ГОСТ Р 54395-2011 Посуда фаянсовая. Технические условия

Категории ГОСТ Р 54395-2011 по ОКС:
Статус документа:
действует, введён в действие 01.01.2013
Название на английском языке:
Faience ware. Specifications
Дата актуализации информации по стандарту:
22.01.2026, в 19:57 (менее месяца назад)
Вид стандарта:
временно не известен
Дата начала действия ГОСТа:
2013-01-01
Дата последнего издания документа:
2012-08-27
Коды документа ГОСТ Р 54395-2011:
Код КГС:
У11
Число страниц:
12
Назначение ГОСТ Р 54395-2011:
Настоящий стандарт распространяется на фаянсовую посуду
Документ разработан орг-ей:
Федеральное агентство по техническому регулированию и метрологии
Ключевые слова документа:
маркировка, методы контроля, посуда фаянсовая, правила приемки, технические условия, транспортирование, упаковка, хранение

Скачать ГОСТ Р 54395-2011 вы можете в следующих версиях:

Тип файла:
Дата добавления:
Загрузок:
Размер:
Тип файла:
PDF с изображениями
Добавлен:
28/11/2025 14:02
Скачиваний:
21
Размер файла:
0.46 Мб
  • ГОСТ Р 54395-2011, страница 1 страница 1
  • ГОСТ Р 54395-2011, страница 2 страница 2
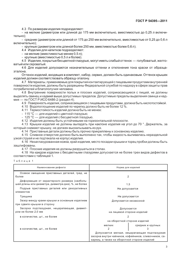
  • ГОСТ Р 54395-2011, страница 3 страница 3
  • ГОСТ Р 54395-2011, страница 4 страница 4
  • ГОСТ Р 54395-2011, страница 5 страница 5
  • ГОСТ Р 54395-2011, страница 6 страница 6
  • ГОСТ Р 54395-2011, страница 7 страница 7
  • ГОСТ Р 54395-2011, страница 8 страница 8
  • ГОСТ Р 54395-2011, страница 9 страница 9
  • ГОСТ Р 54395-2011, страница 10 страница 10
  • ГОСТ Р 54395-2011, страница 11 страница 11
  • ГОСТ Р 54395-2011, страница 12 страница 12