ГОСТ Р 57105-2016 Интегрированная логистическая поддержка. Анализ логистической поддержки. Требования к структуре и составу базы данных

Категории ГОСТ Р 57105-2016 по ОКС:
Статус документа:
действует, введён в действие 01.07.2017
Название на английском языке:
Integrated Logistic Support. Logistic Support Analysis. Requirements for Database Structure and Content
Дата актуализации информации по стандарту:
08.11.2025, в 13:23 (менее 3 месяцев назад)
Вид стандарта:
временно не известен
Дата начала действия ГОСТа:
2017-07-01
Число страниц:
16
Назначение ГОСТ Р 57105-2016:
не указано

Скачать ГОСТ Р 57105-2016 вы можете в следующих версиях:

Тип файла:
Дата добавления:
Загрузок:
Размер:
Тип файла:
PDF с изображениями
Добавлен:
20/11/2025 13:58
Скачиваний:
34
Размер файла:
1.22 Мб
  • ГОСТ Р 57105-2016, страница 1 страница 1
  • ГОСТ Р 57105-2016, страница 2 страница 2
  • ГОСТ Р 57105-2016, страница 3 страница 3
  • ГОСТ Р 57105-2016, страница 4 страница 4
  • ГОСТ Р 57105-2016, страница 5 страница 5
  • ГОСТ Р 57105-2016, страница 6 страница 6
  • ГОСТ Р 57105-2016, страница 7 страница 7
  • ГОСТ Р 57105-2016, страница 8 страница 8
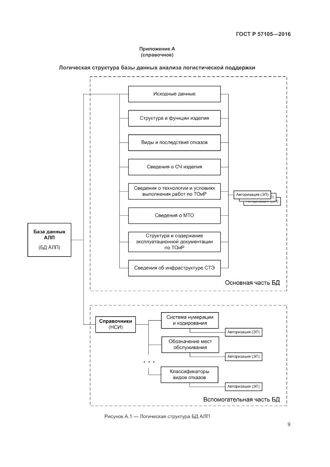
  • ГОСТ Р 57105-2016, страница 9 страница 9
  • ГОСТ Р 57105-2016, страница 10 страница 10
  • ГОСТ Р 57105-2016, страница 11 страница 11
  • ГОСТ Р 57105-2016, страница 12 страница 12
  • ГОСТ Р 57105-2016, страница 13 страница 13
  • ГОСТ Р 57105-2016, страница 14 страница 14
  • ГОСТ Р 57105-2016, страница 15 страница 15
  • ГОСТ Р 57105-2016, страница 16 страница 16