ГОСТ 33482-2015 Продукты пищевые, сырье продовольственное, комбикорма. Метод определения содержания анаболических стероидов и производных стильбена с помощью высокоэффективной жидкостной хроматографии с масс-спектрометрическим детектированием

Категории ГОСТ 33482-2015 по ОКС:
Статус документа:
действует, введён в действие 01.01.2017
Название на английском языке:
Food products, food raw materials, mixed feeds. Method for determination of anabolic steroids and stilbene derivatives by high performance liquid chromatography-mass spectrometry
Дата актуализации информации по стандарту:
23.10.2025, в 11:31 (менее 3 месяцев назад)
Вид стандарта:
Стандарты на продукцию (услуги)
Дата начала действия ГОСТа:
2017-01-01
Дата последнего издания документа:
2016-02-08
Число страниц:
26
Назначение ГОСТ 33482-2015:
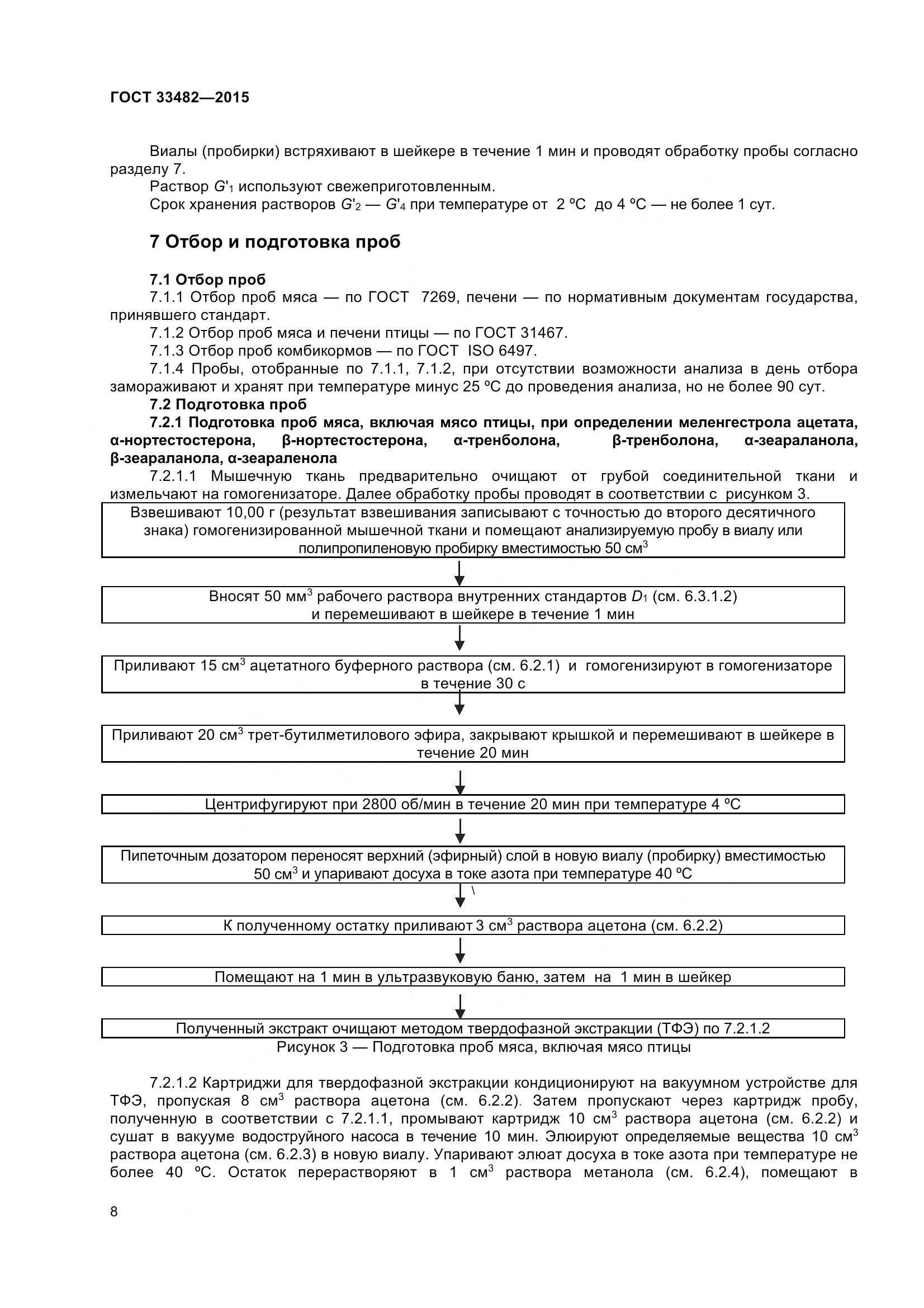
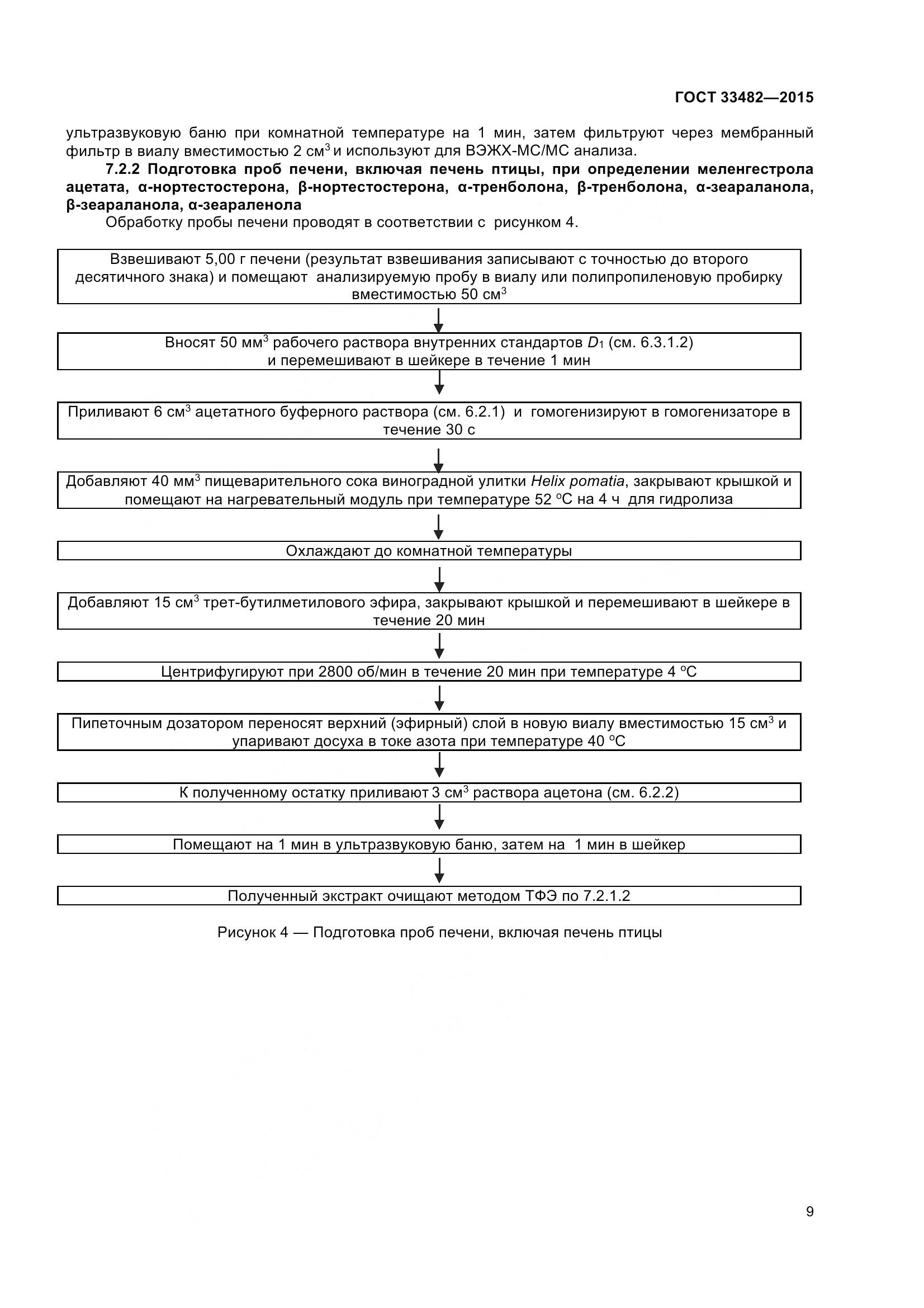
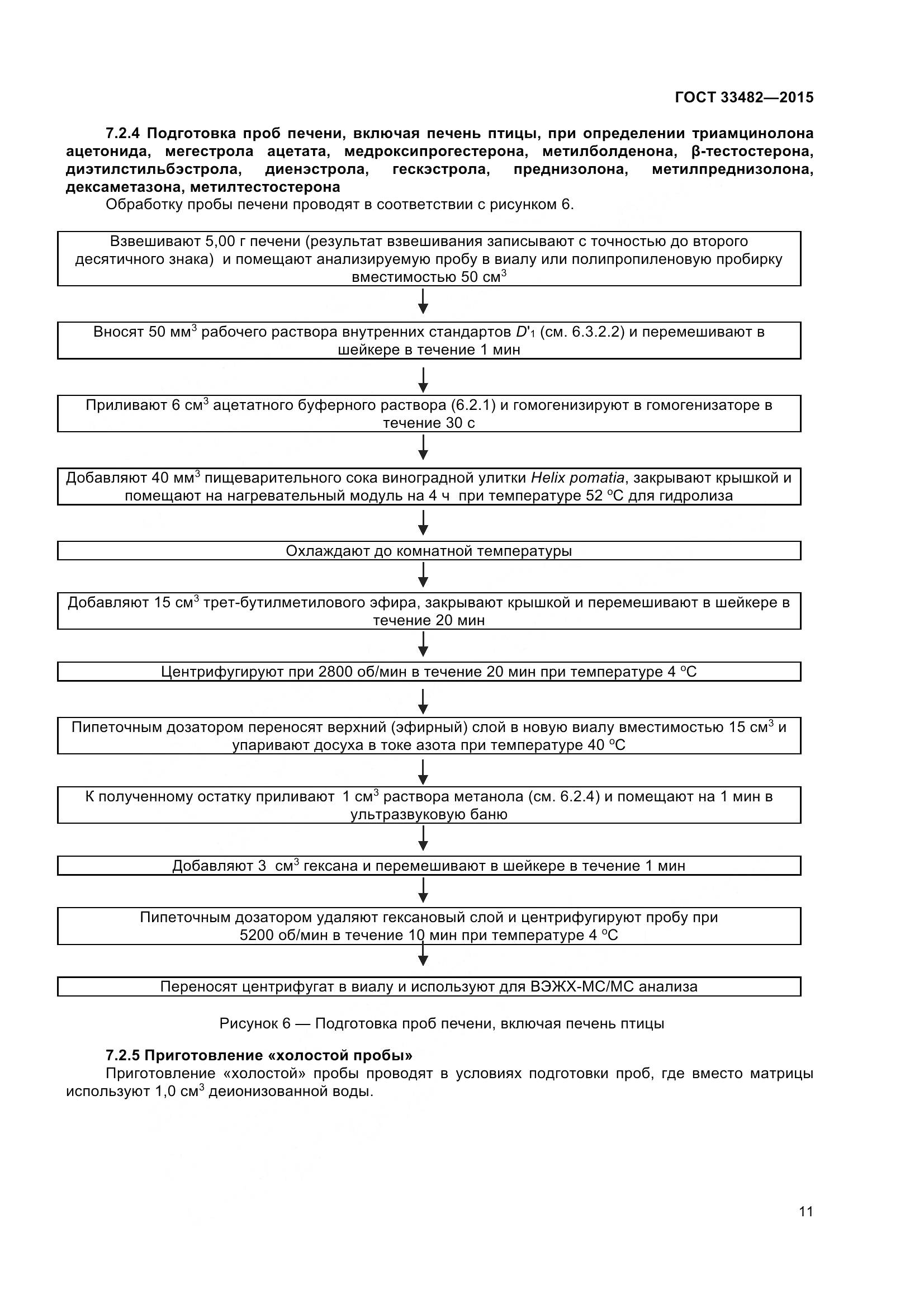
