ГОСТ 1535-2016 Прутки медные. Технические условия

Категории ГОСТ 1535-2016 по ОКС:
Статус документа:
действует, введён в действие 01.04.2017
Название на английском языке:
Copper rods. Specifications
Дата актуализации информации по стандарту:
26.10.2025, в 23:18 (менее 3 месяцев назад)
Вид стандарта:
Стандарты на продукцию (услуги)
Дата начала действия ГОСТа:
2017-04-01
Дата последнего издания документа:
2016-09-14
Число страниц:
22
Назначение ГОСТ 1535-2016:
Настоящий стандарт распространяется на тянутые медные прутки круглого, квадратного, шестигранного сечений, прессованные и экструдированные прутки круглого сечения, применяемые в различных отраслях промышленности
Документ разработан орг-ей:
Федеральное агентство по техническому регулированию и метрологии (Росстандарт)
Документ принят орг-ей:
Межгосударственный Совет по стандартизации метрологии и сертификации, протокол №85-П
Ключевые слова документа:
кривизна, марки, медные прутки, механические свойства, номинальный диаметр, радиус углов, скручивание, химический состав
Ссылки на прочие:
СТ СЭВ 543–77

Скачать ГОСТ 1535-2016 вы можете в следующих версиях:

Тип файла:
Дата добавления:
Загрузок:
Размер:
Тип файла:
PDF с изображениями
Добавлен:
20/11/2025 15:27
Скачиваний:
3
Размер файла:
5.38 Мб

Поправки и изменения к ГОСТ 1535-2016:

  • Наименование, вид:
    Дата
    регистрации:
    начала действия:
  • Поправка к ГОСТ 1535-2016

