ГОСТ 28638-90
ГОСТ 28638-90 Изделия щетинно-щеточные бытового назначения. Общие технические условия
Категории ГОСТ 28638-90 по ОКС:- Статус документа:
- действует, введён в действие 01.07.1991
- Название на английском языке:
- Bristle brush articles for household use. General specifications
- Дата актуализации информации по стандарту:
- 15.09.2019, в 21:23 (более года назад)
- Вид стандарта:
- Стандарты на продукцию (услуги)
- Дата начала действия ГОСТа:
- 1991-07-01
- Дата последнего издания документа:
- 2003-04-01
Коды документа ГОСТ 28638-90:
- Код ОКП:
- 967710;967741;967760;967770
- Код КГС:
- У22
- Код ОКСТУ:
- 9677
- Число страниц:
- 11
- Назначение ГОСТ 28638-90:
- Настоящий стандарт распространяется на щетинно-щеточные изделия бытового назначения (щетки, ерши, кисти для бритья), предназначенные для использования в домашнем обиходе, для личной гигиены, чистки и мытья различных изделий и др. целей. Настоящий стандарт не распространяется на зубные щетки
- ГРНТИ индекс(ы):
- 644571
- Документ разработан орг-ей:
- Госкомлегпром при Госплане СССР
- Ключевые слова документа:
- бытовое назначение, щетинно-щеточные изделия
Нормативные ссылки, связанные с ГОСТ 28638-90:
- Стандарт ссылается на ГОСТы:
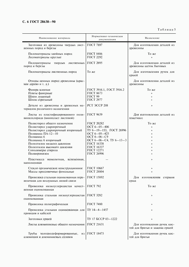
- ГОСТ 931-78, ГОСТ 2977-82, ГОСТ 7897-83, ГОСТ 8486-86, ГОСТ 24338-80, ГОСТ 5689-79, ГОСТ 99-75, ГОСТ 14961-85, ГОСТ 19904-74, ГОСТ 2695-83, ГОСТ 3916-69, ГОСТ 1066-80, ГОСТ 15809-70, ГОСТ 8673-82, ГОСТ 2292-74, ГОСТ 24221-80, ГОСТ 12857-78, ГОСТ 15.007-88, ГОСТ 9639-71, ГОСТ 5496-78, ГОСТ 20282-86, ГОСТ 16338-85, ГОСТ 16337-77, ГОСТ 12271-76, ГОСТ 9389-75, ГОСТ 792-67, ГОСТ 7480-73, ГОСТ 5437-85, ГОСТ 3282-74, ГОСТ 21631-76, ГОСТ 15892-70, ГОСТ 9.301-86, ГОСТ 18475-82
- На стандарт ссылаются:
- ГОСТ Р МЭК 62093-2013, ГОСТ Р 52342-2005, ГОСТ Р 52341-2005, ГОСТ 8.205-2014, ГОСТ 32647-2014
- Ссылки на прочие:
- ОСТ 6-05-406-80;ОСТ 5-05-425-86;ОСТ 6-06-С4-79;ОСТ 6-06-С8-76;ОСТ 6-06-С9-83;ОСТ 6-06-С11-76;ОСТ 6-06-387-84;ОСТ 6-06-10-76
Скачать ГОСТ 28638-90 вы можете в следующих версиях:
Тип файла:
Дата добавления:
Загрузок:
Размер:
Ссылка на скачивание:
Добавлен:
12/12/2011 02:02
Скачиваний:
517
Размер файла:
0.53 Мб
Ссылка для скачивания:
-
страница 1
-
страница 2
-
страница 3
-
страница 4
-
страница 5
-
страница 6
-
страница 7
-
страница 8
-
страница 9
-
страница 10
-
страница 11