ГОСТ Р ИСО 3183-1-2007 Трубы стальные для трубопроводов. Технические условия. Часть 1. Требования к трубам класса А

Категории ГОСТ Р ИСО 3183-1-2007 по ОКС:
Статус документа:
заменен, введён в действие 01.06.2008
Название на английском языке:
Steel pipes for pipelines. Specifications. Part 1. Requirements for class A pipes
Дата актуализации информации по стандарту:
18.02.2014, в 18:18 (более года назад)
Вид стандарта:
Стандарты на продукцию (услуги)
Дата начала действия ГОСТа:
2008-06-01
Срок действия ограничен:
01.01.2011
Дата последнего издания документа:
2008-07-18
Коды документа ГОСТ Р ИСО 3183-1-2007:
Код ОКП:
139000
Код КГС:
В62
Число страниц:
110
Назначение ГОСТ Р ИСО 3183-1-2007:
Настоящий стандарт определяет технические условия поставки бесшовных и сварных труб из нелегированных и легированных (кроме нержавеющих) сталей, соответствующих по качеству и требованиям к испытаниям уровню класса А. Настоящий стандарт распространяется на трубы для транспортирования и распределения горючих и негорючих сред (включая воду) в нефтяной и газовой промышленности. Настоящий стандарт распространяется на стальные трубы, в т.ч. высокопрочные с резьбой и муфты к ним, высокопрочные и особо высокопрочные с гладкими концами, а также трубы с раструбами
Ключевые слова документа:
испытания, контроль, маркировка, нефтяная и газовая промышленность, размеры, стальные трубы, требования к технологии производства труб, условия поставки, химический состав
Ссылки на прочие:
API RP Bull 5A2-1992;API RP 5L3:1996;API Std 1104:1994;ASTM А29;ASTM А 370:1989;ASTM А 751:1990;ASTM Е 41989;ASTM Е 83:1990;ASTM Е, часть 1X

Скачать ГОСТ Р ИСО 3183-1-2007 вы можете в следующих версиях:

Тип файла:
Дата добавления:
Загрузок:
Размер:
Тип файла:
PDF с изображениями
Добавлен:
12/12/2011 02:03
Скачиваний:
276
Размер файла:
3.9 Мб
  • ГОСТ Р ИСО 3183-1-2007, страница 1 страница 1
  • ГОСТ Р ИСО 3183-1-2007, страница 2 страница 2
  • ГОСТ Р ИСО 3183-1-2007, страница 3 страница 3
  • ГОСТ Р ИСО 3183-1-2007, страница 4 страница 4
  • ГОСТ Р ИСО 3183-1-2007, страница 5 страница 5
  • ГОСТ Р ИСО 3183-1-2007, страница 6 страница 6
  • ГОСТ Р ИСО 3183-1-2007, страница 7 страница 7
  • ГОСТ Р ИСО 3183-1-2007, страница 8 страница 8
  • ГОСТ Р ИСО 3183-1-2007, страница 9 страница 9
  • ГОСТ Р ИСО 3183-1-2007, страница 10 страница 10
  • ГОСТ Р ИСО 3183-1-2007, страница 11 страница 11
  • ГОСТ Р ИСО 3183-1-2007, страница 12 страница 12
  • ГОСТ Р ИСО 3183-1-2007, страница 13 страница 13
  • ГОСТ Р ИСО 3183-1-2007, страница 14 страница 14
