ГОСТ 28306-2018 Техника сельскохозяйственная. Машины для посадки картофеля. Методы испытаний

Категории ГОСТ 28306-2018 по ОКС:
Статус документа:
действует, введён в действие 01.09.2019
Название на английском языке:
Agricultural machinery. Potato planters. Test methods
Дата актуализации информации по стандарту:
22.01.2026, в 19:57 (менее месяца назад)
Вид стандарта:
Стандарты на методы контроля
Дата начала действия ГОСТа:
2019-09-01
Дата последнего издания документа:
2019-01-09
Число страниц:
33
Назначение ГОСТ 28306-2018:
Настоящий стандарт распространяется на машины для посадки картофеля и устанавливает методы их испытаний
Документ разработан орг-ей:
Федеральное агентство по техническому регулированию и метрологии (Росстандарт)
Документ принят орг-ей:
Межгосударственный Совет по стандартизации метрологии и сертификации, протокол №106-П
Ключевые слова документа:
картофель, клубни, методы испытаний, опыт, повторность, посадка, сельскохозяйственная техника, сорт

Скачать ГОСТ 28306-2018 вы можете в следующих версиях:

Тип файла:
Дата добавления:
Загрузок:
Размер:
Тип файла:
PDF с изображениями
Добавлен:
20/11/2025 13:58
Скачиваний:
33
Размер файла:
8.17 Мб
  • ГОСТ 28306-2018, страница 1 страница 1
  • ГОСТ 28306-2018, страница 2 страница 2
  • ГОСТ 28306-2018, страница 3 страница 3
  • ГОСТ 28306-2018, страница 4 страница 4
  • ГОСТ 28306-2018, страница 5 страница 5
  • ГОСТ 28306-2018, страница 6 страница 6
  • ГОСТ 28306-2018, страница 7 страница 7
  • ГОСТ 28306-2018, страница 8 страница 8
  • ГОСТ 28306-2018, страница 9 страница 9
  • ГОСТ 28306-2018, страница 10 страница 10
  • ГОСТ 28306-2018, страница 11 страница 11
  • ГОСТ 28306-2018, страница 12 страница 12
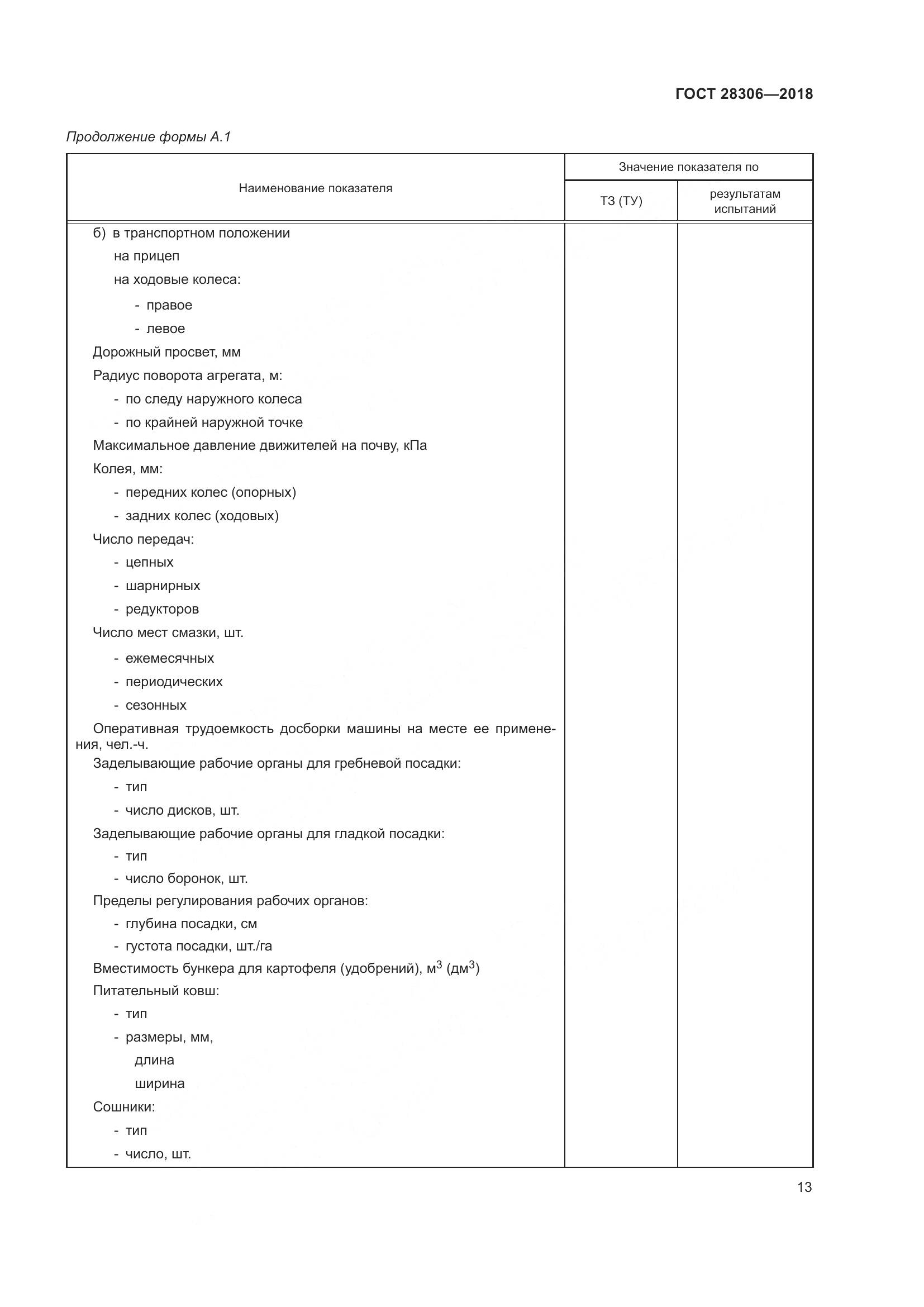
  • ГОСТ 28306-2018, страница 13 страница 13
  • ГОСТ 28306-2018, страница 14 страница 14
  • ГОСТ 28306-2018, страница 15 страница 15
  • ГОСТ 28306-2018, страница 16 страница 16
  • ГОСТ 28306-2018, страница 17 страница 17
  • ГОСТ 28306-2018, страница 18 страница 18
  • ГОСТ 28306-2018, страница 19 страница 19
  • ГОСТ 28306-2018, страница 20 страница 20
  • ГОСТ 28306-2018, страница 21 страница 21
  • ГОСТ 28306-2018, страница 22 страница 22
  • ГОСТ 28306-2018, страница 23 страница 23
  • ГОСТ 28306-2018, страница 24 страница 24
  • ГОСТ 28306-2018, страница 25 страница 25
  • ГОСТ 28306-2018, страница 26 страница 26
  • ГОСТ 28306-2018, страница 27 страница 27
  • ГОСТ 28306-2018, страница 28 страница 28
  • ГОСТ 28306-2018, страница 29 страница 29
  • ГОСТ 28306-2018, страница 30 страница 30
  • ГОСТ 28306-2018, страница 31 страница 31
  • ГОСТ 28306-2018, страница 32 страница 32
  • ГОСТ 28306-2018, страница 33 страница 33