ГОСТ 15862-81 Плиты-заготовки круглые пакетов штампов листовой штамповки для разделительных операций. Конструкция и размеры

Категории ГОСТ 15862-81 по ОКС:
Статус документа:
действует, введён в действие 01.01.1982
Название на английском языке:
Plate blanks round of die sets for sheet stamping dies for dividing operations. Construction and dimensions
Дата актуализации информации по стандарту:
06.08.2025, в 15:36 (менее полугода назад)
Вид стандарта:
Стандарты на продукцию (услуги)
Дата начала действия ГОСТа:
1982-01-01
Дата последнего издания документа:
1981-08-24
Коды документа ГОСТ 15862-81:
Код ОКП:
396330
Код КГС:
Г22
Код ОКСТУ:
3963
Число страниц:
19
Назначение ГОСТ 15862-81:
Настоящий стандарт устанавливает конструкцию и размеры круглых плит-заготовок пакетов штампов листовой штамповки для разделительных операций
ГРНТИ индекс(ы):
553131;551619
Этот ГОСТ входит в сборник:
Штампы листовой штамповки. Плиты пакетов штампов для разделительных операций. Втулки направляющие. Конструкция и размеры

Скачать ГОСТ 15862-81 вы можете в следующих версиях:

Тип файла:
Дата добавления:
Загрузок:
Размер:
Тип файла:
PDF с изображениями
Добавлен:
12/12/2011 01:59
Скачиваний:
158
Размер файла:
0.72 Мб
Тип файла:
PDF с изображениями
Добавлен:
12/12/2011 01:57
Скачиваний:
190
Размер файла:
0.65 Мб

Поправки и изменения к ГОСТ 15862-81:

  • Наименование, вид:
    Дата
    регистрации:
    начала действия:
  • Изменение №1 к ГОСТ 15862-81

    Тип изменения: Текстовое изменение
    Номер изменения: 1
    Регистрационный номер: 1471
    Новое значение: -

    1983-03-29
    1983-08-01
  • Изменение №2 к ГОСТ 15862-81

    Тип изменения: Текстовое изменение
    Номер изменения: 2
    Регистрационный номер: 2635

    1986-09-09
    1987-03-01
  • ГОСТ 15862-81, страница 1 страница 1
  • ГОСТ 15862-81, страница 2 страница 2
  • ГОСТ 15862-81, страница 3 страница 3
  • ГОСТ 15862-81, страница 4 страница 4
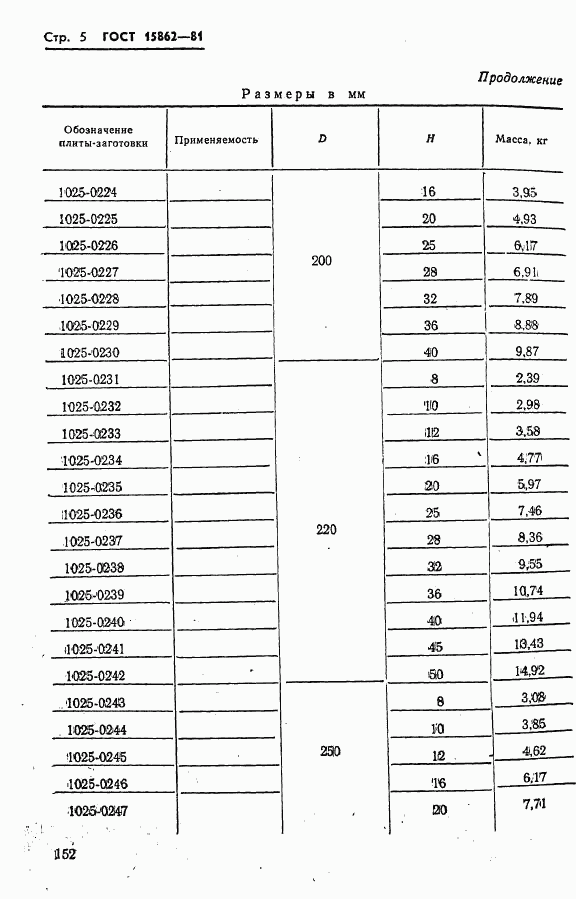
  • ГОСТ 15862-81, страница 5 страница 5
  • ГОСТ 15862-81, страница 6 страница 6
  • ГОСТ 15862-81, страница 7 страница 7
  • ГОСТ 15862-81, страница 8 страница 8
  • ГОСТ 15862-81, страница 9 страница 9
  • ГОСТ 15862-81, страница 10 страница 10
  • ГОСТ 15862-81, страница 11 страница 11
  • ГОСТ 15862-81, страница 12 страница 12
  • ГОСТ 15862-81, страница 13 страница 13
  • ГОСТ 15862-81, страница 14 страница 14
  • ГОСТ 15862-81, страница 15 страница 15
  • ГОСТ 15862-81, страница 16 страница 16
  • ГОСТ 15862-81, страница 17 страница 17
  • ГОСТ 15862-81, страница 18 страница 18
  • ГОСТ 15862-81, страница 19 страница 19