ГОСТ Р 55774-2013 Трубы прямоугольные и Н-образные высокой точности и чистоты поверхности из алюминия и алюминиевых сплавов для волноводов. Технические условия

Категории ГОСТ Р 55774-2013 по ОКС:
Статус документа:
действует, введён в действие 01.06.2014
Название на английском языке:
High precision and high surface finishing rectangular and H-shaped tubes of aluminium and aluminium alloys for waveguides. Specifications
Дата актуализации информации по стандарту:
21.10.2025, в 10:17 (менее 3 месяцев назад)
Вид стандарта:
временно не известен
Дата начала действия ГОСТа:
2014-06-01
Коды документа ГОСТ Р 55774-2013:
Код ОКП:
181150
Код КГС:
В64
Число страниц:
16
Назначение ГОСТ Р 55774-2013:
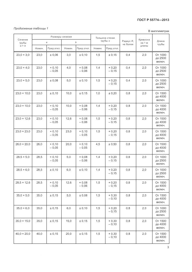
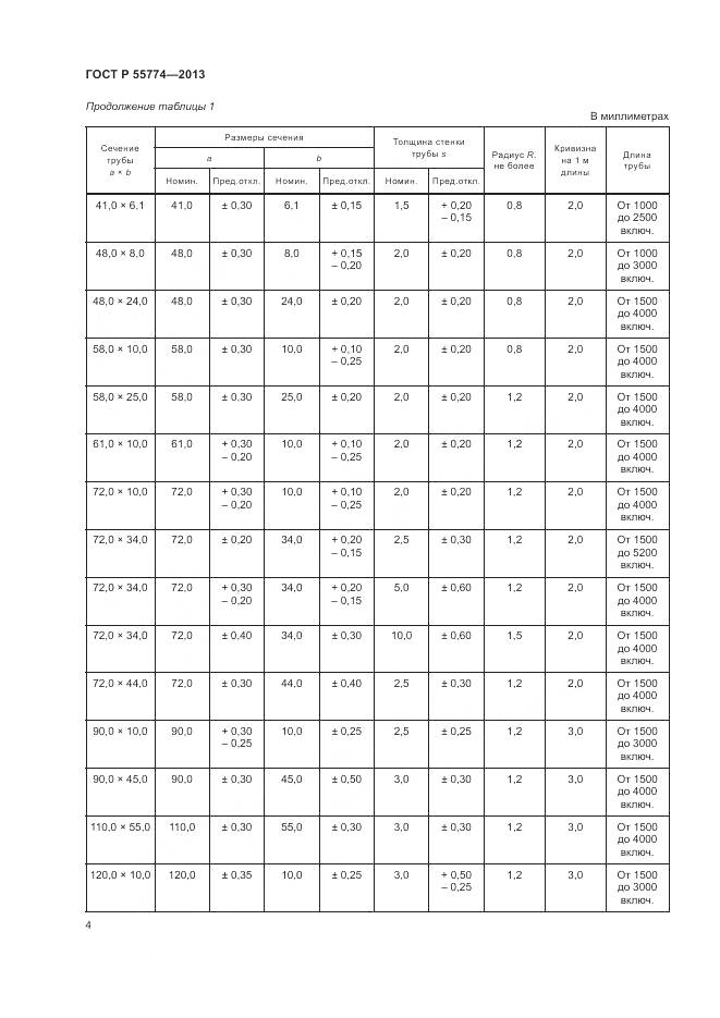
Настоящий стандарт распространяется на трубы прямоугольного и Н-образного сечения высокой точности и чистоты поверхности из алюминия и алюминиевых сплавов, предназначенные для изготовления волноводов
Ключевые слова документа:
волноводы, высокая точность и чистота поверхности, прямоугольные и Н-образные трубы из алюминия и алюминиевых сплавов

Скачать ГОСТ Р 55774-2013 вы можете в следующих версиях:

Тип файла:
Дата добавления:
Загрузок:
Размер:
Тип файла:
PDF с изображениями
Добавлен:
21/11/2025 10:14
Скачиваний:
11
Размер файла:
0.87 Мб
  • ГОСТ Р 55774-2013, страница 1 страница 1
  • ГОСТ Р 55774-2013, страница 2 страница 2
  • ГОСТ Р 55774-2013, страница 3 страница 3
  • ГОСТ Р 55774-2013, страница 4 страница 4
  • ГОСТ Р 55774-2013, страница 5 страница 5
  • ГОСТ Р 55774-2013, страница 6 страница 6
  • ГОСТ Р 55774-2013, страница 7 страница 7
  • ГОСТ Р 55774-2013, страница 8 страница 8
  • ГОСТ Р 55774-2013, страница 9 страница 9
  • ГОСТ Р 55774-2013, страница 10 страница 10
  • ГОСТ Р 55774-2013, страница 11 страница 11
  • ГОСТ Р 55774-2013, страница 12 страница 12
  • ГОСТ Р 55774-2013, страница 13 страница 13
  • ГОСТ Р 55774-2013, страница 14 страница 14
  • ГОСТ Р 55774-2013, страница 15 страница 15
  • ГОСТ Р 55774-2013, страница 16 страница 16