ГОСТ Р 52964-2008
ГОСТ Р 52964-2008 Вода питьевая. Методы определения содержания сульфатов
Категории ГОСТ Р 52964-2008 по ОКС:- 13. Охрана окружающей среды
- 13.60. Качество воды *включая токсичность, биоразлагаемость, защиту от загрязнения, соответствующие установки и оборудование *стандарты на анализ воды следует включать в подгруппы в соответствии с типом воды
- 13.60.20 Питьевая вода *минеральная вода см. 67.160.20 *химикаты для очистки воды см. 71.100.80 *системы снабжения питьевой водой см. 91.140.60
- Статус документа:
- действует, введён в действие 01.01.2010
- Название на английском языке:
- Drinking water. Methods for determination of sulphate content
- Дата актуализации информации по стандарту:
- 17.02.2014, в 20:01 (более года назад)
- Вид стандарта:
- Стандарты на методы контроля
- Дата начала действия ГОСТа:
- 2010-01-01
- Срок действия ограничен:
- 15.02.2015
- Дата последнего издания документа:
- 2011-03-21
- Код КГС:
- Н09
- Число страниц:
- 20
- Назначение ГОСТ Р 52964-2008:
- Настоящий стандарт распространяется на питьевую воду, в том числе расфасованную в емкости, и устанавливает следующие методы определения содержания сульфат-ионов с использованием: - титриметрии с трилоном Б в диапазоне измерений от 25 до 500 мг/дм куб.; - титриметрии с хлористым барием в диапазоне измерений от 10 до 2500 мг/дм куб.; - турбидиметрии в диапазоне измерений от 2 до 50 мг/дм куб. Настоящий стандарт может применяться для анализа подземных и поверхностных вод
- Ключевые слова документа:
- вода, вода подземных и поверхностных источников водоснабжения, катионит, питьевая вода, расфасованная в емкости, сульфат-ион, титриметрия, турбидиметрия
- Стандарт ссылается на ГОСТы:
- ГОСТ Р ИСО/МЭК 17025-2006, ГОСТ Р ИСО 5725-6-2002, ГОСТ Р 8.613-2005, ГОСТ Р 51592-2000, ГОСТ Р 51593-2000, ГОСТ Р 51652-2000, ГОСТ Р 52501-2005, ГОСТ 14919-83, ГОСТ 29251-91, ГОСТ 29227-91, ГОСТ 29169-91, ГОСТ 25336-82, ГОСТ 24104-2001, ГОСТ 20298-74, ГОСТ 10652-73, ГОСТ 10164-75, ГОСТ 9147-80, ГОСТ 6709-72, ГОСТ 4461-77, ГОСТ 4328-77, ГОСТ 4233-77, ГОСТ 4209-77, ГОСТ 4145-74, ГОСТ 4108-72, ГОСТ 3773-72, ГОСТ 3760-79, ГОСТ 3118-77, ГОСТ 2603-79, ГОСТ 1770-74, ГОСТ 1277-75, ГОСТ 17.1.5.05-85, ГОСТ 8.315-97
- На стандарт ссылаются:
- ГОСТ Р 54316-2011, ГОСТ Р 54215-2010
Скачать ГОСТ Р 52964-2008 вы можете в следующих версиях:
В данный момент версий документа для скачивания не добавлено.
Мы стараемся пополнять базу документов еженедельно и из разных источников, в обозримом будущем версии для этого ГОСТа появятся.
Вы можете просмотреть online текст стандарта ГОСТ Р 52964-2008
Просмотреть текст ГОСТ Р 52964-2008Поправки и изменения к ГОСТ Р 52964-2008:
-
Наименование, вид:Датарегистрации:начала действия:Ссылка:
-
Изменение к ГОСТ Р 52964-2008. Отменен
Тип изменения: Отменен
Номер изменения:
Регистрационный номер: 1906-ст
Новое значение: Отменен, с 15.02.2015 пользоваться ГОСТ 31940-2012
2012-12-122015-02-15 -
Поправка к ГОСТ Р 52964-2008
Тип изменения: Поправка
Номер изменения:
Регистрационный номер:
2009-07-292009-07-29
ГОСТ Р 52964-2008
Группа Н09
НАЦИОНАЛЬНЫЙ СТАНДАРТ РОССИЙСКОЙ ФЕДЕРАЦИИ
ВОДА ПИТЬЕВАЯ
Методы определения содержания сульфатов
Drinking water. Methods for determination of sulphate content
ОКС 13.060.20
Дата введения 2010-01-01
Предисловие
Цели и принципы стандартизации в Российской Федерации установлены Федеральным законом от 27 декабря 2002 г. N 184-ФЗ "О техническом регулировании", а правила применения национальных стандартов Российской Федерации - ГОСТ Р 1.0-2004 "Стандартизация в Российской Федерации. Основные положения"
1 РАЗРАБОТАН Обществом с ограниченной ответственностью "Протектор", Муниципальным унитарным предприятием "Уфаводоканал"
2 ВНЕСЕН Техническим комитетом по стандартизации ТК 343 "Качество воды"
3 УТВЕРЖДЕН И ВВЕДЕН В ДЕЙСТВИЕ Приказом Федерального агентства по техническому регулированию и метрологии от 29 сентября 2008 г. N 225-ст
4 ВВЕДЕН ВПЕРВЫЕ
5 ИЗДАНИЕ (март 2011 г.) с Поправкой (ИУС 10-2009)
1. Область применения
Настоящий стандарт распространяется на питьевую воду, в том числе расфасованную в емкости, и устанавливает следующие методы определения содержания сульфат-ионов с использованием:
- титриметрии с трилоном Б в диапазоне измерений от 25 до 500 мг/дм
(метод 1);
- титриметрии с хлористым барием в диапазоне измерений от 10 до 2500 мг/дм
(метод 2);
- турбидиметрии в диапазоне измерений от 2 до 50 мг/дм
(метод 3).
Настоящий стандарт может применяться для анализа подземных и поверхностных вод.
2. Нормативные ссылки
В настоящем стандарте использованы нормативные ссылки на следующие стандарты:
ГОСТ Р 8.613-2005 Государственная система обеспечения единства измерений. Методики количественного химического анализа проб вод. Общие требования к разработке
ГОСТ Р ИСО 5725-6-2002 Точность (правильность и прецизионность) методов и результатов измерений. Часть 6. Использование значений точности на практике
ГОСТ Р ИСО/МЭК 17025-2006* Общие требования к компетентности испытательных и калибровочных лабораторий
________________
* На территории Российской Федерации документ не действует. Действует ГОСТ ИСО/МЭК 17025-2009, здесь и далее по тексту. - Примечание изготовителя базы данных.
