ГОСТ 24829-81 Пакеты трехкассетных пресс-форм для изготовления резиновых уплотнительных манжет. Конструкция и размеры

Категории ГОСТ 24829-81 по ОКС:
Статус документа:
действует, введён в действие 01.07.1982
Название на английском языке:
The sets of three casette press moulds for manufacturing of rubber sealing cups. Design and dimensions
Дата актуализации информации по стандарту:
14.09.2019, в 13:43 (более года назад)
Вид стандарта:
Стандарты на продукцию (услуги)
Дата начала действия ГОСТа:
1982-07-01
Дата последнего издания документа:
1981-09-16
Коды документа ГОСТ 24829-81:
Код ОКП:
396381
Код КГС:
Г21
Код ОКСТУ:
3963
Число страниц:
46
Назначение ГОСТ 24829-81:
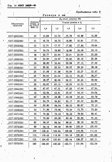
Настоящий стандарт распространяется на пакеты с исполнительными размерами формообразующих полостей, рассчитанных с учетом усадки резины 1,2, 1,5, 1,8, 2,4, 3,0 %, устанавливаемые в блоки трехкассетных пресс-форм по ГОСТ 24318-80 для изготовления резиновых манжет типов 1 и 2 по ГОСТ 6678-72 с внутренним диаметром не менее 9,5 мм и наружным диаметром не более 159 мм
ГРНТИ индекс(ы):
552931
Документ разработан орг-ей:
Министерство нефтеперерабатывающей и нефтехимической промышленности СССР
Ключевые слова документа:
конструкция, пакеты трехкассетных пресс-форм, размеры

Скачать ГОСТ 24829-81 вы можете в следующих версиях:

Тип файла:
Дата добавления:
Загрузок:
Размер:
Тип файла:
PDF с изображениями
Добавлен:
12/12/2011 02:01
Скачиваний:
83
Размер файла:
1.23 Мб
Тип файла:
PDF с изображениями
Добавлен:
12/12/2011 02:01
Скачиваний:
86
Размер файла:
1.23 Мб
Тип файла:
PDF с изображениями
Добавлен:
12/12/2011 01:57
Скачиваний:
123
Размер файла:
1.53 Мб
  • ГОСТ 24829-81, страница 1 страница 1
  • ГОСТ 24829-81, страница 2 страница 2
  • ГОСТ 24829-81, страница 3 страница 3
  • ГОСТ 24829-81, страница 4 страница 4
  • ГОСТ 24829-81, страница 5 страница 5
  • ГОСТ 24829-81, страница 6 страница 6
  • ГОСТ 24829-81, страница 7 страница 7
  • ГОСТ 24829-81, страница 8 страница 8
  • ГОСТ 24829-81, страница 9 страница 9
  • ГОСТ 24829-81, страница 10 страница 10
  • ГОСТ 24829-81, страница 11 страница 11
  • ГОСТ 24829-81, страница 12 страница 12
  • ГОСТ 24829-81, страница 13 страница 13
  • ГОСТ 24829-81, страница 14 страница 14
  • ГОСТ 24829-81, страница 15 страница 15
  • ГОСТ 24829-81, страница 16 страница 16
  • ГОСТ 24829-81, страница 17 страница 17
  • ГОСТ 24829-81, страница 18 страница 18
  • ГОСТ 24829-81, страница 19 страница 19
  • ГОСТ 24829-81, страница 20 страница 20
  • ГОСТ 24829-81, страница 21 страница 21
  • ГОСТ 24829-81, страница 22 страница 22
  • ГОСТ 24829-81, страница 23 страница 23
  • ГОСТ 24829-81, страница 24 страница 24
  • ГОСТ 24829-81, страница 25 страница 25
  • ГОСТ 24829-81, страница 26 страница 26
  • ГОСТ 24829-81, страница 27 страница 27
  • ГОСТ 24829-81, страница 28 страница 28
  • ГОСТ 24829-81, страница 29 страница 29
  • ГОСТ 24829-81, страница 30 страница 30
  • ГОСТ 24829-81, страница 31 страница 31
  • ГОСТ 24829-81, страница 32 страница 32
  • ГОСТ 24829-81, страница 33 страница 33
  • ГОСТ 24829-81, страница 34 страница 34
  • ГОСТ 24829-81, страница 35 страница 35
  • ГОСТ 24829-81, страница 36 страница 36
  • ГОСТ 24829-81, страница 37 страница 37
  • ГОСТ 24829-81, страница 38 страница 38
  • ГОСТ 24829-81, страница 39 страница 39
  • ГОСТ 24829-81, страница 40 страница 40
  • ГОСТ 24829-81, страница 41 страница 41
  • ГОСТ 24829-81, страница 42 страница 42
  • ГОСТ 24829-81, страница 43 страница 43
  • ГОСТ 24829-81, страница 44 страница 44
  • ГОСТ 24829-81, страница 45 страница 45
  • ГОСТ 24829-81, страница 46 страница 46