ГОСТ Р 51325.2.4-2013 Соединители электрические бытового и аналогичного назначения. Часть 2-4. Соединители, зависимые от массы присоединяемого электроприбора

Категории ГОСТ Р 51325.2.4-2013 по ОКС:
Статус документа:
принят, введён в действие 01.01.2015
Название на английском языке:
Appliance couplers for household and similar general purposes. Part 2-4. Couplers dependent on appliance weight for engagement
Дата актуализации информации по стандарту:
30.11.-0001, в 00:00 (более года назад)
Вид стандарта:
временно не известен
Дата начала действия ГОСТа:
2015-01-01
Коды документа ГОСТ Р 51325.2.4-2013:
Код КГС:
Е71
Код ОКСТУ:
3464
Число страниц:
не известно
Назначение ГОСТ Р 51325.2.4-2013:
Настоящий стандарт распространяется на двухполюсные соединители для электроприборов, с заземляющим или без заземляющего контакта, бытового и аналогичного назначения только для применения в сетях переменного тока частоты 50 Гц или 60 Гц номинального напряжения не более 250 В на номинальный ток не более 16 А и предназначенные для встраивания или закрепления на электрических приборах или другом электрическом оборудовании многоэлементной конструкции, в которых вес электрического прибора обеспечивает правильное сочленение соединителя
Документ разработан орг-ей:
Федеральное агентство по техническому регулированию и метрологии (Росстандарт)
Ключевые слова документа:
приборные вилки, розетки, соединители, соединители зависимые от массы

Скачать ГОСТ Р 51325.2.4-2013 вы можете в следующих версиях:

Тип файла:
Дата добавления:
Загрузок:
Размер:
Тип файла:
PDF с изображениями
Добавлен:
23/01/2016 01:46
Скачиваний:
3
Размер файла:
1.22 Мб
  • ГОСТ Р 51325.2.4-2013, страница 1 страница 1
  • ГОСТ Р 51325.2.4-2013, страница 2 страница 2
  • ГОСТ Р 51325.2.4-2013, страница 3 страница 3
  • ГОСТ Р 51325.2.4-2013, страница 4 страница 4
  • ГОСТ Р 51325.2.4-2013, страница 5 страница 5
  • ГОСТ Р 51325.2.4-2013, страница 6 страница 6
  • ГОСТ Р 51325.2.4-2013, страница 7 страница 7
  • ГОСТ Р 51325.2.4-2013, страница 8 страница 8
  • ГОСТ Р 51325.2.4-2013, страница 9 страница 9
  • ГОСТ Р 51325.2.4-2013, страница 10 страница 10
  • ГОСТ Р 51325.2.4-2013, страница 11 страница 11
  • ГОСТ Р 51325.2.4-2013, страница 12 страница 12
  • ГОСТ Р 51325.2.4-2013, страница 13 страница 13
  • ГОСТ Р 51325.2.4-2013, страница 14 страница 14
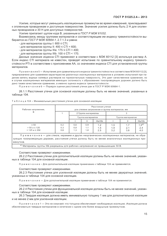
  • ГОСТ Р 51325.2.4-2013, страница 15 страница 15
  • ГОСТ Р 51325.2.4-2013, страница 16 страница 16
  • ГОСТ Р 51325.2.4-2013, страница 17 страница 17
  • ГОСТ Р 51325.2.4-2013, страница 18 страница 18
  • ГОСТ Р 51325.2.4-2013, страница 19 страница 19
  • ГОСТ Р 51325.2.4-2013, страница 20 страница 20
  • ГОСТ Р 51325.2.4-2013, страница 21 страница 21
  • ГОСТ Р 51325.2.4-2013, страница 22 страница 22
  • ГОСТ Р 51325.2.4-2013, страница 23 страница 23
  • ГОСТ Р 51325.2.4-2013, страница 24 страница 24
  • ГОСТ Р 51325.2.4-2013, страница 25 страница 25
  • ГОСТ Р 51325.2.4-2013, страница 26 страница 26
  • ГОСТ Р 51325.2.4-2013, страница 27 страница 27
  • ГОСТ Р 51325.2.4-2013, страница 28 страница 28