ГОСТ 34.10-2018 Информационная технология. Криптографическая защита информации. Процессы формирования и проверки электронной цифровой подписи

Категории ГОСТ 34.10-2018 по ОКС:
Статус документа:
действует, введён в действие 01.06.2019
Название на английском языке:
Information technology. Cryptographic data security. Signature and verififcation processes of electronic digital signature
Дата актуализации информации по стандарту:
08.11.2025, в 13:32 (менее 3 месяцев назад)
Вид стандарта:
Стандарты на методы контроля
Дата начала действия ГОСТа:
2019-06-01
Дата последнего издания документа:
2019-01-09
Число страниц:
21
Назначение ГОСТ 34.10-2018:
Настоящий стандарт определяет схему электронной цифроваой подписи (ЭЦП), процессы формирования и проверки цифровой подписи под заданным сообщением (документом), передаваемым по незащищенным телекоммуникационным каналам общего пользования в системах обработки информациии различного назначения. Внедрение цифровой подписи на основе настоящего стандарта повышает по сравнению с ранее действовавшей схемой цифровой подписи уровень защищенности передаваемых сообщений от подделок и искажений. Настоящий стандарт рекомендуется применять при создании, эксплуатации и модернизации систем обработки информации различного назначения
Документ принят орг-ей:
Межгосударственный Совет по стандартизации метрологии и сертификации, протокол №54-2018
Ключевые слова документа:
защита информации, обмен информацией, обработка данных, передача данных, проверка цифровой подписи, сообщения, формирование цифровой подписи, цифровые подписи

Скачать ГОСТ 34.10-2018 вы можете в следующих версиях:

Тип файла:
Дата добавления:
Загрузок:
Размер:
Тип файла:
PDF с изображениями
Добавлен:
20/11/2025 13:58
Скачиваний:
0
Размер файла:
6.13 Мб

Поправки и изменения к ГОСТ 34.10-2018:

  • Наименование, вид:
    Дата
    регистрации:
    начала действия:
  • Поправка к ГОСТ 34.10-2018

    Тип изменения: Поправка
    Номер изменения:
    Регистрационный номер: -

    2021-03-15
    2021-03-15
  • ГОСТ 34.10-2018, страница 1 страница 1
  • ГОСТ 34.10-2018, страница 2 страница 2
  • ГОСТ 34.10-2018, страница 3 страница 3
  • ГОСТ 34.10-2018, страница 4 страница 4
  • ГОСТ 34.10-2018, страница 5 страница 5
  • ГОСТ 34.10-2018, страница 6 страница 6
  • ГОСТ 34.10-2018, страница 7 страница 7
  • ГОСТ 34.10-2018, страница 8 страница 8
  • ГОСТ 34.10-2018, страница 9 страница 9
  • ГОСТ 34.10-2018, страница 10 страница 10
  • ГОСТ 34.10-2018, страница 11 страница 11
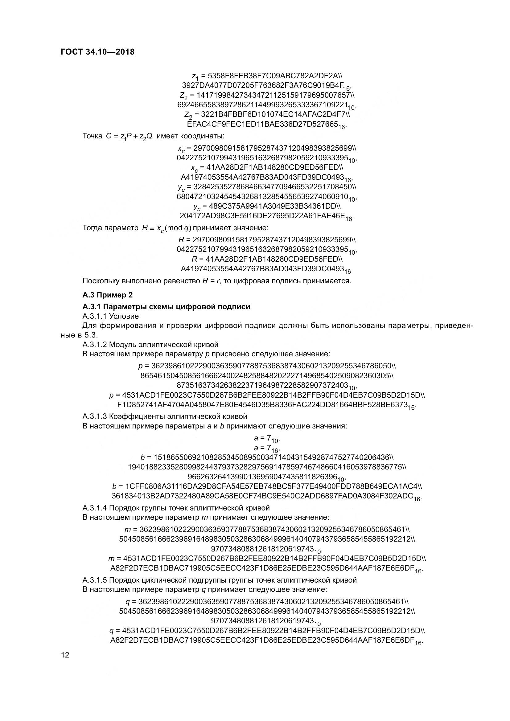
  • ГОСТ 34.10-2018, страница 12 страница 12
  • ГОСТ 34.10-2018, страница 13 страница 13
  • ГОСТ 34.10-2018, страница 14 страница 14
  • ГОСТ 34.10-2018, страница 15 страница 15
  • ГОСТ 34.10-2018, страница 16 страница 16
  • ГОСТ 34.10-2018, страница 17 страница 17
  • ГОСТ 34.10-2018, страница 18 страница 18
  • ГОСТ 34.10-2018, страница 19 страница 19
  • ГОСТ 34.10-2018, страница 20 страница 20
  • ГОСТ 34.10-2018, страница 21 страница 21