ГОСТ Р 54560-2015 Трубы и детали трубопроводов из реактопластов, армированных стекловолокном, для водоснабжения, водоотведения, дренажа и канализации. Технические условия

Категории ГОСТ Р 54560-2015 по ОКС:
Статус документа:
действует, введён в действие 01.01.2017
Название на английском языке:
Fibrе reinforced thermosetting plastic pipes and parts of pipelines. Specifications
Дата актуализации информации по стандарту:
23.10.2025, в 14:37 (менее полугода назад)
Вид стандарта:
временно не известен
Дата начала действия ГОСТа:
2017-01-01
Число страниц:
36
Назначение ГОСТ Р 54560-2015:
не указано

Скачать ГОСТ Р 54560-2015 вы можете в следующих версиях:

Тип файла:
Дата добавления:
Загрузок:
Размер:
Тип файла:
PDF с изображениями
Добавлен:
20/11/2025 15:33
Скачиваний:
34
Размер файла:
2.89 Мб
  • ГОСТ Р 54560-2015, страница 1 страница 1
  • ГОСТ Р 54560-2015, страница 2 страница 2
  • ГОСТ Р 54560-2015, страница 3 страница 3
  • ГОСТ Р 54560-2015, страница 4 страница 4
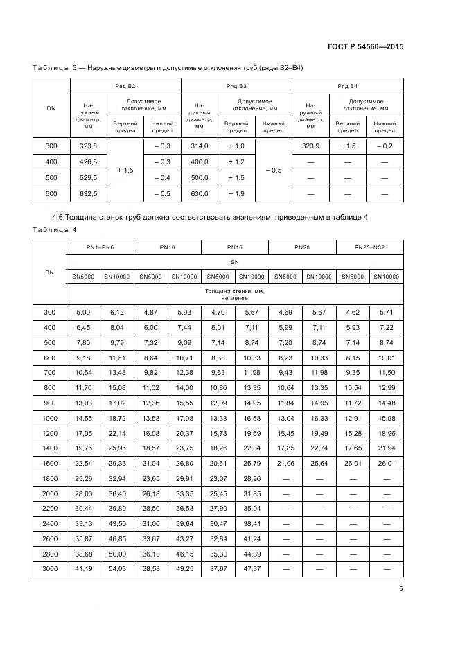
  • ГОСТ Р 54560-2015, страница 5 страница 5
  • ГОСТ Р 54560-2015, страница 6 страница 6
  • ГОСТ Р 54560-2015, страница 7 страница 7
  • ГОСТ Р 54560-2015, страница 8 страница 8
  • ГОСТ Р 54560-2015, страница 9 страница 9
  • ГОСТ Р 54560-2015, страница 10 страница 10
  • ГОСТ Р 54560-2015, страница 11 страница 11
  • ГОСТ Р 54560-2015, страница 12 страница 12
  • ГОСТ Р 54560-2015, страница 13 страница 13
  • ГОСТ Р 54560-2015, страница 14 страница 14
  • ГОСТ Р 54560-2015, страница 15 страница 15
  • ГОСТ Р 54560-2015, страница 16 страница 16
  • ГОСТ Р 54560-2015, страница 17 страница 17
  • ГОСТ Р 54560-2015, страница 18 страница 18
  • ГОСТ Р 54560-2015, страница 19 страница 19
  • ГОСТ Р 54560-2015, страница 20 страница 20
  • ГОСТ Р 54560-2015, страница 21 страница 21
  • ГОСТ Р 54560-2015, страница 22 страница 22
  • ГОСТ Р 54560-2015, страница 23 страница 23
  • ГОСТ Р 54560-2015, страница 24 страница 24
  • ГОСТ Р 54560-2015, страница 25 страница 25
  • ГОСТ Р 54560-2015, страница 26 страница 26
  • ГОСТ Р 54560-2015, страница 27 страница 27
  • ГОСТ Р 54560-2015, страница 28 страница 28
  • ГОСТ Р 54560-2015, страница 29 страница 29
  • ГОСТ Р 54560-2015, страница 30 страница 30
  • ГОСТ Р 54560-2015, страница 31 страница 31
  • ГОСТ Р 54560-2015, страница 32 страница 32
  • ГОСТ Р 54560-2015, страница 33 страница 33
  • ГОСТ Р 54560-2015, страница 34 страница 34
  • ГОСТ Р 54560-2015, страница 35 страница 35
  • ГОСТ Р 54560-2015, страница 36 страница 36