ГОСТ Р 51592-2000 Вода. Общие требования к отбору проб
ГОСТ Р 51593-2000 Вода питьевая. Отбор проб
ГОСТ Р 51652-2000 Спирт этиловый ректификованный из пищевого сырья. Технические условия
ГОСТ Р 52501-2005 (ИСО 3696:1987) Вода для лабораторного анализа. Технические условия
ГОСТ 8.315-97 Государственная система обеспечения единства измерений. Стандартные образцы состава и свойств веществ и материалов. Основные положения
ГОСТ 17.1.5.05-85 Охрана природы. Гидросфера. Общие требования к отбору проб поверхностных и морских вод, льда и атмосферных осадков
ГОСТ 1277-75 Реактивы. Серебро азотнокислое. Технические условия
ГОСТ 1770-74 Посуда мерная лабораторная стеклянная. Цилиндры, мензурки, колбы, пробирки. Общие технические условия
ГОСТ 2603-79 Реактивы. Ацетон. Технические условия
ГОСТ 3118-77 Реактивы. Кислота соляная. Технические условия
ГОСТ 3760-79 Реактивы. Аммиак водный. Технические условия
ГОСТ 3773-72 Реактивы. Аммоний хлористый. Технические условия
ГОСТ 4108-72 Реактивы. Барий хлористый 2-водный. Технические условия
ГОСТ 4145-74 Реактивы. Калий сернокислый. Технические условия
ГОСТ 4209-77 Реактивы. Магний хлористый 6-водный. Технические условия
ГОСТ 4233-77 Реактивы. Натрий хлористый. Технические условия
ГОСТ 4328-77 Реактивы. Натрия гидроокись. Технические условия
ГОСТ 4461-77 Реактивы. Кислота азотная. Технические условия
ГОСТ 6709-72 Вода дистиллированная. Технические условия
ГОСТ 9147-80 Посуда и оборудование лабораторные фарфоровые. Технические условия
ГОСТ 10164-75 Реактивы. Этиленгликоль. Технические условия
ГОСТ 10652-73 Реактивы. Соль динатриевая этилендиамин-N, N, N, N'-тетрауксусной кислоты, 2-водная (трилон Б). Технические условия
ГОСТ 14919-83 Электроплиты, электроплитки и жарочные электрошкафы бытовые. Общие технические условия
ГОСТ 20298-74 Смолы ионообменные. Катиониты. Технические условия
ГОСТ 24104-2001* Весы лабораторные. Общие технические требования
________________
* На территории Российской Федерации с 1 января 2010 г. действует ГОСТ Р 53228-2008.
ГОСТ 25336-82 Посуда и оборудование лабораторные стеклянные. Типы, основные параметры и размеры
ГОСТ 29169-91 (ИСО 648-77) Посуда лабораторная стеклянная. Пипетки с одной отметкой
ГОСТ 29227-91 (ИСО 835-1-81) Посуда лабораторная стеклянная. Пипетки градуированные. Часть 1. Общие требования
ГОСТ 29251-91 (ИСО 385-1-84) Посуда лабораторная стеклянная. Бюретки. Часть 1. Общие требования
Примечание - При пользовании настоящим стандартом целесообразно проверить действие ссылочных стандартов в информационной системе общего пользования - на официальном сайте Федерального агентства по техническому регулированию и метрологии в сети Интернет или по ежегодно издаваемому информационному указателю "Национальные стандарты", который опубликован по состоянию на 1 января текущего года, и по соответствующим ежемесячно издаваемым информационным указателям, опубликованным в текущем году. Если ссылочный стандарт заменен (изменен), то при пользовании настоящим стандартом следует руководствоваться заменяющим (измененным) стандартом. Если ссылочный стандарт отменен без замены, то положение, в котором дана ссылка на него, применяется в части, не затрагивающей эту ссылку.
3. Отбор проб
Пробы воды отбирают по ГОСТ Р 51592-2000, ГОСТ Р 51593-2000 и ГОСТ 17.1.5.05-85 в емкости из полимерного материала или стекла. Объем отобранной пробы воды должен быть не менее 500 см
.
Пробы воды с момента отбора до начала анализа хранят при температуре 2 °С - 5 °С не более 7 сут.
4. Определение содержания сульфат-ионов с использованием титриметрии с трилоном Б (метод 1)
Метод определения содержания сульфат-ионов основан на количественном осаждении сульфат-ионов и образовании слаборастворимого сульфата бария с последующим растворением осадка в растворе трилона Б в аммиачной среде и титровании избытка трилона Б раствором, содержащим ионы магния, с эриохромом черным Т в качестве индикатора до перехода синей окраски в лиловую. Количество трилона Б, израсходованного на растворение сульфата бария, эквивалентно количеству сульфат-ионов во взятом объеме.
Осаждение из воды карбонатов предотвращается добавлением в ходе анализа соляной кислоты до рН<2 (контроль по индикаторной бумаге).
Мешающее влияние взвешенных и коллоидных веществ устраняют предварительным фильтрованием пробы. Для удаления окрашенных веществ пробу воды пропускают через колонку с активированным углем. Мешающее влияние катионов устраняют обработкой катионитами.
Государственный стандартный образец (ГСО) состава водного раствора сульфат-ионов с аттестованным значением массовой концентрации сульфат-ионов 10 г/дм
и допускаемой относительной погрешностью аттестованного значения не более 1,0% при доверительной вероятности 0,95 по ГОСТ 8.315.
ГСО состава водного раствора ионов магния с аттестованным значением массовой концентрации ионов магния 1,0 г/дм
и допускаемой относительной погрешностью аттестованного значения не более 1,0% при доверительной вероятности 0,95 или сернокислый магний, стандарт-титр (фиксанал).
Весы лабораторные высокого или специального класса точности с ценой деления 0,1 мг, с наибольшим пределом взвешивания 200 или 210 г по ГОСТ 24104.
рН-метр любого типа с допускаемой погрешностью ±0,1 ед. рН.
Колбы мерные 2-го класса точности по ГОСТ 1770.
Цилиндры мерные 2-го класса точности по ГОСТ 1770.
Пипетки с одной отметкой 2-го класса точности по ГОСТ 29169.
Бюретки по ГОСТ 29251-91 или титратор любого типа.
Воронки лабораторные по ГОСТ 25336.
Колбы конические плоскодонные по ГОСТ 25336.
Стаканы химические термостойкие по ГОСТ 25336.
Стакан фарфоровый по ГОСТ 9147.
Пробирки диаметром 15 мм по ГОСТ 25336.
Шкаф сушильный любого типа с диапазоном температур от 40 °С до 200 °С.
Баня водяная любого типа.
Электроплитка с закрытой спиралью по ГОСТ 14919.
Универсальная индикаторная бумага.
Фильтры обеззоленные "синяя лента".
Фильтры мембранные с размером пор 0,45 мкм.
Колонка для активированного угля, изготовленная из прямой стеклянной трубки диаметром 2-2,5 см и длиной 30-40 см. В нижней части колонки размещается стеклянная фильтрующая пластинка и кран. В качестве колонки допускается использовать нижнюю часть бюретки вместимостью 100 см
со слоем фильтрующей стекловаты.
