ГОСТ 19995-74 Копиры пальцевые пресс-форм для выплавляемых моделей. Конструкция и размеры

Категории ГОСТ 19995-74 по ОКС:
Статус документа:
действует, введён в действие 01.01.1976
Название на английском языке:
Pin cams for wax-pattern dies. Design and dimensions
Дата актуализации информации по стандарту:
12.09.2019, в 19:12 (более года назад)
Вид стандарта:
Стандарты на продукцию (услуги)
Дата начала действия ГОСТа:
1976-01-01
Дата последнего издания документа:
1982-04-01
Коды документа ГОСТ 19995-74:
Код ОКП:
396190
Код КГС:
Г21
Код ОКСТУ:
3963
Число страниц:
11
Назначение ГОСТ 19995-74:
Настоящий стандарт распространяется на пальцевые копиры, применяемые в дисковых и реечных приспособлениях для удаления стержней в пресс-формах для выплавляемых моделей
ГРНТИ индекс(ы):
5515;552929
Этот ГОСТ входит в сборник:
Пресс-формы для выплавляемых моделей

Скачать ГОСТ 19995-74 вы можете в следующих версиях:

Тип файла:
Дата добавления:
Загрузок:
Размер:
Тип файла:
PDF с изображениями
Добавлен:
12/12/2011 02:00
Скачиваний:
126
Размер файла:
0.38 Мб
Тип файла:
PDF с изображениями
Добавлен:
12/12/2011 01:57
Скачиваний:
149
Размер файла:
0.28 Мб

Поправки и изменения к ГОСТ 19995-74:

  • Наименование, вид:
    Дата
    регистрации:
    начала действия:
  • Изменение №1 к ГОСТ 19995-74

    Тип изменения: Текстовое изменение
    Номер изменения: 1
    Регистрационный номер: 1794
    Новое значение: -

    1982-05-04
    1982-10-01
  • ГОСТ 19995-74, страница 1 страница 1
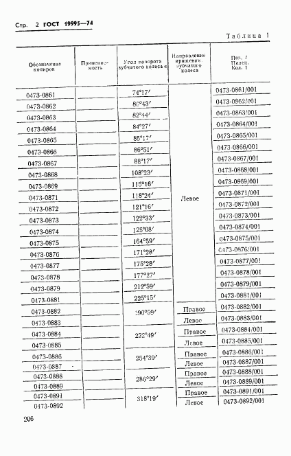
  • ГОСТ 19995-74, страница 2 страница 2
  • ГОСТ 19995-74, страница 3 страница 3
  • ГОСТ 19995-74, страница 4 страница 4
  • ГОСТ 19995-74, страница 5 страница 5
  • ГОСТ 19995-74, страница 6 страница 6
  • ГОСТ 19995-74, страница 7 страница 7
  • ГОСТ 19995-74, страница 8 страница 8
  • ГОСТ 19995-74, страница 9 страница 9
  • ГОСТ 19995-74, страница 10 страница 10
  • ГОСТ 19995-74, страница 11 страница 11