ГОСТ Р 55727-2013 Оборудование горно-шахтное. Вагонетки грузовые шахтные. Общие технические требования и методы испытаний

Категории ГОСТ Р 55727-2013 по ОКС:
Статус документа:
действует, введён в действие 01.09.2014
Название на английском языке:
Mining equipment. Mine loding cars. General technical requirements and test methods
Дата актуализации информации по стандарту:
21.10.2025, в 10:41 (менее 3 месяцев назад)
Вид стандарта:
временно не известен
Дата начала действия ГОСТа:
2014-09-01
Коды документа ГОСТ Р 55727-2013:
Код ОКП:
314351
Код КГС:
Г41
Число страниц:
20
Назначение ГОСТ Р 55727-2013:
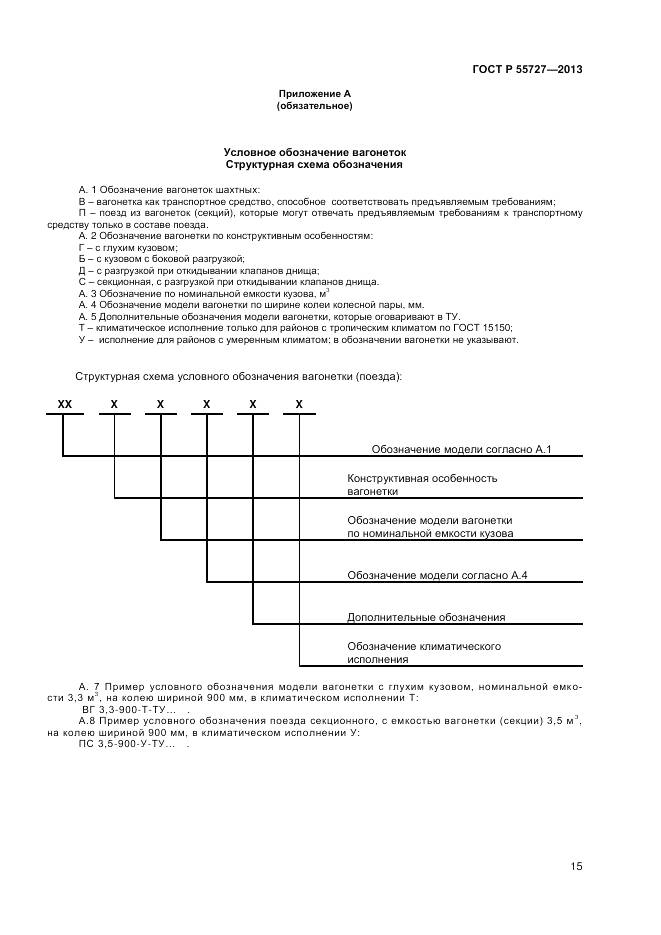
Настоящий стандарт распространяется на вагонетки грузовые шахтные узкой колеи, предназначенные для транспортирования горной массы по горизонтальным и наклонным подземным горным выработкам и на промышленных площадках шахт в следующих условиях: - угольные шахты и рудники, в том числе опасные по взрыву газа и/или пыли; - атмосфера типа 1 по ГОСТ 15150 при запыленности воздуха не более 200 мг/м3; - относительная влажность воздуха при температуре 25 ° С - до 100 %; - температура окружающей среды - от 35 ° С до минус 40 °С; - продольный уклон пути - от +30° до минус 30°; - ширина колесной колеи - 600, 750 и 900 мм. Стандарт не распространяется на шахтные грузовые вагонетки с опрокидным кузовом, вагонетки с откидным днищем с закрепленными на нем колесами, вагонетки с донной разгрузкой с разрезными осями полускатов и вагонетки со съемным кузовом
Ключевые слова документа:
вагонетки грузовые шахтные, конструкция, методы испытаний, правила приемки, стандарт, технические требования, требования безопасности

Скачать ГОСТ Р 55727-2013 вы можете в следующих версиях:

Тип файла:
Дата добавления:
Загрузок:
Размер:
Тип файла:
PDF с изображениями
Добавлен:
21/11/2025 10:12
Скачиваний:
7
Размер файла:
1.78 Мб
  • ГОСТ Р 55727-2013, страница 1 страница 1
  • ГОСТ Р 55727-2013, страница 2 страница 2
  • ГОСТ Р 55727-2013, страница 3 страница 3
  • ГОСТ Р 55727-2013, страница 4 страница 4
  • ГОСТ Р 55727-2013, страница 5 страница 5
  • ГОСТ Р 55727-2013, страница 6 страница 6
  • ГОСТ Р 55727-2013, страница 7 страница 7
  • ГОСТ Р 55727-2013, страница 8 страница 8
  • ГОСТ Р 55727-2013, страница 9 страница 9
  • ГОСТ Р 55727-2013, страница 10 страница 10
  • ГОСТ Р 55727-2013, страница 11 страница 11
  • ГОСТ Р 55727-2013, страница 12 страница 12
  • ГОСТ Р 55727-2013, страница 13 страница 13
  • ГОСТ Р 55727-2013, страница 14 страница 14
  • ГОСТ Р 55727-2013, страница 15 страница 15
  • ГОСТ Р 55727-2013, страница 16 страница 16
  • ГОСТ Р 55727-2013, страница 17 страница 17
  • ГОСТ Р 55727-2013, страница 18 страница 18
  • ГОСТ Р 55727-2013, страница 19 страница 19
  • ГОСТ Р 55727-2013, страница 20 страница 20