    Тип изменения: Поправка
    Номер изменения:
    Регистрационный номер: -

    2022-11-24
    2022-11-24
  • ГОСТ 1535-2016, страница 1 страница 1
  • ГОСТ 1535-2016, страница 2 страница 2
  • ГОСТ 1535-2016, страница 3 страница 3
  • ГОСТ 1535-2016, страница 4 страница 4
  • ГОСТ 1535-2016, страница 5 страница 5
  • ГОСТ 1535-2016, страница 6 страница 6
  • ГОСТ 1535-2016, страница 7 страница 7
  • ГОСТ 1535-2016, страница 8 страница 8
  • ГОСТ 1535-2016, страница 9 страница 9
  • ГОСТ 1535-2016, страница 10 страница 10
  • ГОСТ 1535-2016, страница 11 страница 11
  • ГОСТ 1535-2016, страница 12 страница 12
  • ГОСТ 1535-2016, страница 13 страница 13
  • ГОСТ 1535-2016, страница 14 страница 14
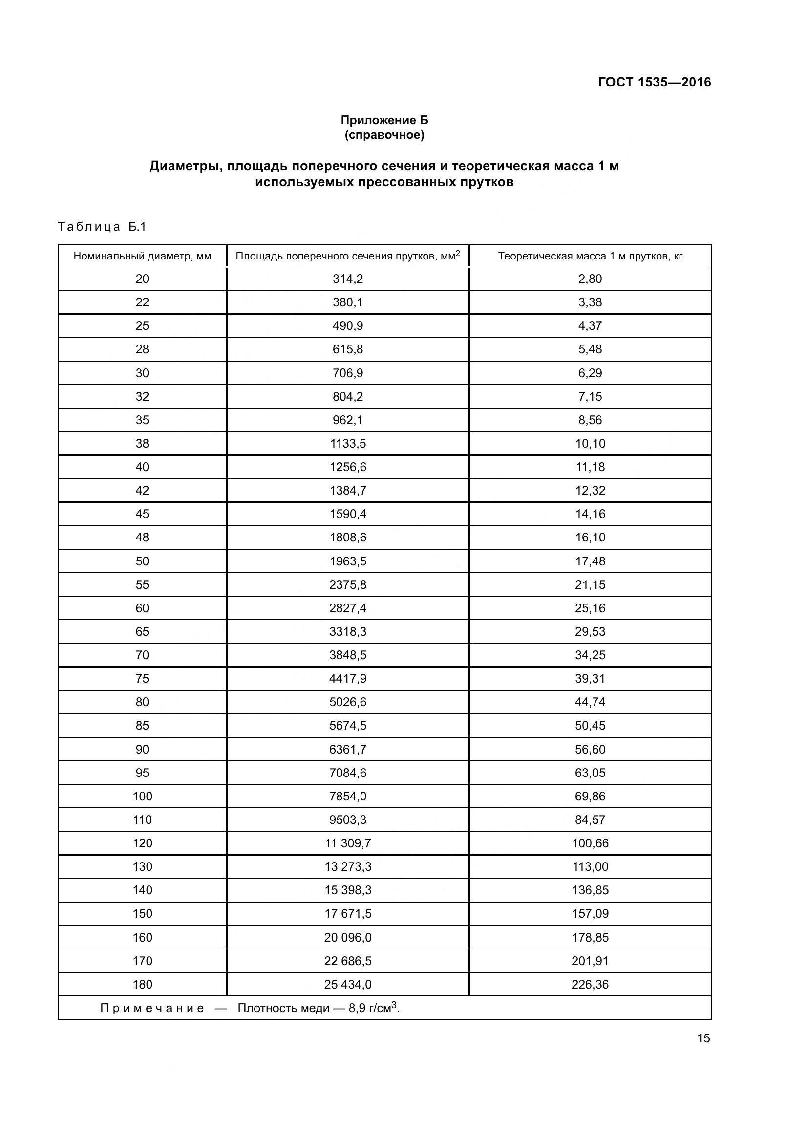
  • ГОСТ 1535-2016, страница 15 страница 15
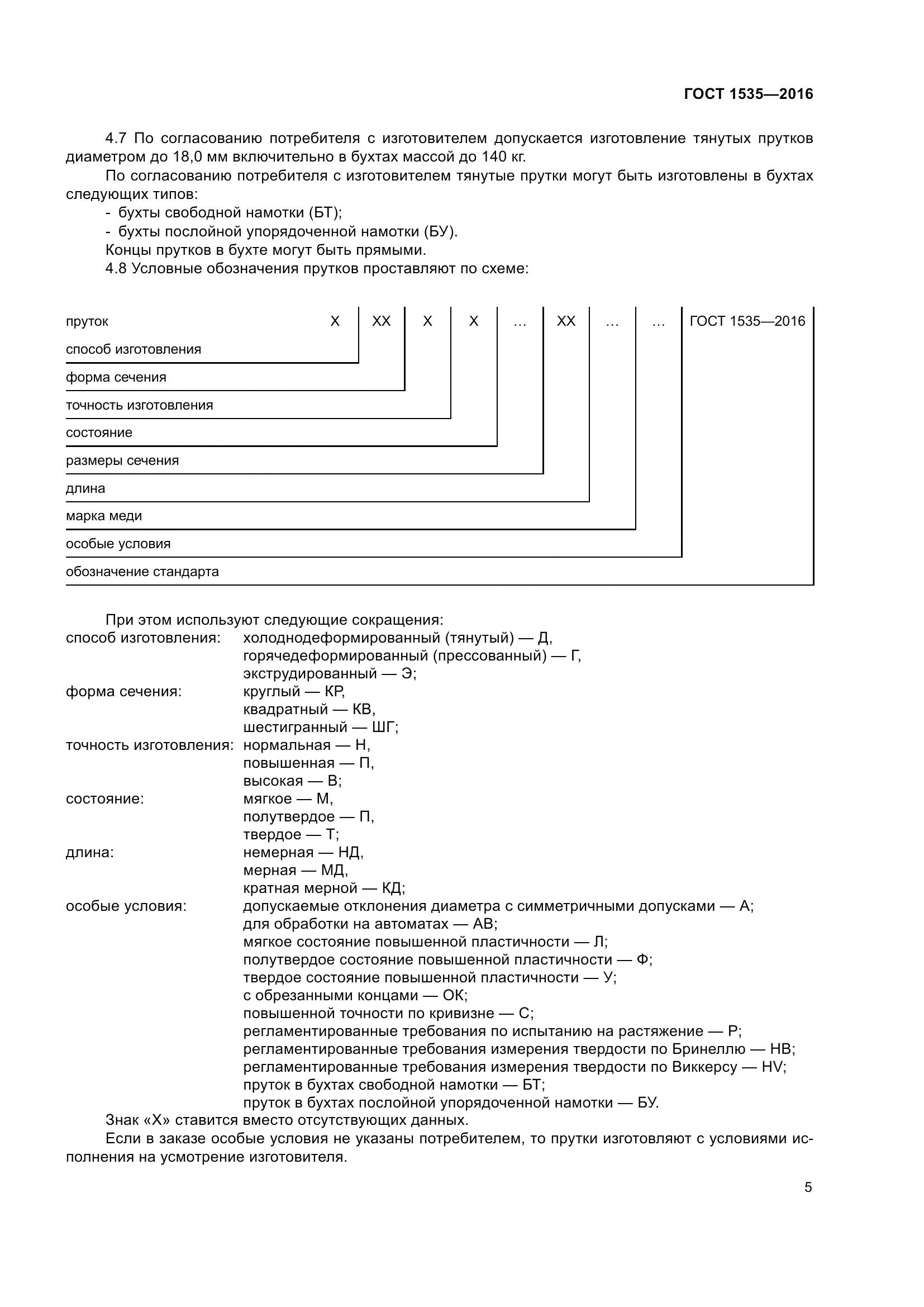
  • ГОСТ 1535-2016, страница 16 страница 16
  • ГОСТ 1535-2016, страница 17 страница 17
  • ГОСТ 1535-2016, страница 18 страница 18
  • ГОСТ 1535-2016, страница 19 страница 19
  • ГОСТ 1535-2016, страница 20 страница 20
  • ГОСТ 1535-2016, страница 21 страница 21
  • ГОСТ 1535-2016, страница 22 страница 22