ГОСТ 31997-2012 Лампы миниатюрные

Категории ГОСТ 31997-2012 по ОКС:
Статус документа:
действует, введён в действие 01.01.2014
Название на английском языке:
Miniature lamps
Дата актуализации информации по стандарту:
21.10.2025, в 10:23 (менее 3 месяцев назад)
Вид стандарта:
Стандарты на продукцию (услуги)
Дата начала действия ГОСТа:
2014-01-01
Дата последнего издания документа:
2014-04-07
Число страниц:
40
Назначение ГОСТ 31997-2012:
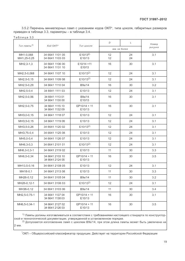
Настоящий стандарт распространяется на следующие миниатюрные галогенные и негалоген-ные лампы на номинальное напряжение до 30 В и номинальную мощность до 25 Вт: - лампы для дорожных транспортных средств (раздел 2), не предусмотренные [1] и не включенные в [3]; - лампы для электрических карманных фонарей (раздел 3); - лампы для рудничных головных светильников (раздел 4). Настоящий стандарт устанавливает требования к размерам, электрическим и световым параметрам, а также к продолжительности горения и механической прочности ламп
Документ разработан орг-ей:
Федеральное агентство по техническому регулированию и метрологии (Росстандарт)
Документ принят орг-ей:
Межгосударственный Совет по стандартизации метрологии и сертификации, протокол №54-П
Ключевые слова документа:
лампы миниатюрные, мощность, напряжение, начальные параметры, продолжительность горения, стабильность светового потока

Скачать ГОСТ 31997-2012 вы можете в следующих версиях:

Тип файла:
Дата добавления:
Загрузок:
Размер:
Тип файла:
PDF с изображениями
Добавлен:
21/11/2025 10:13
Скачиваний:
8
Размер файла:
2.69 Мб
  • ГОСТ 31997-2012, страница 1 страница 1
  • ГОСТ 31997-2012, страница 2 страница 2
  • ГОСТ 31997-2012, страница 3 страница 3
  • ГОСТ 31997-2012, страница 4 страница 4
  • ГОСТ 31997-2012, страница 5 страница 5
  • ГОСТ 31997-2012, страница 6 страница 6
  • ГОСТ 31997-2012, страница 7 страница 7
  • ГОСТ 31997-2012, страница 8 страница 8
  • ГОСТ 31997-2012, страница 9 страница 9
  • ГОСТ 31997-2012, страница 10 страница 10
  • ГОСТ 31997-2012, страница 11 страница 11
  • ГОСТ 31997-2012, страница 12 страница 12
  • ГОСТ 31997-2012, страница 13 страница 13
  • ГОСТ 31997-2012, страница 14 страница 14
  • ГОСТ 31997-2012, страница 15 страница 15
  • ГОСТ 31997-2012, страница 16 страница 16
  • ГОСТ 31997-2012, страница 17 страница 17
  • ГОСТ 31997-2012, страница 18 страница 18
  • ГОСТ 31997-2012, страница 19 страница 19
  • ГОСТ 31997-2012, страница 20 страница 20
  • ГОСТ 31997-2012, страница 21 страница 21
  • ГОСТ 31997-2012, страница 22 страница 22
  • ГОСТ 31997-2012, страница 23 страница 23
  • ГОСТ 31997-2012, страница 24 страница 24
  • ГОСТ 31997-2012, страница 25 страница 25
  • ГОСТ 31997-2012, страница 26 страница 26
  • ГОСТ 31997-2012, страница 27 страница 27
  • ГОСТ 31997-2012, страница 28 страница 28
  • ГОСТ 31997-2012, страница 29 страница 29
  • ГОСТ 31997-2012, страница 30 страница 30
  • ГОСТ 31997-2012, страница 31 страница 31
  • ГОСТ 31997-2012, страница 32 страница 32
  • ГОСТ 31997-2012, страница 33 страница 33
  • ГОСТ 31997-2012, страница 34 страница 34
  • ГОСТ 31997-2012, страница 35 страница 35
  • ГОСТ 31997-2012, страница 36 страница 36
  • ГОСТ 31997-2012, страница 37 страница 37
  • ГОСТ 31997-2012, страница 38 страница 38
  • ГОСТ 31997-2012, страница 39 страница 39
  • ГОСТ 31997-2012, страница 40 страница 40