ГОСТ Р ИСО 28640-2012 Статистические методы. Генерация случайных чисел

Категории ГОСТ Р ИСО 28640-2012 по ОКС:
Статус документа:
действует, введён в действие 01.12.2013
Название на английском языке:
Statistical methods. Random variate generation
Дата актуализации информации по стандарту:
22.01.2026, в 19:57 (менее месяца назад)
Вид стандарта:
временно не известен
Дата начала действия ГОСТа:
2013-12-01
Коды документа ГОСТ Р ИСО 28640-2012:
Код КГС:
Т59
Число страниц:
не известно
Назначение ГОСТ Р ИСО 28640-2012:
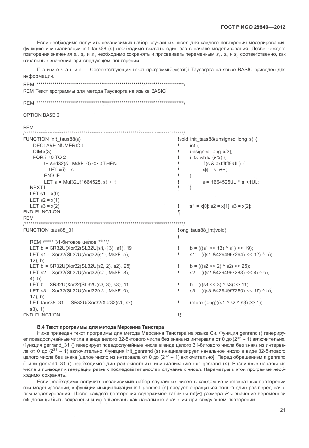
В настоящем стандарте установлены методы генерации случайных чисел, подчиняющихся равномерному и другим законам распределения, используемых при применении метода Монте-Карло. В настоящий стандарт не включены криптографические методы генерации случайных чисел. Настоящий стандарт будет полезен в первую очередь: - научным работникам, технологам и специалистам в области систем управления, использующим статистическое моделирование; - специалистам в области математической статистики, использующим рандомизацию при разработке методов статистического контроля качества продукции и процессов, планирования экспериментов и обработки данных; - математикам, разрабатывающим сложные процедуры оптимизации с использованием метода Монте-Карло, разработчикам программного обеспечения при создании алгоритмов генерации псевдослучайных чисел
Ключевые слова документа:
генератор случайных чисел, двоичные числа, начальное число, псевдослучайное число, физическое случайное число

Скачать ГОСТ Р ИСО 28640-2012 вы можете в следующих версиях:

Тип файла:
Дата добавления:
Загрузок:
Размер:
Тип файла:
PDF с изображениями
Добавлен:
23/01/2016 18:06
Скачиваний:
44
Размер файла:
1.49 Мб
  • ГОСТ Р ИСО 28640-2012, страница 1 страница 1
  • ГОСТ Р ИСО 28640-2012, страница 2 страница 2
  • ГОСТ Р ИСО 28640-2012, страница 3 страница 3
  • ГОСТ Р ИСО 28640-2012, страница 4 страница 4
  • ГОСТ Р ИСО 28640-2012, страница 5 страница 5
  • ГОСТ Р ИСО 28640-2012, страница 6 страница 6
  • ГОСТ Р ИСО 28640-2012, страница 7 страница 7
  • ГОСТ Р ИСО 28640-2012, страница 8 страница 8
  • ГОСТ Р ИСО 28640-2012, страница 9 страница 9
  • ГОСТ Р ИСО 28640-2012, страница 10 страница 10
  • ГОСТ Р ИСО 28640-2012, страница 11 страница 11
  • ГОСТ Р ИСО 28640-2012, страница 12 страница 12
  • ГОСТ Р ИСО 28640-2012, страница 13 страница 13
  • ГОСТ Р ИСО 28640-2012, страница 14 страница 14
  • ГОСТ Р ИСО 28640-2012, страница 15 страница 15
  • ГОСТ Р ИСО 28640-2012, страница 16 страница 16
  • ГОСТ Р ИСО 28640-2012, страница 17 страница 17
  • ГОСТ Р ИСО 28640-2012, страница 18 страница 18
  • ГОСТ Р ИСО 28640-2012, страница 19 страница 19
  • ГОСТ Р ИСО 28640-2012, страница 20 страница 20
  • ГОСТ Р ИСО 28640-2012, страница 21 страница 21
  • ГОСТ Р ИСО 28640-2012, страница 22 страница 22
  • ГОСТ Р ИСО 28640-2012, страница 23 страница 23
  • ГОСТ Р ИСО 28640-2012, страница 24 страница 24
  • ГОСТ Р ИСО 28640-2012, страница 25 страница 25
  • ГОСТ Р ИСО 28640-2012, страница 26 страница 26
  • ГОСТ Р ИСО 28640-2012, страница 27 страница 27
  • ГОСТ Р ИСО 28640-2012, страница 28 страница 28
  • ГОСТ Р ИСО 28640-2012, страница 29 страница 29
  • ГОСТ Р ИСО 28640-2012, страница 30 страница 30
  • ГОСТ Р ИСО 28640-2012, страница 31 страница 31
  • ГОСТ Р ИСО 28640-2012, страница 32 страница 32
  • ГОСТ Р ИСО 28640-2012, страница 33 страница 33
  • ГОСТ Р ИСО 28640-2012, страница 34 страница 34
  • ГОСТ Р ИСО 28640-2012, страница 35 страница 35
  • ГОСТ Р ИСО 28640-2012, страница 36 страница 36
  • ГОСТ Р ИСО 28640-2012, страница 37 страница 37
  • ГОСТ Р ИСО 28640-2012, страница 38 страница 38
  • ГОСТ Р ИСО 28640-2012, страница 39 страница 39
  • ГОСТ Р ИСО 28640-2012, страница 40 страница 40