ГОСТ 32482-2025 Прокат тонколистовой холоднокатаный из электротехнической анизотропной стали для трансформаторов. Технические условия

Категории ГОСТ 32482-2025 по ОКС:
Статус документа:
принят, введён в действие 01.01.2026
Название на английском языке:
Gold-rolled grain-oriented electrical steel sheet and strip for transformer. Specifications
Дата актуализации информации по стандарту:
17.10.2025, в 09:34 (менее полугода назад)
Вид стандарта:
временно не известен
Дата начала действия ГОСТа:
2026-01-01
Число страниц:
20
Назначение ГОСТ 32482-2025:
не указано

Скачать ГОСТ 32482-2025 вы можете в следующих версиях:

Тип файла:
Дата добавления:
Загрузок:
Размер:
Тип файла:
PDF с изображениями
Добавлен:
21/11/2025 11:16
Скачиваний:
39
Размер файла:
5.67 Мб
  • ГОСТ 32482-2025, страница 1 страница 1
  • ГОСТ 32482-2025, страница 2 страница 2
  • ГОСТ 32482-2025, страница 3 страница 3
  • ГОСТ 32482-2025, страница 4 страница 4
  • ГОСТ 32482-2025, страница 5 страница 5
  • ГОСТ 32482-2025, страница 6 страница 6
  • ГОСТ 32482-2025, страница 7 страница 7
  • ГОСТ 32482-2025, страница 8 страница 8
  • ГОСТ 32482-2025, страница 9 страница 9
  • ГОСТ 32482-2025, страница 10 страница 10
  • ГОСТ 32482-2025, страница 11 страница 11
  • ГОСТ 32482-2025, страница 12 страница 12
  • ГОСТ 32482-2025, страница 13 страница 13
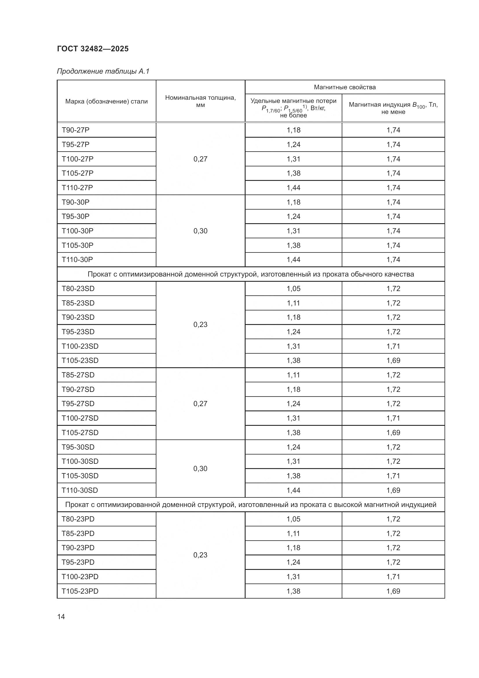
  • ГОСТ 32482-2025, страница 14 страница 14
  • ГОСТ 32482-2025, страница 15 страница 15
  • ГОСТ 32482-2025, страница 16 страница 16
  • ГОСТ 32482-2025, страница 17 страница 17
  • ГОСТ 32482-2025, страница 18 страница 18
  • ГОСТ 32482-2025, страница 19 страница 19
  • ГОСТ 32482-2025, страница 20 страница 20