Барий хлористый 2-водный по ГОСТ 4108-72, ч.д.а. или стандарт-титр (фиксанал).
Аммиак водный по ГОСТ 3760-54, ч.д.а.
Трилон Б (этилендиамин-N, N, N, N'-тетрауксусной кислоты динатриевая соль, 2-водная) по ГОСТ 10652-63, ч.д.а. или стандарт-титр (фиксанал).
Магний хлористый, 6-водный по ГОСТ 4209-67, ч.д.а.
Эриохром черный Т, ч.д.а.
Натрий хлористый по ГОСТ 4233-66, ч.д.а.
Аммоний хлористый по ГОСТ 3773-60, ч.д.а.
Натрия гидроокись (гидроксид натрия) по ГОСТ 4328-48, ч.д.а.
Кислота соляная по ГОСТ 3118-46, ч.д.а.
Кислота азотная по ГОСТ 4461-67, ч.д.а.
Серебро азотнокислое по ГОСТ 1277-5, ч.д.а.
Спирт этиловый ректификованный по ГОСТ Р 51652.
Вода дистиллированная по ГОСТ 6709-2 или вода для лабораторного анализа по ГОСТ Р 52501.
Уголь активированный БАУ.
Примечания
1 Допускается применять другие средства измерений, вспомогательные устройства, реактивы с метрологическими и техническими характеристиками не хуже указанных в 4.1, в том числе импортные.
2 Если в используемых стандарт-титрах (фиксаналах) или ГСО состава водных растворов концентрация вещества выражена в единицах нормальности (н), или мг/дм
, или г/м
и т.п., необходимо провести пересчет концентрации вещества в моль/дм
.
Посуду, используемую для отбора, транспортирования, хранения и анализа проб, моют раствором моющего средства, ополаскивают последовательно водопроводной и дистиллированной водой и сушат.
![]()
Раствор готовят из стандарт-титра (фиксанала) хлористого бария в соответствии с инструкцией по применению, разбавляя его до требуемой концентрации дистиллированной водой.
При отсутствии стандарт-титра (фиксанала) хлористого бария раствор готовят следующим способом: в мерную колбу вместимостью 1000 см
вносят 6,107 г хлористого бария (BaCI
·2H
O) по ГОСТ 4108-72, растворяют в дистиллированной воде и доводят объем до метки дистиллированной водой.
Срок хранения раствора в стеклянной емкости - не более 6 мес.
![]()
Раствор готовят из ГСО состава водного раствора ионов магния в соответствии с инструкцией по его применению (используется для определения коэффициента поправки по 4.2.8).
Раствор готовят из стандарт-титра (фиксанала) сернокислого магния или из хлористого магния 6-водного (MgCI
·6Н
О) по ГОСТ 4209-67 (используется для проведения титрования по 4.3.3). При этом приготовление раствора проводят:
- из стандарт-титра (фиксанала) сернокислого магния - в соответствии с инструкцией по его применению, разбавляя до требуемой концентрации дистиллированной водой;
- из хлористого магния 6-водного (MgCI
·6Н
О) по ГОСТ 4209-67 - следующим способом: в мерную колбу вместимостью 1000 см
вносят 5,084 г хлористого магния, добавляют дистиллированную воду, растворяют и доводят объем до метки дистиллированной водой.
Срок хранения раствора в стеклянной емкости - не более 6 мес.
Определение коэффициента поправки для установления точной концентрации раствора сернокислого магния или хлористого магния проводят по 4.2.9 не реже одного раза в месяц.
В мерную колбу вместимостью 1000 см
вносят 20 г хлористого аммония, 100 см
дистиллированной воды, добавляют 100 см
раствора аммиака водного массовой долей 25% и доводят объем до метки дистиллированной водой.
Срок хранения раствора в стеклянной емкости с притертой пробкой - не более 2 мес.
Рекомендуется перед применением буферного раствора проверять его рН с использованием рН-метра. Если значение рН буферного раствора изменилось более чем на 0,2 единицы рН, то готовят новый буферный раствор.
![]()
В мерную колбу вместимостью 100 см
вносят 67 см
раствора аммиака водного с массовой долей 25% и доводят объем до метки дистиллированной водой.
Срок хранения раствора в стеклянной емкости с притертой пробкой - не более 2 мес.
В стакан вместимостью 200 см
вносят 0,5 г эриохрома черного Т, 20 см
аммиачного буферного раствора (см. 4.2.4), тщательно перемешивают и добавляют 80 см
этилового спирта. Срок хранения раствора в емкости из темного стекла с притертой пробкой - не более 10 сут.
Допускается использовать сухую индикаторную смесь, приготовленную следующим способом: 0,25 г эриохрома черного Т смешивают с 50 г предварительно тщательно растертого в ступке хлористого натрия. Срок хранения сухой индикаторной смеси - не более одного года.
![]()
В мерную колбу вместимостью 1000 см
вносят 9,307 г трилона Б, высушенного при 80 °С в течение двух часов, затем растворяют в теплой (от 40 °С до 60 °С) дистиллированной воде и после охлаждения раствора до комнатной температуры доводят до метки дистиллированной водой.
Для приготовления раствора допускается использовать стандарт-титр (фиксанал) трилона Б, при этом раствор готовят в соответствии с инструкцией по применению стандарт-титра, разбавляя его до требуемой концентрации.
Срок хранения раствора в полиэтиленовой или стеклянной емкости - не более 6 мес.
Определение коэффициента поправки для установления точной концентрации раствора трилона Б проводят по 4.2.8 не реже одного раза в месяц.
![]()
В коническую колбу вместимостью 250 см
вносят пипеткой 10 см
раствора ионов магния (см. 4.2.3), добавляют 90 см
дистиллированной воды, 5 см
аммиачного буферного раствора (см. 4.2.4), 5-7 капель раствора индикатора или 0,1 г сухой индикаторной смеси (см. 4.2.6) и титруют раствором трилона Б (см. 4.2.7). Для титрования используют титратор или бюретку.
В начале титрования раствор трилона Б добавляют быстро при постоянном перемешивании. При приближении к конечной точке титрования (изменение красно-фиолетового цвета раствора) раствор трилона Б добавляют медленно, энергично перемешивая при добавлении каждой капли, до четкого перехода красно-фиолетовой окраски в синюю с зеленоватым оттенком. При этом цвет раствора не должен меняться при последующем добавлении нескольких капель раствора трилона Б. Регистрируют объем раствора трилона Б, израсходованного на титрование
.
Проводят еще два титрования, используя первое титрование в качестве контрольного определения.
Коэффициент поправки
для приведения концентрации раствора трилона Б к 25 ммоль/дм
рассчитывают по формуле
, (1)
где 10 - объем раствора ионов магния, см
;
- объем раствора трилона Б, израсходованный на титрование, см
.
