ГОСТ ISO 15609-4-2017 Технические требования и аттестация процедур сварки металлических материалов. Технические требования к процедуре сварки. Часть 4. Лазерная сварка

Категории ГОСТ ISO 15609-4-2017 по ОКС:
Статус документа:
действует, введён в действие 01.03.2019
Название на английском языке:
Specification and qualification of welding procedures for metallic materials. Welding procedure specification. Part 4. Laser beam welding
Дата актуализации информации по стандарту:
30.10.2025, в 21:49 (менее 3 месяцев назад)
Вид стандарта:
Стандарты на процессы
Дата начала действия ГОСТа:
2019-03-01
Дата последнего издания документа:
2018-09-17
Число страниц:
20
Назначение ГОСТ ISO 15609-4-2017:
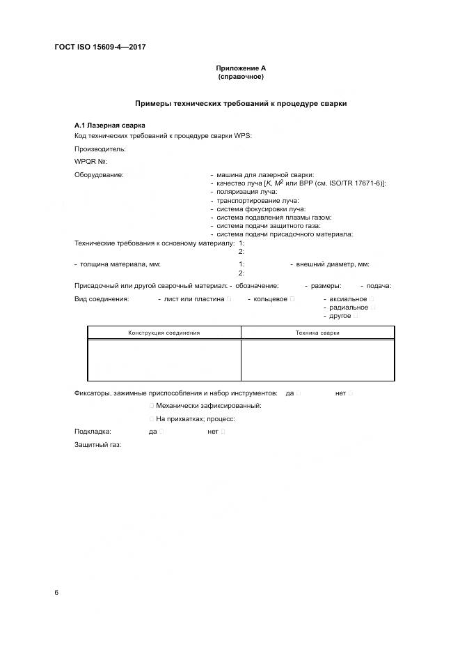
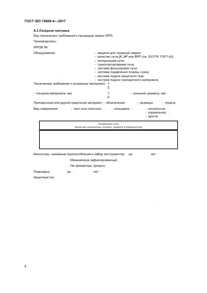
Настоящий стандарт устанавливает технические требования к процедуре лазерной сварки, включая наплавку. Настоящий стандарт не распространяется на другие процессы покрытия. Настоящий стандарт является частью серии стандартов, подробности о которой даны в EN ISO 15607:2003, приложение А. Параметры, перечисленные в настоящем стандарте, влияют на качество и свойства сварного соединения. Указанные величины влияют на металлургические и механические свойства, геометрию конструктивного элемента и другие важные эксплуатационные свойства
Документ разработан орг-ей:
Федеральное агентство по техническому регулированию и метрологии (Росстандарт)
Документ принят орг-ей:
Межгосударственный Совет по стандартизации метрологии и сертификации, протокол №52-2017
Ключевые слова документа:
аттестация процедур сварки, лазерная сварка, сварка металлов, технические требования

Скачать ГОСТ ISO 15609-4-2017 вы можете в следующих версиях:

Тип файла:
Дата добавления:
Загрузок:
Размер:
Тип файла:
PDF с изображениями
Добавлен:
20/11/2025 14:17
Скачиваний:
2
Размер файла:
1.02 Мб
  • ГОСТ ISO 15609-4-2017, страница 1 страница 1
  • ГОСТ ISO 15609-4-2017, страница 2 страница 2
  • ГОСТ ISO 15609-4-2017, страница 3 страница 3
  • ГОСТ ISO 15609-4-2017, страница 4 страница 4
  • ГОСТ ISO 15609-4-2017, страница 5 страница 5
  • ГОСТ ISO 15609-4-2017, страница 6 страница 6
  • ГОСТ ISO 15609-4-2017, страница 7 страница 7
  • ГОСТ ISO 15609-4-2017, страница 8 страница 8
  • ГОСТ ISO 15609-4-2017, страница 9 страница 9
  • ГОСТ ISO 15609-4-2017, страница 10 страница 10
  • ГОСТ ISO 15609-4-2017, страница 11 страница 11
  • ГОСТ ISO 15609-4-2017, страница 12 страница 12
  • ГОСТ ISO 15609-4-2017, страница 13 страница 13
  • ГОСТ ISO 15609-4-2017, страница 14 страница 14
  • ГОСТ ISO 15609-4-2017, страница 15 страница 15
  • ГОСТ ISO 15609-4-2017, страница 16 страница 16
  • ГОСТ ISO 15609-4-2017, страница 17 страница 17
  • ГОСТ ISO 15609-4-2017, страница 18 страница 18
  • ГОСТ ISO 15609-4-2017, страница 19 страница 19
  • ГОСТ ISO 15609-4-2017, страница 20 страница 20