ГОСТ 24514-80 Пакеты быстросменные с коническим разъемом пресс-форм для изготовления резиновых колец круглого сечения. Конструкция и размеры

Категории ГОСТ 24514-80 по ОКС:
Статус документа:
действует, введён в действие 01.01.1983
Название на английском языке:
Packets quick-changing with conical break of press-moulds for manufacturing of rubber O-rings section. Construction and dimensions
Дата актуализации информации по стандарту:
14.09.2019, в 13:27 (более года назад)
Вид стандарта:
Стандарты на продукцию (услуги)
Дата начала действия ГОСТа:
1983-01-01
Дата последнего издания документа:
1982-01-01
Коды документа ГОСТ 24514-80:
Код ОКП:
396381
Код КГС:
Г21
Код ОКСТУ:
3963;3626
Число страниц:
73
Назначение ГОСТ 24514-80:
Настоящий стандарт распространяется на быстросменные пакеты с коническим разъемом (угол разъема 90 град.) компрессионных универсальных пресс-форм для изготовления из резиновых смесей с процентом усадки до 4,3 резиновых уплотнительных колец круглого сечения с внутренним диаметром сечения от 1,4 до 5,8 мм
ГРНТИ индекс(ы):
552931;552433
Этот ГОСТ входит в сборник:
Пресс-формы съемные для изготовления резиновых колец круглого сечения. Конструкция и размеры
Ключевые слова документа:
изготовление колец, кольца круглого сечения, кольца резиновые, кольца уплотнительные, конструкция, пакеты быстросменные, пакеты с коническим разъемом, пресс-формы, размеры

Скачать ГОСТ 24514-80 вы можете в следующих версиях:

Тип файла:
Дата добавления:
Загрузок:
Размер:
Тип файла:
PDF с изображениями
Добавлен:
12/12/2011 02:01
Скачиваний:
96
Размер файла:
1.67 Мб
Тип файла:
PDF с изображениями
Добавлен:
12/12/2011 01:57
Скачиваний:
151
Размер файла:
1.98 Мб

Поправки и изменения к ГОСТ 24514-80:

  • Наименование, вид:
    Дата
    регистрации:
    начала действия:
  • Изменение №1 к ГОСТ 24514-80

    Тип изменения: Текстовое изменение
    Номер изменения: 1
    Регистрационный номер: 2253
    Новое значение: -