Значение коэффициента поправки рассчитывают по формуле (1) для проведенных трех титрований, и за окончательный результат принимают среднеарифметическое значение, которое должно находиться в пределах 1,00±0,03.
![]()
В коническую колбу вместимостью 250 см
вносят пипеткой 10 см
раствора трилона Б (см. 4.2.7), добавляют 90 см
дистиллированной воды, 5 см
аммиачного буферного раствора (см. 4.2.4), 5-7 капель раствора индикатора или 0,1 г сухой индикаторной смеси (см. 4.2.6) и титруют раствором сернокислого магния или хлористого магния (см. 4.2.3) при сильном взбалтывании до изменения в конечной точке титрования синей окраски в лиловую. Регистрируют объем раствора сернокислого магния или хлористого магния, израсходованного на титрование,
.
Коэффициент поправки
для приведения концентрации раствора сернокислого магния или хлористого магния к 25 ммоль/дм
рассчитывают по формуле
, (2)
где 10 - объем раствора трилона Б, см
;
- объем раствора сернокислого магния или хлористого магния, израсходованный на титрование, см
.
Значение коэффициента поправки рассчитывают по формуле (2) для проведенных трех титрований, и за окончательный результат принимают среднеарифметическое значение, которое должно находиться в пределах 1,00±0,03.
В стакан вместимостью 200 см
вносят 2,0 г азотнокислого серебра, добавляют 98 см
дистиллированной воды, растворяют, затем добавляют 0,1 см
концентрированной азотной кислоты.
Срок хранения раствора в емкости из темного стекла в темном месте - не более года.
При необходимости устранения мешающих влияний коллоидных и взвешенных веществ пробу воды объемом 250 см
фильтруют через мембранный фильтр с размером пор 0,45 мкм. Допускается использовать для фильтрования бумажный фильтр "синяя лента".
Для устранения влияния окрашенных веществ пробу воды пропускают через колонку с активированным углем, подготовленным в соответствии с требованиями приложения А.
4.3.1 Перед выполнением анализа проводят ориентировочное качественное определение содержания сульфат-ионов в пробе воды в соответствии с требованиями приложения Б.
Одновременно анализируют не менее двух параллельных проб воды. Объем отбираемой аликвоты пробы воды - 100 см
. Допускается изменение объема пробы воды при выполнении условий по 4.3.4.
В две конические колбы вместимостью 250 см
вносят в каждую пипеткой аликвоты по 100 см
пробы воды, подготовленной по 4.2.11, добавляют три капли концентрированной соляной кислоты до значения рН
2 (контроль по индикаторной бумаге), 25 см
раствора хлористого бария (см. 4.2.2) и нагревают на водяной бане до кипения, кипятят 10 мин, затем выключают обогрев, выдерживают на водяной бане 1 ч и оставляют на воздухе для охлаждения до комнатной температуры.
Содержимое колб фильтруют через воронку с бумажным фильтром "синяя лента", который предварительно промывают горячей дистиллированной водой. Фильтрование проводят таким образом, чтобы осадок сульфата бария не был перенесен на фильтр. Колбу с осадком промывают 5-6 раз горячей водой (40 °С - 50 °С), не счищая приставшего к стенкам колбы осадка, пропускают воду, использованную для промывания, через тот же фильтр. Затем фильтр промывают 2-3 раза дистиллированной водой до отсутствия хлорид-ионов, наличие которых определяют следующим способом: в пробирку вносят 5 см
воды, использованной для промывания, добавляют 3-5 капель раствора азотнокислого серебра (см. 4.2.10) и перемешивают. Помутнение раствора указывает на наличие хлорид-ионов.
Фильтр с частью попавшего на него осадка помещают в ту же колбу, в которой проводилось осаждение, прибавляют 5 см
раствора аммиака (см. 4.2.5), осторожно разворачивают фильтр стеклянной палочкой и расправляют его по дну колбы. Затем прибавляют по 6 см
раствора трилона Б (см. 4.2.7) на каждые 5 мг предполагаемого (см. приложение Б) содержания сульфат-ионов в пробе воды, взятой для определения. Содержимое колбы осторожно нагревают на электрической плитке и кипятят 3-5 мин до растворения осадка, периодически перемешивая.
Пробу, подготовленную по 4.3.2, охлаждают, добавляют 50 см
дистиллированной воды, 5 см
аммиачного буферного раствора (см. 4.2.4), 5 капель спиртового раствора индикатора или ~0,1 г сухой смеси индикатора (см. 4.2.6). Избыток трилона Б титруют раствором сернокислого магния или хлористого магния (см. 4.2.3) до перехода синей окраски в лиловую.
4.3.4 При предполагаемом содержании сульфат-ионов более 250 мг/дм
аликвота пробы (см. 4.3.2) составляет 50 см
или менее и доводится приблизительно до 100 см
дистиллированной водой в колбе, предназначенной для осаждения.
При предполагаемом содержании сульфат-ионов менее 50 мг/дм
берут 200 см
пробы воды, добавляют 3-4 капли концентрированной соляной кислоты до значения рН
2 (контроль по индикаторной бумаге) и выпаривают в колбе, не доводя до кипения, приблизительно до 100 см
.
Далее проба обрабатывается по 4.3.2.
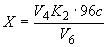
4.4.1 Массовую концентрацию сульфатов (сульфат-ионов, SO
)
, мг/дм
, в анализируемой пробе воды рассчитывают по формуле
, (3)
где
- объем раствора трилона Б, использованного по 4.3.2, см
;
- коэффициент поправки для приведения концентрации раствора трилона Б к 25 ммоль/дм
по 4.2.8;
- объем раствора сернокислого магния или хлористого магния, израсходованного на титрование по 4.3.3, см
;
- коэффициент поправки для приведения концентрации раствора сернокислого магния или хлористого магния к 25 ммоль/дм
по 4.2.9;
96 - молярная масса сульфат-иона, г/моль (мг/ммоль);
- молярная концентрация раствора трилона Б, ммоль/дм
(как правило, 25 ммоль/дм
);
- объем пробы воды, взятый для анализа по 4.3.2, см
.
4.4.2 За результат измерений содержания сульфатов принимают среднеарифметическое значение из результатов параллельных определений
и
в двух аликвотах пробы воды при выполнении условия
, (4)
где
- значение предела повторяемости по таблице 1.
Таблица 1
Диапазон измеряемой массовой концентрации сульфат-ионов, мг/дм |
Предел повторяемости (относительное значение допускаемого расхождения между двумя результатами параллельных определений при |
Предел воспроизводимости (относительное значение допускаемого расхождения между двумя результатами определений, полученными в условиях воспроизводимости при |
||||
От |
25 |
до |
50 |
включ. |
8 |
17 |
" |
50 |
" |
500 |
" |
8 |
11 |
При невыполнении условия (4) используют методы проверки приемлемости результатов параллельных определений и установления окончательного результата измерений согласно ГОСТ Р ИСО 5725-6-2002 (см. 5.2) или [1].