Настоящий стандарт распространяется на пищевые продукты и непереработанную пищевую продукцию животного происхождения в части мяса, в том числе из мяса птицы, субпродуктов (печень), комбикорма и устанавливает метод высокоэффективной жидкостной хроматографии с масс-спектрометрическим детектированием (далее - ВЭЖХ-МС/МС) для определения содержания анаболических стероидов и производных стильбена в диапазоне измерений: - для альфа - тренболона, бетта - тренболона в мясе - от 0,05 до 5,00 мкг/кг; - меленгестрол ацетата, альфа - нортестостерона, бетта - нортестостерона, альфа - зеараланола, бетта - зеараланола, альфа - зеараленола в мясе - от 0,2 до 5,0 мкг/кг; - альфа - тренболона, бетта - тренболона, альфа - зеараланола, бетта - зеараланола, альфа - зеараленола в печени - от 0,5 до 30,0 мкг/кг; - альфа - нортестостерона, бетта - нортестостерона в печени - от 2,0 до 30,0 мкг/кг; - гексэстрола, диэтилстильбестрола, мегестрол ацетата, медрокси-прогестерона, метилболденона, метилтестостерона, бетта - тестостерона, преднизолона, метилпреднизолона, дексаметазона в мясе, печени и комбикорме - от 0,5 до 30,0 мкг/кг