  • ГОСТ Р ИСО 3183-1-2007, страница 15 страница 15
  • ГОСТ Р ИСО 3183-1-2007, страница 16 страница 16
  • ГОСТ Р ИСО 3183-1-2007, страница 17 страница 17
  • ГОСТ Р ИСО 3183-1-2007, страница 18 страница 18
  • ГОСТ Р ИСО 3183-1-2007, страница 19 страница 19
  • ГОСТ Р ИСО 3183-1-2007, страница 20 страница 20
  • ГОСТ Р ИСО 3183-1-2007, страница 21 страница 21
  • ГОСТ Р ИСО 3183-1-2007, страница 22 страница 22
  • ГОСТ Р ИСО 3183-1-2007, страница 23 страница 23
  • ГОСТ Р ИСО 3183-1-2007, страница 24 страница 24
  • ГОСТ Р ИСО 3183-1-2007, страница 25 страница 25
  • ГОСТ Р ИСО 3183-1-2007, страница 26 страница 26
  • ГОСТ Р ИСО 3183-1-2007, страница 27 страница 27
  • ГОСТ Р ИСО 3183-1-2007, страница 28 страница 28
  • ГОСТ Р ИСО 3183-1-2007, страница 29 страница 29
  • ГОСТ Р ИСО 3183-1-2007, страница 30 страница 30
  • ГОСТ Р ИСО 3183-1-2007, страница 31 страница 31
  • ГОСТ Р ИСО 3183-1-2007, страница 32 страница 32
  • ГОСТ Р ИСО 3183-1-2007, страница 33 страница 33
  • ГОСТ Р ИСО 3183-1-2007, страница 34 страница 34
  • ГОСТ Р ИСО 3183-1-2007, страница 35 страница 35
  • ГОСТ Р ИСО 3183-1-2007, страница 36 страница 36
  • ГОСТ Р ИСО 3183-1-2007, страница 37 страница 37
  • ГОСТ Р ИСО 3183-1-2007, страница 38 страница 38
  • ГОСТ Р ИСО 3183-1-2007, страница 39 страница 39
  • ГОСТ Р ИСО 3183-1-2007, страница 40 страница 40
  • ГОСТ Р ИСО 3183-1-2007, страница 41 страница 41
  • ГОСТ Р ИСО 3183-1-2007, страница 42 страница 42
  • ГОСТ Р ИСО 3183-1-2007, страница 43 страница 43
  • ГОСТ Р ИСО 3183-1-2007, страница 44 страница 44
  • ГОСТ Р ИСО 3183-1-2007, страница 45 страница 45
  • ГОСТ Р ИСО 3183-1-2007, страница 46 страница 46
  • ГОСТ Р ИСО 3183-1-2007, страница 47 страница 47
  • ГОСТ Р ИСО 3183-1-2007, страница 48 страница 48
  • ГОСТ Р ИСО 3183-1-2007, страница 49 страница 49
  • ГОСТ Р ИСО 3183-1-2007, страница 50 страница 50
  • ГОСТ Р ИСО 3183-1-2007, страница 51 страница 51
  • ГОСТ Р ИСО 3183-1-2007, страница 52 страница 52
  • ГОСТ Р ИСО 3183-1-2007, страница 53 страница 53
  • ГОСТ Р ИСО 3183-1-2007, страница 54 страница 54
  • ГОСТ Р ИСО 3183-1-2007, страница 55 страница 55
  • ГОСТ Р ИСО 3183-1-2007, страница 56 страница 56
  • ГОСТ Р ИСО 3183-1-2007, страница 57 страница 57
  • ГОСТ Р ИСО 3183-1-2007, страница 58 страница 58
  • ГОСТ Р ИСО 3183-1-2007, страница 59 страница 59
  • ГОСТ Р ИСО 3183-1-2007, страница 60 страница 60
  • ГОСТ Р ИСО 3183-1-2007, страница 61 страница 61
  • ГОСТ Р ИСО 3183-1-2007, страница 62 страница 62
  • ГОСТ Р ИСО 3183-1-2007, страница 63 страница 63