Примечание - При получении результатов измерений в двух лабораториях за результат измерений принимают среднеарифметическое значение результатов измерений, полученных в двух лабораториях
и
при выполнении условия
, (5)
где
- значение предела воспроизводимости по таблице 1.
При невыполнении условия (5) для проверки приемлемости в условиях воспроизводимости каждая лаборатория должна выполнить процедуры согласно ГОСТ Р ИСО 5725-6-2002 (см. пункты 5.2.2, 5.3.2.2) или [1].
4.5.1 Метод обеспечивает получение результатов измерения с метрологическими характеристиками, не превышающими значений, приведенных в таблице 2.
Таблица 2
Диапазон измеряемой массовой концентрации сульфат-ионов, мг/дм |
Показатель повторяемости (относительное среднеквадратическое отклонение повторяемости) |
Показатель воспроизводимости (относительное среднеквадратическое отклонение воспроизводимости) |
Показатель точности (границы* допускаемой относительной погрешности при вероятности |
||||
От |
25 |
до |
50 |
включ. |
3 |
6 |
13 |
" |
50 |
" |
500 |
" |
3 |
4 |
9 |
* Установленные численные значения границ допускаемой относительной погрешности соответствуют численным значениям расширенной неопределенности (в относительных единицах) | |||||||
Контроль показателей качества результатов измерений при реализации методики в лаборатории предусматривает:
- оперативный контроль процедуры измерений на основе оценки погрешности при реализации отдельно взятой контрольной процедуры согласно ГОСТ Р 8.613-2005 (см. приложение Д, подразделы Д.6.2 и Д.6.3);
- контроль стабильности результатов измерений на основе контроля стабильности среднеквадратического отклонения внутрилабораторной прецизионности, погрешности с учетом требований ГОСТ Р ИСО 5725-6-2002 (см. раздел 6) или [2].
Результаты измерений регистрируют в протоколе испытаний, который оформляют в соответствии с требованиями ГОСТ Р ИСО/МЭК 17025-2000, при этом протокол испытаний должен содержать ссылку на настоящий стандарт с указанием метода определения.
Результаты измерений содержания сульфат-ионов
, мг/дм
, представляют в виде (при подтвержденном в лаборатории соответствии аналитической процедуры требованиям настоящего стандарта)
, либо
, (6)
где
- результат измерений, полученный в соответствии с процедурами по 4.3 и 4.4;
- абсолютная погрешность измерений содержания сульфат-ионов, мг/дм
, вычисляемая по формуле
, (7)
где
- относительная погрешность измерения содержания сульфат-ионов по таблице 2, %;
- расширенная неопределенность при коэффициенте охвата
2, мг/дм
, рассчитываемая по формуле
, (8)
где
- расширенная неопределенность (в относительных единицах) при коэффициенте охвата
2 по таблице 2.
Допускается результат измерений представлять в виде
, мг/дм
(9)
при условии
, где
- значение показателя точности измерений (доверительные границы абсолютной погрешности измерений), установленное при реализации настоящего метода в лаборатории и обеспечиваемое контролем стабильности результатов измерений;
, мг/дм
(10)
при условии
, где
- значение расширенной неопределенности, установленное при реализации настоящего метода в лаборатории с учетом [3] или [4] и обеспечиваемое контролем стабильности результатов измерений в лаборатории.
Примечание - При необходимости (в соответствии с требованиями ГОСТ Р ИСО 5725-6-2002, подраздел 5.2) для результата измерения
указывается количество параллельных определений и способ установления результата измерений.
5. Определение содержания сульфат-ионов с использованием титриметрии с хлористым барием (метод 2)
Метод основан на титровании сульфат-ионов раствором хлористого бария. Ионы бария связывают сульфат-ионы, образуя слаборастворимый осадок сернокислого бария. В точке эквивалентности избыток ионов бария реагирует с индикатором (нитхромазо, хлорфосфоназо или ортаниловый К) с образованием комплексного соединения, при этом происходит изменение фиолетовой окраски на голубую.
Для уменьшения растворимости осадка сернокислого бария титрование проводят в водно-спиртовой или водно-ацетоновой среде.
Мешающее влияние взвешенных и коллоидных веществ устраняют предварительным фильтрованием пробы воды.
Для удаления окрашенных веществ пробу воды пропускают через колонку с активированным углем.
Для устранения мешающего влияния катионов пробу воды встряхивают с катионитом КУ-2 в
форме.
Определению не мешают фториды, хлориды, нитраты и другие анионы в тех концентрациях, в которых они присутствуют в воде.
Средства измерений, вспомогательное оборудование, реактивы, материалы по 4.1 со следующими дополнениями:
Пипетки градуированные по ГОСТ 29227.
Калий сернокислый по ГОСТ 4145-65, ч.д.а.
Индикатор нитхромазо, хлорфосфоназо или ортаниловый К.
Ацетон по ГОСТ 2603-63, ч.д.а.
Катионит КУ-2 по ГОСТ 20298.
Подготовка посуды - по 4.2.1.
![]()
Раствор готовят из стандарт-титра (фиксанала) хлористого бария в соответствии с инструкцией по его применению путем разбавления дистиллированной водой до требуемой концентрации.
Срок хранения раствора в стеклянной емкости - не более 6 мес.
![]()
Раствор хлористого бария готовят из раствора, подготовленного по 5.2.1, или хлористого бария 2-водного (ВаСl
·2Н
О) по ГОСТ 4108-72 следующими способами:
- в мерную колбу вместимостью 500 см
вносят 100 см
раствора хлористого бария (см. 5.2.1) и доводят объем до метки дистиллированной водой;
- в мерную колбу вместимостью 500 см
вносят 1,22 г хлористого бария 2-водного по ГОСТ 4108-72, растворяют в небольшом количестве дистиллированной воды и доводят объем до метки дистиллированной водой.
Срок хранения раствора в стеклянной емкости - не более 6 мес.
Определение коэффициента поправки для установления точной концентрации раствора хлористого бария проводят по 5.2.6 не реже одного раза в месяц.
![]()
В мерную колбу вместимостью 250 см
вносят 0,436 г сернокислого калия, предварительно высушенного при температуре 105 °С - 110 °С в течение 2 ч, растворяют в небольшом количестве дистиллированной воды и доводят до метки дистиллированной водой.
Срок хранения раствора в стеклянной емкости - не более 6 мес.
В мерную колбу вместимостью 50 см
вносят 0,1 г индикатора нитхромазо или хлорфосфоназо, растворяют в небольшом количестве дистиллированной воды и доводят до метки дистиллированной водой.
Срок хранения раствора в емкости из темного стекла - не более 3 мес.
В мерную колбу вместимостью 50 см
вносят 0,5 г индикатора ортанилового К, растворяют в небольшом количестве дистиллированной воды и доводят до метки дистиллированной водой.