Документ разработан орг-ей:
Федеральное агентство по техническому регулированию и метрологии (Росстандарт)
Документ принят орг-ей:
Межгосударственный Совет по стандартизации метрологии и сертификации, протокол №81-П
Ключевые слова документа:
анаболические стероиды и производные стильбена, комбикорма, метод определения содержания с помощью высокоэффективной жидкостной хроматографии с масс-спектрометрическим детектированием, пищевые продукты

Скачать ГОСТ 33482-2015 вы можете в следующих версиях:

Тип файла:
Дата добавления:
Загрузок:
Размер:
Тип файла:
PDF с изображениями
Добавлен:
20/11/2025 15:34
Скачиваний:
3
Размер файла:
7.49 Мб
  • ГОСТ 33482-2015, страница 1 страница 1
  • ГОСТ 33482-2015, страница 2 страница 2
  • ГОСТ 33482-2015, страница 3 страница 3
  • ГОСТ 33482-2015, страница 4 страница 4
  • ГОСТ 33482-2015, страница 5 страница 5
  • ГОСТ 33482-2015, страница 6 страница 6
  • ГОСТ 33482-2015, страница 7 страница 7
  • ГОСТ 33482-2015, страница 8 страница 8
  • ГОСТ 33482-2015, страница 9 страница 9
  • ГОСТ 33482-2015, страница 10 страница 10
  • ГОСТ 33482-2015, страница 11 страница 11
  • ГОСТ 33482-2015, страница 12 страница 12
  • ГОСТ 33482-2015, страница 13 страница 13
  • ГОСТ 33482-2015, страница 14 страница 14
  • ГОСТ 33482-2015, страница 15 страница 15
  • ГОСТ 33482-2015, страница 16 страница 16
  • ГОСТ 33482-2015, страница 17 страница 17
  • ГОСТ 33482-2015, страница 18 страница 18
  • ГОСТ 33482-2015, страница 19 страница 19
  • ГОСТ 33482-2015, страница 20 страница 20
  • ГОСТ 33482-2015, страница 21 страница 21
  • ГОСТ 33482-2015, страница 22 страница 22
  • ГОСТ 33482-2015, страница 23 страница 23
  • ГОСТ 33482-2015, страница 24 страница 24
  • ГОСТ 33482-2015, страница 25 страница 25
  • ГОСТ 33482-2015, страница 26 страница 26