  • ГОСТ Р ИСО 3183-1-2007, страница 64 страница 64
  • ГОСТ Р ИСО 3183-1-2007, страница 65 страница 65
  • ГОСТ Р ИСО 3183-1-2007, страница 66 страница 66
  • ГОСТ Р ИСО 3183-1-2007, страница 67 страница 67
  • ГОСТ Р ИСО 3183-1-2007, страница 68 страница 68
  • ГОСТ Р ИСО 3183-1-2007, страница 69 страница 69
  • ГОСТ Р ИСО 3183-1-2007, страница 70 страница 70
  • ГОСТ Р ИСО 3183-1-2007, страница 71 страница 71
  • ГОСТ Р ИСО 3183-1-2007, страница 72 страница 72
  • ГОСТ Р ИСО 3183-1-2007, страница 73 страница 73
  • ГОСТ Р ИСО 3183-1-2007, страница 74 страница 74
  • ГОСТ Р ИСО 3183-1-2007, страница 75 страница 75
  • ГОСТ Р ИСО 3183-1-2007, страница 76 страница 76
  • ГОСТ Р ИСО 3183-1-2007, страница 77 страница 77
  • ГОСТ Р ИСО 3183-1-2007, страница 78 страница 78
  • ГОСТ Р ИСО 3183-1-2007, страница 79 страница 79
  • ГОСТ Р ИСО 3183-1-2007, страница 80 страница 80
  • ГОСТ Р ИСО 3183-1-2007, страница 81 страница 81
  • ГОСТ Р ИСО 3183-1-2007, страница 82 страница 82
  • ГОСТ Р ИСО 3183-1-2007, страница 83 страница 83
  • ГОСТ Р ИСО 3183-1-2007, страница 84 страница 84
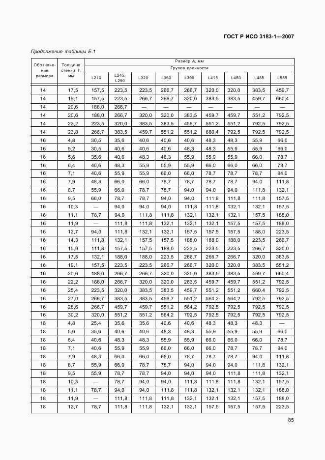
  • ГОСТ Р ИСО 3183-1-2007, страница 85 страница 85
  • ГОСТ Р ИСО 3183-1-2007, страница 86 страница 86
  • ГОСТ Р ИСО 3183-1-2007, страница 87 страница 87
  • ГОСТ Р ИСО 3183-1-2007, страница 88 страница 88
  • ГОСТ Р ИСО 3183-1-2007, страница 89 страница 89
  • ГОСТ Р ИСО 3183-1-2007, страница 90 страница 90
  • ГОСТ Р ИСО 3183-1-2007, страница 91 страница 91
  • ГОСТ Р ИСО 3183-1-2007, страница 92 страница 92
  • ГОСТ Р ИСО 3183-1-2007, страница 93 страница 93
  • ГОСТ Р ИСО 3183-1-2007, страница 94 страница 94
  • ГОСТ Р ИСО 3183-1-2007, страница 95 страница 95
  • ГОСТ Р ИСО 3183-1-2007, страница 96 страница 96
  • ГОСТ Р ИСО 3183-1-2007, страница 97 страница 97
  • ГОСТ Р ИСО 3183-1-2007, страница 98 страница 98
  • ГОСТ Р ИСО 3183-1-2007, страница 99 страница 99
  • ГОСТ Р ИСО 3183-1-2007, страница 100 страница 100
  • ГОСТ Р ИСО 3183-1-2007, страница 101 страница 101
  • ГОСТ Р ИСО 3183-1-2007, страница 102 страница 102
  • ГОСТ Р ИСО 3183-1-2007, страница 103 страница 103
  • ГОСТ Р ИСО 3183-1-2007, страница 104 страница 104
  • ГОСТ Р ИСО 3183-1-2007, страница 105 страница 105
  • ГОСТ Р ИСО 3183-1-2007, страница 106 страница 106
  • ГОСТ Р ИСО 3183-1-2007, страница 107 страница 107
  • ГОСТ Р ИСО 3183-1-2007, страница 108 страница 108
  • ГОСТ Р ИСО 3183-1-2007, страница 109 страница 109
  • ГОСТ Р ИСО 3183-1-2007, страница 110 страница 110