Срок хранения раствора в емкости из темного стекла - не более 3 мес.
![]()
В коническую колбу вместимостью 100 см
вносят 10 см
раствора сернокислого калия концентрации 10 ммоль/дм
и доводят рН раствора до 4, добавляя одну каплю раствора соляной кислоты (см. 5.2.7). Затем добавляют 10 см
этилового спирта или ацетона, две капли 0,2%-ного раствора нитхромазо (или хлорфосфоназо) или три капли 1%-ного раствора ортанилового К. Титруют раствором хлористого бария молярной концентрации 10 ммоль/дм
при постоянном перемешивании до перехода фиолетовой окраски в голубую. Титрование проводят медленно и продолжают до тех пор, пока голубая окраска будет сохраняться в течение 2-3 мин. Регистрируют объем раствора хлористого бария, израсходованного на титрование
.
Коэффициент поправки
для приведения концентрации раствора хлористого бария к 10 ммоль/дм
рассчитывают по формуле
, (11)
где 10 - объем раствора сернокислого калия, см
;
- объем раствора хлористого бария, израсходованный на титрование, см
.
Значение коэффициента поправки рассчитывают по формуле (11) для проведенных трех титрований, и за окончательный результат принимают среднеарифметическое значение, которое должно находиться в пределах 1,00±0,03.
![]()
В стакан вместимостью 500 см
вносят 200 см
дистиллированной воды и 85 см
концентрированной соляной кислоты, перемешивают, переносят в мерную колбу вместимостью 1000 см
и доводят объем до метки дистиллированной водой.
Срок хранения раствора в стеклянной емкости не ограничен.
Ранее неиспользованный катионит КУ-2 заливают дистиллированной водой и выдерживают 7 ч, после этого воду сливают и заливают катионит раствором соляной кислоты (см. 5.2.7) и выдерживают 24 ч.
Окрасившийся раствор соляной кислоты сливают, промывают катионит 2-3 раза дистиллированной водой способом декантации и снова заливают раствором соляной кислоты. Процедуру повторяют до тех пор, пока раствор соляной кислоты над катионитом не перестанет окрашиваться в желтый цвет.
После последней обработки катионита кислотой его промывают дистиллированной водой до значения рН, равного 6 (контроль по индикаторной бумаге). Хранят катионит под слоем дистиллированной воды. Срок хранения - не более 6 мес.
Катионит непосредственно перед проведением анализа фильтруют на воронке через неплотный бумажный фильтр и во избежание высыхания накрывают воронку часовым стеклом.
Отработанный катионит собирают в одну колбу и вносят раствор соляной кислоты (см. 5.2.7), при этом объем кислоты должен в пять раз превышать объем катионита. Встряхивают содержимое колбы 8-10 раз в течение 10 мин. Раствор кислоты сливают, катионит промывают способом декантации дистиллированной водой до значения рН, равного 6 (контроль по индикаторной бумаге).
5.2.10 Подготовка пробы воды - по 4.2.11.
5.3.1 Перед выполнением измерений проводят предварительное качественное определение предполагаемого содержания сульфат-ионов в соответствии с требованиями приложения Б.
В коническую колбу вместимостью 250 см
вносят 100 см
пробы воды, подготовленной по 4.2.11, добавляют 10 г катионита КУ-2 (см. 5.2.8). Содержимое колбы встряхивают 8-10 раз в течение 10 мин, дают катиониту осесть.
Определяют эффективность устранения мешающих многовалентных катионов следующим способом: в пробирку вносят 1 см
пробы, обработанной катионитом КУ-2, добавляют несколько капель аммиачного буферного раствора (см. 4.2.4) и индикатора эриохрома черного Т (см. 4.2.6). Окрашивание раствора в синий цвет указывает на отсутствие катионов.
При наличии сиреневой окраски пробу воды дополнительно обрабатывают, добавляя 5-10 г катионита КУ-2 к первоначальному объему пробы, затем вновь определяют эффективность устранения мешающих влияний.
После устранения мешающих влияний пробу воды отделяют от катионита способом декантации.
В две конические колбы вместимостью 100 см
вносят по 20 см
аликвоты пробы воды, подготовленной по 5.3.2, затем в каждую колбу добавляют 20 см
спирта или ацетона, две капли 0,2%-ного раствора индикатора нитхромазо (или хлорфосфоназо) (см. 5.2.4) или три капли 1%-ного раствора ортанилового К (см. 5.2.5) и титруют раствором хлористого бария (см. 5.2.2) до изменения фиолетовой окраски на голубую, при этом титрование следует проводить медленно, при энергичном перемешивании до тех пор, пока голубая окраска будет сохраняться в течение 2-3 мин.
Примечание - Допускается изменять объем аликвоты пробы воды от 10 до 50 см
, чтобы содержание сульфат-ионов соответствовало 0,5-5,0 мг в отбираемом объеме. При объеме аликвоты более 20 см
пробу концентрируют упариванием на электрической плитке с закрытой спиралью до 10-20 см
. Приливают спирт (или ацетон) в объеме, равном объему пробы воды, взятому для титрования.
5.3.4 При предполагаемом содержании сульфат-ионов более 500 мг/дм
после обработки катионитом проводят разбавление пробы дистиллированной водой. При предполагаемом содержании сульфат-ионов менее 25 мг/дм
после обработки катионитом проводят концентрирование пробы упариванием.
5.4.1 Массовую концентрацию сульфатов (сульфат-ионов, SO
)
, мг/дм
, в анализируемой пробе воды рассчитывают по формуле
или
, (12)
где
- объем раствора хлористого бария, израсходованный на титрование по 5.3.3, см
;
- коэффициент поправки для приведения концентрации раствора хлористого бария к 10 ммоль/дм
по 5.2.6;
96 - молярная масса сульфат-иона, г/моль (мг/ммоль);
- молярная концентрация раствора хлористого бария, ммоль/дм
(как правило, 10 ммоль/дм
);
- объем пробы воды, взятый для титрования по 5.3.3, см
;
- объем пробы воды, взятый для концентрирования по 5.3.3 (см. примечание), см
.
5.4.2 Если пробу воды разбавляли по 5.3.4, то полученный результат умножают на кратность произведенного разбавления.
5.4.3 Проверку приемлемости результатов измерений
и
, полученных в условиях повторяемости, проводят по 4.4.2, при этом значение предела повторяемости
- по таблице 3.
Примечание - Проверка приемлемости результатов измерений в условиях воспроизводимости - по 4.4.2, при этом значение предела воспроизводимости
- по таблице 3.
Таблица 3
Диапазон измеряемой массовой концентрации сульфат-ионов, мг/дм |
Предел повторяемости (относительное значение допускаемого расхождения между двумя результатами параллельных определений при |
Предел воспроизводимости (относительное значение допускаемого расхождения между двумя результатами определений, полученными в условиях воспроизводимости при |
||||
От |
10 |
до |
50 |
включ. |
14 |
17 |
" |
50 |
" |
2500 |
" |
7 |
8 |
Метод обеспечивает получение результатов измерения с метрологическими характеристиками, не превышающими значений, приведенных в таблице 4.
