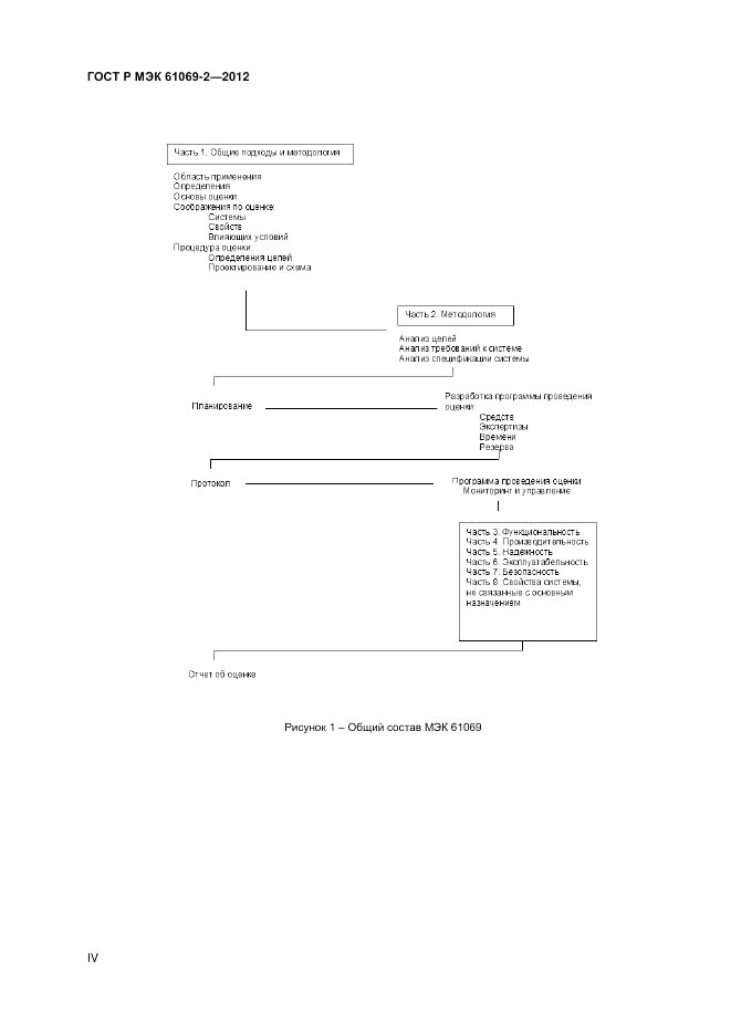
Настоящий стандарт детализирует методологию оценки системы измерения и управления промышленным процессом. В стандарте описаны методы анализа целей оценки, определения важности различных свойств систем и влияющих условий, а также разработки программы проведения оценки
Документ разработан орг-ей:
Федеральное агентство по техническому регулированию и метрологии (Росстандарт)
Ключевые слова документа:
анализ свойств системы, задача, методология оценки, модуль, оценка системы, промышленный процесс, свойства системы, система измерения и управления, функция, элемент

Скачать ГОСТ Р МЭК 61069-2-2012 вы можете в следующих версиях:

Тип файла:
Дата добавления:
Загрузок:
Размер:
Тип файла:
PDF с изображениями
Добавлен:
23/01/2016 17:52
Скачиваний:
29
Размер файла:
0.62 Мб
  • ГОСТ Р МЭК 61069-2-2012, страница 1 страница 1
  • ГОСТ Р МЭК 61069-2-2012, страница 2 страница 2
  • ГОСТ Р МЭК 61069-2-2012, страница 3 страница 3
  • ГОСТ Р МЭК 61069-2-2012, страница 4 страница 4
  • ГОСТ Р МЭК 61069-2-2012, страница 5 страница 5
  • ГОСТ Р МЭК 61069-2-2012, страница 6 страница 6
  • ГОСТ Р МЭК 61069-2-2012, страница 7 страница 7
  • ГОСТ Р МЭК 61069-2-2012, страница 8 страница 8
  • ГОСТ Р МЭК 61069-2-2012, страница 9 страница 9
  • ГОСТ Р МЭК 61069-2-2012, страница 10 страница 10
  • ГОСТ Р МЭК 61069-2-2012, страница 11 страница 11
  • ГОСТ Р МЭК 61069-2-2012, страница 12 страница 12
  • ГОСТ Р МЭК 61069-2-2012, страница 13 страница 13
  • ГОСТ Р МЭК 61069-2-2012, страница 14 страница 14
  • ГОСТ Р МЭК 61069-2-2012, страница 15 страница 15
  • ГОСТ Р МЭК 61069-2-2012, страница 16 страница 16