ГОСТ 31543-2012 Машины кузнечно-прессовые. Шумовые характеристики и методы их определения

Категории ГОСТ 31543-2012 по ОКС:
Статус документа:
действует, введён в действие 01.03.2013
Название на английском языке:
Metal forging machines. Noise characteristics and methods of their determination
Дата актуализации информации по стандарту:
24.06.2025, в 16:35 (менее полугода назад)
Вид стандарта:
Стандарты на методы контроля
Дата начала действия ГОСТа:
2013-03-01
Дата последнего издания документа:
2013-08-22
Коды документа ГОСТ 31543-2012:
Код КГС:
Г83
Число страниц:
20
Назначение ГОСТ 31543-2012:
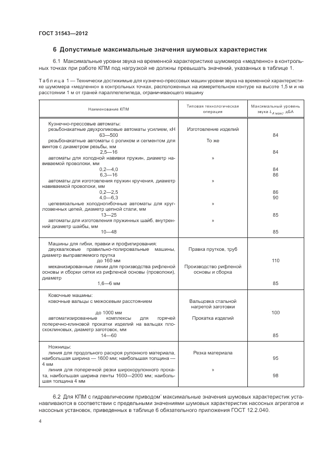
Настоящий стандарт распространяется на кузнечно-прессовые машины (КПМ), устанавливает их допустимые уровни шума при работе на холостом ходу и под нагрузкой, методы и условия проведения измерений, требования к защите от шума на рабочих местах и предназначен для целей сертификации данного оборудования
Документ разработан орг-ей:
Федеральное агенство по техническому регулированию и метрологии (Росстандарт)
Документ принят орг-ей:
Межгосударственный Совет по стандартизации метрологии и сертификации, протокол №41-2012
Ключевые слова документа:
октавный уровень звукового давления, помеха, спектр шума, уровень звука, уровень звукового давления, уровень звуковой экспозиции, уровень помех, шум, шумовые характеристики, эквивалентный уровень звука

Скачать ГОСТ 31543-2012 вы можете в следующих версиях:

Тип файла:
Дата добавления:
Загрузок:
Размер:
Тип файла:
PDF с изображениями
Добавлен:
23/01/2016 18:28
Скачиваний:
4
Размер файла:
0.79 Мб
  • ГОСТ 31543-2012, страница 1 страница 1
  • ГОСТ 31543-2012, страница 2 страница 2
  • ГОСТ 31543-2012, страница 3 страница 3
  • ГОСТ 31543-2012, страница 4 страница 4
  • ГОСТ 31543-2012, страница 5 страница 5
  • ГОСТ 31543-2012, страница 6 страница 6
  • ГОСТ 31543-2012, страница 7 страница 7
  • ГОСТ 31543-2012, страница 8 страница 8
  • ГОСТ 31543-2012, страница 9 страница 9
  • ГОСТ 31543-2012, страница 10 страница 10
  • ГОСТ 31543-2012, страница 11 страница 11
  • ГОСТ 31543-2012, страница 12 страница 12
  • ГОСТ 31543-2012, страница 13 страница 13
  • ГОСТ 31543-2012, страница 14 страница 14
  • ГОСТ 31543-2012, страница 15 страница 15
  • ГОСТ 31543-2012, страница 16 страница 16
  • ГОСТ 31543-2012, страница 17 страница 17
  • ГОСТ 31543-2012, страница 18 страница 18
  • ГОСТ 31543-2012, страница 19 страница 19
  • ГОСТ 31543-2012, страница 20 страница 20