Таблица 4
Диапазон измеряемой массовой концентрации сульфат-ионов, мг/дм |
Показатель повторяемости (относительное среднеквадра- |
Показатель воспроизводимости (относительное среднеквадра- |
Показатель точности (границы* допускаемой относительной погрешности при вероятности
|
||||
От |
10 |
до |
50 |
включ. |
5 |
6 |
15 |
" |
50 |
" |
2500 |
" |
2,4 |
3 |
10 |
* Установленные численные значения границ допускаемой относительной погрешности соответствуют численным значениям расширенной неопределенности (в относительных единицах) | |||||||
5.6 Контроль показателей качества результатов анализа - по 4.6.
5.7 Оформление результатов анализа - по 4.7, при этом значение относительной погрешности измерений массовой концентрации сульфат-ионов (
) - по таблице 4.
6. Определение содержания сульфат-ионов с использованием турбидиметрии с хлористым барием (метод 3)
Метод основан на измерении интенсивности помутнения пробы воды, содержащей сульфат-ионы, при взаимодействии с хлоридом бария. Для стабилизации образующейся суспензии в реакционную смесь вводят этиленгликоль, а для понижения растворимости - этиловый спирт.
Мешающее влияние взвешенных и коллоидных веществ устраняют предварительным фильтрованием пробы через мембранный фильтр с диаметром пор 0,45 мкм. Влияние опалесцирующих веществ и невысокой цветности учитывают измерением собственной оптической плотности пробы, подкисленной соляной кислотой. Влияние цветности (более 50 град.), обусловленной присутствием гумусовых веществ, устраняют обработкой пробы активированным углем. Возможность осаждения хлоридом бария других анионов (карбонатов, фосфатов, сульфитов) устраняется в процессе анализа при подкислении пробы.
Средства измерений, вспомогательное оборудование, реактивы, материалы - по 4.1 со следующими дополнениями.
Фотометр или спектрофотометр (далее - прибор), позволяющий проводить измерения оптической плотности в области длин волн от 330 до 400 нм.
Этиленгликоль по ГОСТ 10164-75, ч.д.а.
Вода для лабораторного анализа по ГОСТ Р 52501.
6.2.1 Подготовка посуды - по 4.2.1.
В стакан вместимостью 200 см
вносят 5 г хлористого бария, высушенного в сушильном шкафу при температуре 120 °С до постоянной массы, добавляют 95 см
воды для лабораторного анализа (далее - вода по 6.1) и растворяют.
Срок хранения раствора в емкости из темного стекла в темном месте - не более года.
В стакан вместимостью 200 см
вносят 50 см
воды по 6.1, осторожно при перемешивании добавляют 50 см
концентрированной соляной кислоты.
Срок хранения раствора в стеклянной емкости не ограничен.
В коническую колбу вместимостью 500 см
вносят 50 см
5%-ного раствора хлористого бария (см. 6.2.2), добавляют 150 см
этиленгликоля и 150 см
этилового спирта, затем добавляют раствор соляной кислоты (см. 6.2.3) до значения рН=2,8±0,2 и выдерживают в течение 1-2 сут в темном месте.
Срок хранения раствора - не более 3 мес.
![]()
В мерную колбу вместимостью 100 см
вносят 5 см
раствора ГСО с аттестованным значением 10 г/дм
и доводят до метки водой по 6.1.
Срок хранения раствора - не более 6 мес.
Градуировочные растворы сульфат-ионов готовят из исходного раствора (см. 6.2.5) следующим способом: в шесть мерных колб вместимостью 100 см
вносят соответственно 0,0; 0,4; 1,0; 2,0; 5,0 и 10,0 см
исходного раствора. Объем каждой колбы доводят до метки водой по 6.1, при этом получают градуировочные растворы массовых концентраций сульфат-ионов соответственно: 0,0; 2,0; 5,0; 10,0; 25,0 и 50,0 мг/дм
.
Градуировочные растворы готовят в день проведения градуировки.
Подготовку прибора осуществляют в соответствии с руководством (инструкцией) по эксплуатации.
Градуировку прибора проводят, используя градуировочные растворы сульфат-ионов, приготовленные по 6.2.6.
В шесть пробирок с притертой пробкой вместимостью 10-15 см
вносят по 5 см
каждого градуировочного раствора (см. 6.2.6), добавляют 1 каплю раствора соляной кислоты (см. 6.2.3), перемешивают, добавляют 5 см
реагента для осаждения (см. 6.2.4) и тщательно перемешивают, после чего выдерживают 30 мин.
Через 30 мин измеряют оптическую плотность каждого градуировочного раствора (в порядке возрастания массовой концентрации сульфат-ионов) в кюветах толщиной 20 мм при длине волны (364±20) нм по отношению к воде по 6.1. Каждый градуировочный раствор анализируют не менее двух раз.
По результатам измерения оптической плотности строят градуировочную характеристику методом наименьших квадратов с использованием программного обеспечения прибора и (или) компьютерной программы, предназначенной для обработки градуировочных характеристик, в виде зависимости среднеарифметического значения оптической плотности от массовой концентрации сульфат-иона в градуировочном растворе.
Градуировку прибора проводят один раз в год, а также при смене реактивов и после ремонта прибора.
6.2.9 Контроль стабильности градуировочной характеристики проводят не реже одного раза в три месяца. В качестве средства контроля используют один из градуировочных растворов по 6.2.6 с массовой концентрацией сульфат-иона, соответствующей средней области диапазона измерений. Градуировочную характеристику считают стабильной, если расхождение между заданным и измеренным значениями массовой концентрации сульфат-иона не превышает допускаемого относительного расхождения 10%.
Если расхождение результатов превышает указанное значение, то выясняют причины, устраняют их и проводят повторную градуировку прибора, используя свежеприготовленные градуировочные растворы.
6.2.10 Подготовка пробы воды - по 4.2.11.
В качестве холостой пробы используют воду по 6.1, которую подготавливают и анализируют аналогично исследуемым пробам воды по 6.3.2, измеряют оптическую плотность холостой пробы
.
В две пробирки вносят по 5 см
подготовленной пробы воды (см. 4.2.11), добавляют по одной капле раствора соляной кислоты (см. 6.2.3) и перемешивают. Затем добавляют 5 см
реагента для осаждения (см. 6.2.4), перемешивают и через 30 мин измеряют оптическую плотность
по отношению к воде по 6.1 в кюветах толщиной 20 мм при длине волны (364±20) нм.
6.3.3 При анализе цветных или опалесцирующих вод (опалесценция или слабая муть может появиться при добавлении в пробу соляной кислоты) к 5 см
пробы исследуемой воды добавляют одну каплю раствора соляной кислоты и 5 см
воды по 6.1, перемешивают и измеряют оптическую плотность
.
