ГОСТ 20767-75
ГОСТ 20767-75 Ящики из древесины и древесных материалов. Термины и определения
Категории ГОСТ 20767-75 по ОКС:- Статус документа:
- действует, введён в действие 01.01.1976
- Название на английском языке:
- Wooden and wooden material boxes. Terms and definitions
- Дата актуализации информации по стандарту:
- 12.09.2019, в 19:25 (более года назад)
- Вид стандарта:
- Основополагающие стандарты
- Дата начала действия ГОСТа:
- 1976-01-01
- Дата последнего издания документа:
- 2008-07-01
Коды документа ГОСТ 20767-75:
- Код ОКП:
- 537100
- Код КГС:
- Д00
- Код ОКСТУ:
- 5301
- Число страниц:
- 8
- Назначение ГОСТ 20767-75:
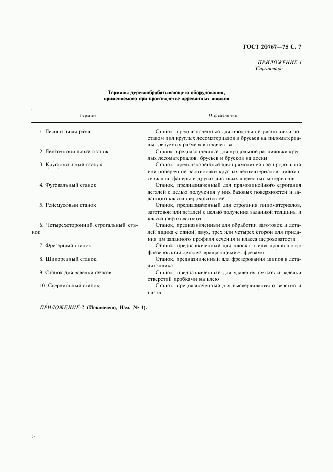
- Настоящий стандарт устанавливает применяемые в науке, технике и производстве термины и определения основных понятий в области производства ящиков из древесины и древесных материалов, включая сырье и продукцию, виды ящиков, их части и детали, технологию производства и оборудование. Термины, установленные настоящим стандартом, обязательны для применения в документации всех видов, учебниках, учебных пособиях, технической и справочной литературе
- ГРНТИ индекс(ы):
- 664129;680133
- Этот ГОСТ входит в сборник:
- Тара деревянная, картонная и комбинированная. Часть 3
Нормативные ссылки, связанные с ГОСТ 20767-75:
- Стандарт ссылается на ГОСТы:
- ГОСТ 16504-81, ГОСТ 17462-84, ГОСТ 17743-86, ГОСТ 18288-87, ГОСТ 27935-88, ГОСТ 17527-2003
- На стандарт ссылаются:
- ГОСТ 17527-2003
Скачать ГОСТ 20767-75 вы можете в следующих версиях:
Тип файла:
Дата добавления:
Загрузок:
Размер:
Ссылка на скачивание:
Добавлен:
12/12/2011 01:57
Скачиваний:
210
Размер файла:
0.24 Мб
Ссылка для скачивания:
Добавлен:
12/12/2011 02:00
Скачиваний:
217
Размер файла:
0.39 Мб
Ссылка для скачивания:
Поправки и изменения к ГОСТ 20767-75:
-
Наименование, вид:Датарегистрации:начала действия:Ссылка:
-
Изменение №1 к ГОСТ 20767-75
Тип изменения: Текстовое изменение; Изменено заглавие
Номер изменения: 1
Регистрационный номер: 3546
Новое значение: Cм. зaглaвиe
1986-11-251988-01-01
-
страница 1
-
страница 2
-
страница 3
-
страница 4
-
страница 5
-
страница 6
-
страница 7
-
страница 8