    1988-06-24
    1989-01-01
  • ГОСТ 24514-80, страница 1 страница 1
  • ГОСТ 24514-80, страница 2 страница 2
  • ГОСТ 24514-80, страница 3 страница 3
  • ГОСТ 24514-80, страница 4 страница 4
  • ГОСТ 24514-80, страница 5 страница 5
  • ГОСТ 24514-80, страница 6 страница 6
  • ГОСТ 24514-80, страница 7 страница 7
  • ГОСТ 24514-80, страница 8 страница 8
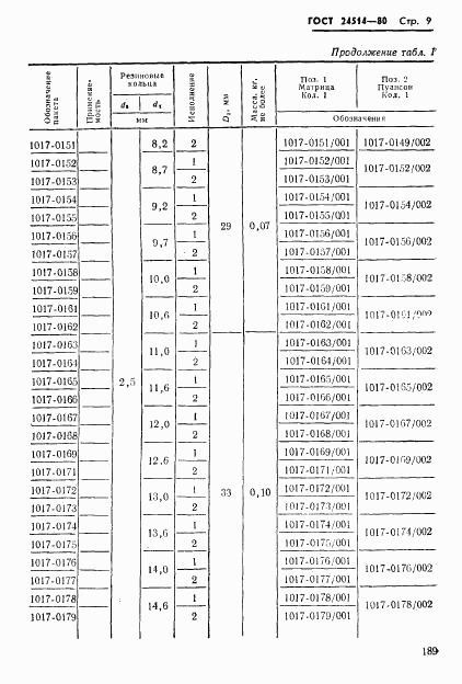
  • ГОСТ 24514-80, страница 9 страница 9
  • ГОСТ 24514-80, страница 10 страница 10
  • ГОСТ 24514-80, страница 11 страница 11
  • ГОСТ 24514-80, страница 12 страница 12
  • ГОСТ 24514-80, страница 13 страница 13
  • ГОСТ 24514-80, страница 14 страница 14
  • ГОСТ 24514-80, страница 15 страница 15
  • ГОСТ 24514-80, страница 16 страница 16
  • ГОСТ 24514-80, страница 17 страница 17
  • ГОСТ 24514-80, страница 18 страница 18
  • ГОСТ 24514-80, страница 19 страница 19
  • ГОСТ 24514-80, страница 20 страница 20
  • ГОСТ 24514-80, страница 21 страница 21
  • ГОСТ 24514-80, страница 22 страница 22
  • ГОСТ 24514-80, страница 23 страница 23
  • ГОСТ 24514-80, страница 24 страница 24
  • ГОСТ 24514-80, страница 25 страница 25
  • ГОСТ 24514-80, страница 26 страница 26
  • ГОСТ 24514-80, страница 27 страница 27
  • ГОСТ 24514-80, страница 28 страница 28
  • ГОСТ 24514-80, страница 29 страница 29
  • ГОСТ 24514-80, страница 30 страница 30
  • ГОСТ 24514-80, страница 31 страница 31
  • ГОСТ 24514-80, страница 32 страница 32
  • ГОСТ 24514-80, страница 33 страница 33
  • ГОСТ 24514-80, страница 34 страница 34
  • ГОСТ 24514-80, страница 35 страница 35
  • ГОСТ 24514-80, страница 36 страница 36
  • ГОСТ 24514-80, страница 37 страница 37
  • ГОСТ 24514-80, страница 38 страница 38
  • ГОСТ 24514-80, страница 39 страница 39
  • ГОСТ 24514-80, страница 40 страница 40
  • ГОСТ 24514-80, страница 41 страница 41
  • ГОСТ 24514-80, страница 42 страница 42
  • ГОСТ 24514-80, страница 43 страница 43
  • ГОСТ 24514-80, страница 44 страница 44
  • ГОСТ 24514-80, страница 45 страница 45
  • ГОСТ 24514-80, страница 46 страница 46
  • ГОСТ 24514-80, страница 47 страница 47
  • ГОСТ 24514-80, страница 48 страница 48
  • ГОСТ 24514-80, страница 49 страница 49
  • ГОСТ 24514-80, страница 50 страница 50
  • ГОСТ 24514-80, страница 51 страница 51
  • ГОСТ 24514-80, страница 52 страница 52
  • ГОСТ 24514-80, страница 53 страница 53
  • ГОСТ 24514-80, страница 54 страница 54
  • ГОСТ 24514-80, страница 55 страница 55
  • ГОСТ 24514-80, страница 56 страница 56
  • ГОСТ 24514-80, страница 57 страница 57
  • ГОСТ 24514-80, страница 58 страница 58
  • ГОСТ 24514-80, страница 59 страница 59
  • ГОСТ 24514-80, страница 60 страница 60
  • ГОСТ 24514-80, страница 61 страница 61
  • ГОСТ 24514-80, страница 62 страница 62
  • ГОСТ 24514-80, страница 63 страница 63
  • ГОСТ 24514-80, страница 64 страница 64
  • ГОСТ 24514-80, страница 65 страница 65
  • ГОСТ 24514-80, страница 66 страница 66
  • ГОСТ 24514-80, страница 67 страница 67
  • ГОСТ 24514-80, страница 68 страница 68
  • ГОСТ 24514-80, страница 69 страница 69
  • ГОСТ 24514-80, страница 70 страница 70
  • ГОСТ 24514-80, страница 71 страница 71
  • ГОСТ 24514-80, страница 72 страница 72
  • ГОСТ 24514-80, страница 73 страница 73