6.4.1 Массовую концентрацию сульфатов (сульфат-ионов, SO
)
, мг/дм
, в пробе воды определяют с использованием программного обеспечения к прибору или рассчитывают по формуле
, (13)
где
- оптическая плотность пробы воды по 6.3.2;
- оптическая плотность холостой пробы по 6.3.1;
- оптическая плотность по 6.3.3, соответствующая цветности или опалесценции пробы воды;
- угловой коэффициент (наклон) градуировочной характеристики, выражаемый в дм
/мг.
6.4.2 Проверку приемлемости результатов измерений
и
, полученных в условиях повторяемости, проводят по 4.4.2, при этом значение предела повторяемости
- по таблице 5.
Примечание - Проверка приемлемости результатов измерений в условиях воспроизводимости - по 4.4.2, при этом значение предела воспроизводимости
- по таблице 5.
Таблица 5
Диапазон измеряемой массовой концентрации сульфат-ионов, мг/дм |
Предел повторяемости (относительное значение допускаемого расхождения между двумя результатами параллельных определений при |
Предел воспроизводимости (относительное значение допускаемого расхождения между двумя результатами определений, полученными в условиях воспроизводимости при |
||||
От |
2 |
до |
5 |
включ. |
28 |
33 |
" |
5 |
" |
25 |
" |
22 |
28 |
" |
25 |
" |
50 |
" |
8 |
11 |
Метод обеспечивает получение результатов измерения с метрологическими характеристиками, не превышающими значений, приведенных в таблице 6.
Таблица 6
Диапазон измеряемой массовой концентрации сульфат-ионов, мг/дм |
Показатель повторяемости (относительное среднеквадратическое отклонение повторяемости) |
Показатель воспроизводимости (относительное среднеквадратическое отклонение воспроизводимости) |
Показатель точности (границы* допускаемой относительной погрешности при вероятности |
||||
От |
2 |
до |
5 |
включ. |
10 |
12 |
28 |
" |
5 |
" |
25 |
" |
8 |
10 |
20 |
" |
25 |
" |
50 |
" |
3 |
4 |
11 |
* Установленные численные значения границ допускаемой относительной погрешности соответствуют численным значениям расширенной неопределенности (в относительных единицах) | |||||||
6.6 Контроль показателей качества результатов измерений - по 4.6.
6.7 Оформление результатов измерений - по 4.7, при этом значение относительной погрешности измерений массовой концентрации сульфат-ионов (
) - по таблице 6.
Приложение А (справочное). Подготовка активированного угля
Приложение А
(справочное)
![]()
В фарфоровый или термостойкий стакан вместимостью 500 см
вносят 300 см
дистиллированной воды и добавляют 40 г гидроксида натрия. После растворения и охлаждения раствор переносят в мерную колбу вместимостью 1000 см
и доводят объем раствора до метки дистиллированной водой.
Срок хранения раствора в полиэтиленовой емкости - не более 3 мес.
![]()
В мерную колбу вместимостью 500 см
вносят 50 см
раствора гидроксида натрия молярной концентрацией 1 моль/дм
и доводят объем до метки дистиллированной водой.
Срок хранения раствора в полиэтиленовой емкости - не более 3 мес.
В стакан вместимостью 200 см
вносят 90 см
дистиллированной воды, осторожно при перемешивании добавляют 30 см
соляной кислоты.
Срок хранения раствора в стеклянной емкости не ограничен.
Порцию активированного угля кипятят с раствором соляной кислоты (А.1.3) в течение 2-3 ч. При появлении интенсивной окраски раствора операцию повторяют с новой порцией соляной кислоты до тех пор, пока раствор соляной кислоты над активированным углем не станет бесцветным.
Уголь промывают дистиллированной водой до рН, равного 6 (контроль по индикаторной бумаге), затем добавляют раствор гидроксида натрия молярной концентрации 1 моль/дм
, так чтобы раствор покрывал всю поверхность угля и выдерживают в течение 7 ч. При появлении окраски раствора операцию повторяют.
После полного извлечения окрашенных веществ активированный уголь промывают дистиллированной водой до рН, равного 6 (контроль по индикаторной бумаге), и хранят под слоем дистиллированной воды.
А.3 После пропускания каждой пробы воды колонку с активированным углем промывают раствором гидроксида натрия молярной концентрацией 0,1 моль/дм
до исчезновения окраски, затем промывают дистиллированной водой до рН, равного 6 (контроль по индикаторной бумаге).
Приложение Б (справочное). Предварительное определение предполагаемого содержания сульфатов в пробе воды
Приложение Б
(справочное)
Перед выполнением анализа проводят предварительное определение предполагаемого содержания сульфат-ионов в пробе воды следующим способом: в пробирку вносят 5 см
исследуемой пробы воды, добавляют 4-5 капель соляной кислоты, разбавленной в соотношении 1:1 (см. 6.2.3) и 1,0 см
5%-ного раствора хлористого бария (см. 6.2.2). По характеру образующейся мути и осадка (см. таблицу Б.1) ориентировочно определяют содержание сульфат-ионов в пробе воды и подбирают соответствующие объемы пробы воды для анализа.
Таблица Б.1
Наименование показателя |
Характер мути и осадка |
||
отсутствие мути или слабая муть, появляющаяся через несколько минут |
слабая муть, появляющаяся сразу |
сильная муть, быстро оседающая |
|
Массовая концентрация сульфат-ионов, мг/дм |
Менее 10 |
От 10 до 100 включ. |
Св. 100 |
Библиография
[1] |
МИ 2884-2004* |
Рекомендация "Государственная система обеспечения единства измерений. Методики количественного химического анализа. Процедуры проверки приемлемости результатов анализа", ФГУП "УНИИМ", г.Екатеринбург, 2004 г. |
________________ | ||
[2] |
РМГ 76-2004 |
Рекомендации по межгосударственной стандартизации "Государственная система обеспечения единства измерений. Внутренний контроль качества результатов количественного химического анализа". Приняты Межгосударственным советом по стандартизации, метрологии и сертификации (протокол N 26 от 08.12.2004 г.) |
[3] |
Руководство ЕВРОХИМ/СИТАК "Количественное описание неопределенности в аналитических измерениях"*. 2-е издание, 2000, пер. с англ. - СПб, ВНИИМ им. Д.И.Менделеева, 2002 |
|
________________ | ||
[4] |
Р 50.1.060-2006 |
Рекомендации по стандартизации "Государственная система обеспечения единства измерений. Статистические методы. Руководство по использованию оценок повторяемости, воспроизводимости и правильности при оценке неопределенности измерений" |
сверен по:
официальное издание
М.: Стандартинформ, 2011
![]() | Электронный текст документа подготовлен информационным порталом GostExpert.ru 2014 г. Online версия ГОСТ Р 52964-2008 |
