ГОСТ 3057-90 Пружины тарельчатые. Общие технические условия

Категории ГОСТ 3057-90 по ОКС:
Статус документа:
действует, введён в действие 01.07.1991
Название на английском языке:
Disk springs. Specifications
Дата актуализации информации по стандарту:
18.12.2025, в 10:09 (менее 3 месяцев назад)
Вид стандарта:
Стандарты на продукцию (услуги)
Дата начала действия ГОСТа:
1991-07-01
Дата последнего издания документа:
2003-07-01
Коды документа ГОСТ 3057-90:
Код ОКП:
418000
Код КГС:
Г11
Код ОКСТУ:
4180;1012
Число страниц:
39
Назначение ГОСТ 3057-90:
Настоящий стандарт распространяется на тарельчатые пружины из рессорно-пружинной стали, работающие при температуре от минус 60 град. С до плюс 120 град. С. Стандарт не распространяется на пружины, предназначенные для работы в агрессивных или иных средах, обязывающих к применению специальных материалов
ГРНТИ индекс(ы):
550341
Ключевые слова документа:
детали машин, машиностроение

Скачать ГОСТ 3057-90 вы можете в следующих версиях:

Тип файла:
Дата добавления:
Загрузок:
Размер:
Тип файла:
PDF с изображениями
Добавлен:
12/12/2011 01:57
Скачиваний:
4235
Размер файла:
1.5 Мб

Поправки и изменения к ГОСТ 3057-90:

  • Наименование, вид:
    Дата
    регистрации:
    начала действия:
  • Поправка к ГОСТ 3057-90

    Тип изменения: Поправка
    Номер изменения:
    Регистрационный номер: -

    2024-07-04
    2024-07-22
  • ГОСТ 3057-90, страница 1 страница 1
  • ГОСТ 3057-90, страница 2 страница 2
  • ГОСТ 3057-90, страница 3 страница 3
  • ГОСТ 3057-90, страница 4 страница 4
  • ГОСТ 3057-90, страница 5 страница 5
  • ГОСТ 3057-90, страница 6 страница 6
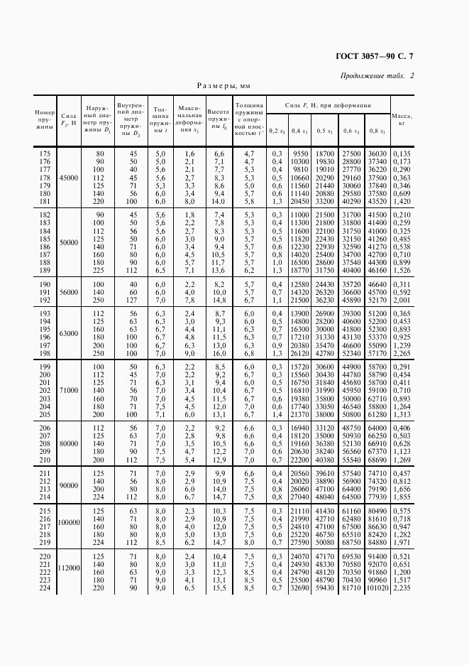
  • ГОСТ 3057-90, страница 7 страница 7
  • ГОСТ 3057-90, страница 8 страница 8
  • ГОСТ 3057-90, страница 9 страница 9
  • ГОСТ 3057-90, страница 10 страница 10
  • ГОСТ 3057-90, страница 11 страница 11
  • ГОСТ 3057-90, страница 12 страница 12
  • ГОСТ 3057-90, страница 13 страница 13
  • ГОСТ 3057-90, страница 14 страница 14
  • ГОСТ 3057-90, страница 15 страница 15
  • ГОСТ 3057-90, страница 16 страница 16
  • ГОСТ 3057-90, страница 17 страница 17
  • ГОСТ 3057-90, страница 18 страница 18
  • ГОСТ 3057-90, страница 19 страница 19
  • ГОСТ 3057-90, страница 20 страница 20
  • ГОСТ 3057-90, страница 21 страница 21
  • ГОСТ 3057-90, страница 22 страница 22
  • ГОСТ 3057-90, страница 23 страница 23
  • ГОСТ 3057-90, страница 24 страница 24
  • ГОСТ 3057-90, страница 25 страница 25
  • ГОСТ 3057-90, страница 26 страница 26
  • ГОСТ 3057-90, страница 27 страница 27
  • ГОСТ 3057-90, страница 28 страница 28
  • ГОСТ 3057-90, страница 29 страница 29
  • ГОСТ 3057-90, страница 30 страница 30
  • ГОСТ 3057-90, страница 31 страница 31
  • ГОСТ 3057-90, страница 32 страница 32
  • ГОСТ 3057-90, страница 33 страница 33
  • ГОСТ 3057-90, страница 34 страница 34
  • ГОСТ 3057-90, страница 35 страница 35
  • ГОСТ 3057-90, страница 36 страница 36
  • ГОСТ 3057-90, страница 37 страница 37
  • ГОСТ 3057-90, страница 38 страница 38