ГОСТ Р ИСО 15531-32-2010 Системы промышленной автоматизации и интеграция. Управляющая информация промышленным производством. Управление использованием ресурсов. Часть 32. Концептуальная модель данных для управления использованием ресурсов

Категории ГОСТ Р ИСО 15531-32-2010 по ОКС:
Статус документа:
действует, введён в действие 01.09.2011
Название на английском языке:
Industrial automation systems and integration. Industrial manufacturing management data. Resources usage management. Part 32. Conceptual model for resources usage management data
Дата актуализации информации по стандарту:
18.02.2014, в 22:13 (более года назад)
Вид стандарта:
Основополагающие стандарты
Дата начала действия ГОСТа:
2011-09-01
Дата последнего издания документа:
2012-01-25
Коды документа ГОСТ Р ИСО 15531-32-2010:
Код КГС:
Т58
Число страниц:
32
Назначение ГОСТ Р ИСО 15531-32-2010:
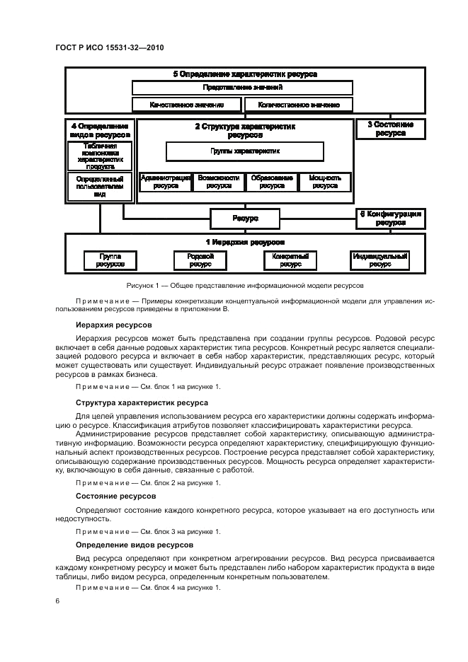
Настоящий стандарт распространяется на полное описание концептуальной модели данных для управления использованием ресурсов, основанное на информационной модели ресурсов и основных принципах, представленных в ИСО 15531-31. Настоящий стандарт устанавливает: - описание концептуальной информационной модели ресурсов и связанных с ней определений данных для управления использованием ресурсов; - описание на языке EXPRESS модели и связанных с ней сущностей; - схему EXPRESS-G модели
Ключевые слова документа:
автоматизированные промышленные системы, жизненный цикл систем, интеграция, управление производством
Нормативные ссылки, связанные с ГОСТ Р ИСО 15531-32-2010:

Скачать ГОСТ Р ИСО 15531-32-2010 вы можете в следующих версиях:

В данный момент версий документа для скачивания не добавлено.

Мы стараемся пополнять базу документов еженедельно и из разных источников, в обозримом будущем версии для этого ГОСТа появятся.

Вы можете просмотреть online текст стандарта ГОСТ Р ИСО 15531-32-2010

Просмотреть текст ГОСТ Р ИСО 15531-32-2010

Текст стандарта

  • ГОСТ Р ИСО 15531-32-2010, страница 1 страница 1
  • ГОСТ Р ИСО 15531-32-2010, страница 2 страница 2
  • ГОСТ Р ИСО 15531-32-2010, страница 3 страница 3
  • ГОСТ Р ИСО 15531-32-2010, страница 4 страница 4
  • ГОСТ Р ИСО 15531-32-2010, страница 5 страница 5
  • ГОСТ Р ИСО 15531-32-2010, страница 6 страница 6
  • ГОСТ Р ИСО 15531-32-2010, страница 7 страница 7
  • ГОСТ Р ИСО 15531-32-2010, страница 8 страница 8
  • ГОСТ Р ИСО 15531-32-2010, страница 9 страница 9
  • ГОСТ Р ИСО 15531-32-2010, страница 10 страница 10
  • ГОСТ Р ИСО 15531-32-2010, страница 11 страница 11
  • ГОСТ Р ИСО 15531-32-2010, страница 12 страница 12
  • ГОСТ Р ИСО 15531-32-2010, страница 13 страница 13
  • ГОСТ Р ИСО 15531-32-2010, страница 14 страница 14
  • ГОСТ Р ИСО 15531-32-2010, страница 15 страница 15
  • ГОСТ Р ИСО 15531-32-2010, страница 16 страница 16
  • ГОСТ Р ИСО 15531-32-2010, страница 17 страница 17
  • ГОСТ Р ИСО 15531-32-2010, страница 18 страница 18
  • ГОСТ Р ИСО 15531-32-2010, страница 19 страница 19
  • ГОСТ Р ИСО 15531-32-2010, страница 20 страница 20
  • ГОСТ Р ИСО 15531-32-2010, страница 21 страница 21
  • ГОСТ Р ИСО 15531-32-2010, страница 22 страница 22
  • ГОСТ Р ИСО 15531-32-2010, страница 23 страница 23
  • ГОСТ Р ИСО 15531-32-2010, страница 24 страница 24
  • ГОСТ Р ИСО 15531-32-2010, страница 25 страница 25
  • ГОСТ Р ИСО 15531-32-2010, страница 26 страница 26
  • ГОСТ Р ИСО 15531-32-2010, страница 27 страница 27
  • ГОСТ Р ИСО 15531-32-2010, страница 28 страница 28
  • ГОСТ Р ИСО 15531-32-2010, страница 29 страница 29
  • ГОСТ Р ИСО 15531-32-2010, страница 30 страница 30
  • ГОСТ Р ИСО 15531-32-2010, страница 31 страница 31
  • ГОСТ Р ИСО 15531-32-2010, страница 32 страница 32