ГОСТ ISO 14903-2016 Системы холодильные и тепловые насосы. Оценка герметичности компонентов и соединений

Категории ГОСТ ISO 14903-2016 по ОКС:
Статус документа:
действует, введён в действие 01.01.2018
Название на английском языке:
Refrigerating systems and heat pumps. Qualification of tightness of components and joints
Дата актуализации информации по стандарту:
30.10.2025, в 09:45 (менее 3 месяцев назад)
Вид стандарта:
Стандарты на методы контроля
Дата начала действия ГОСТа:
2018-01-01
Дата последнего издания документа:
2017-06-26
Коды документа ГОСТ ISO 14903-2016:
Код ОКП:
364400;515110;515210;515600
Число страниц:
38
Назначение ГОСТ ISO 14903-2016:
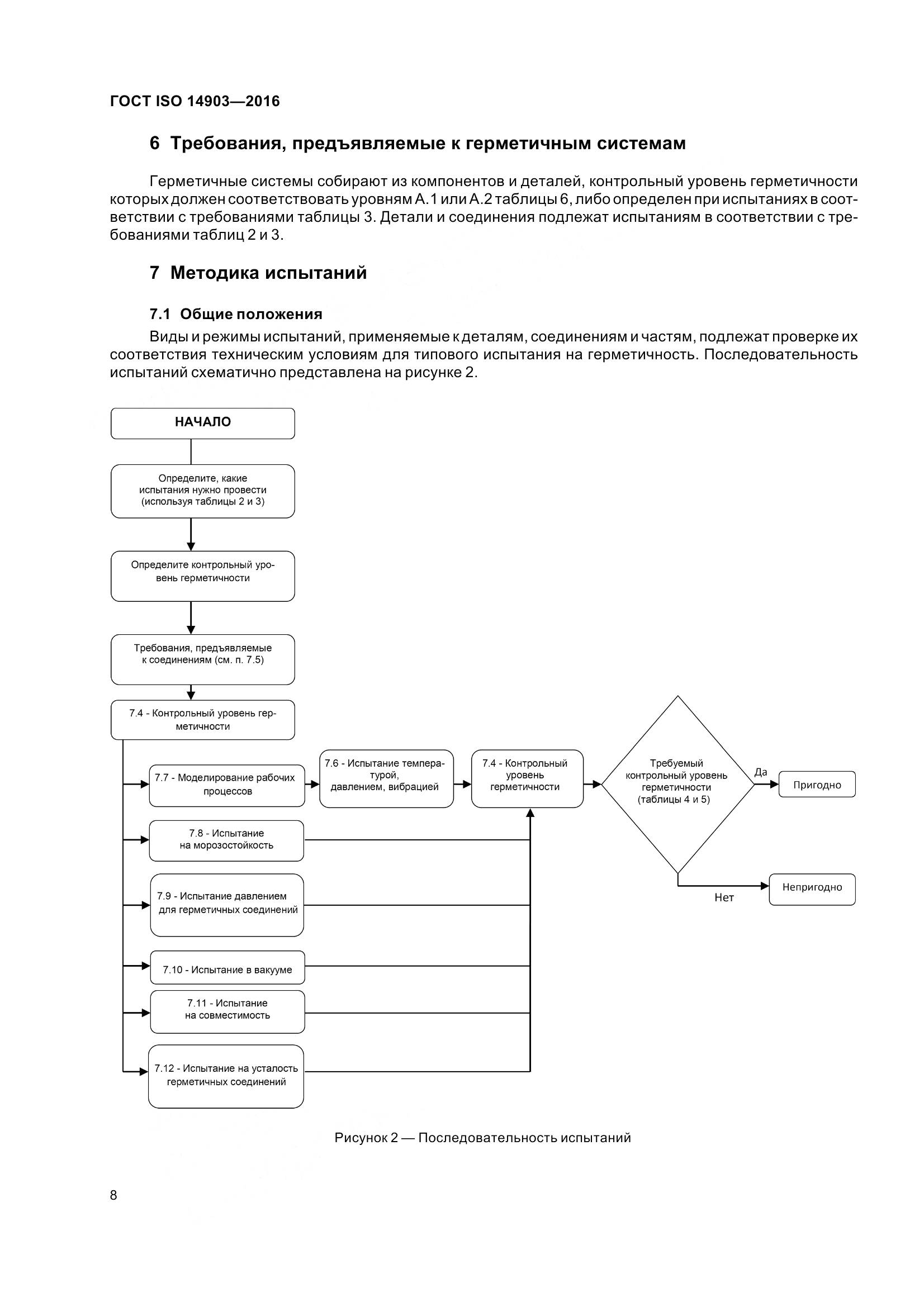
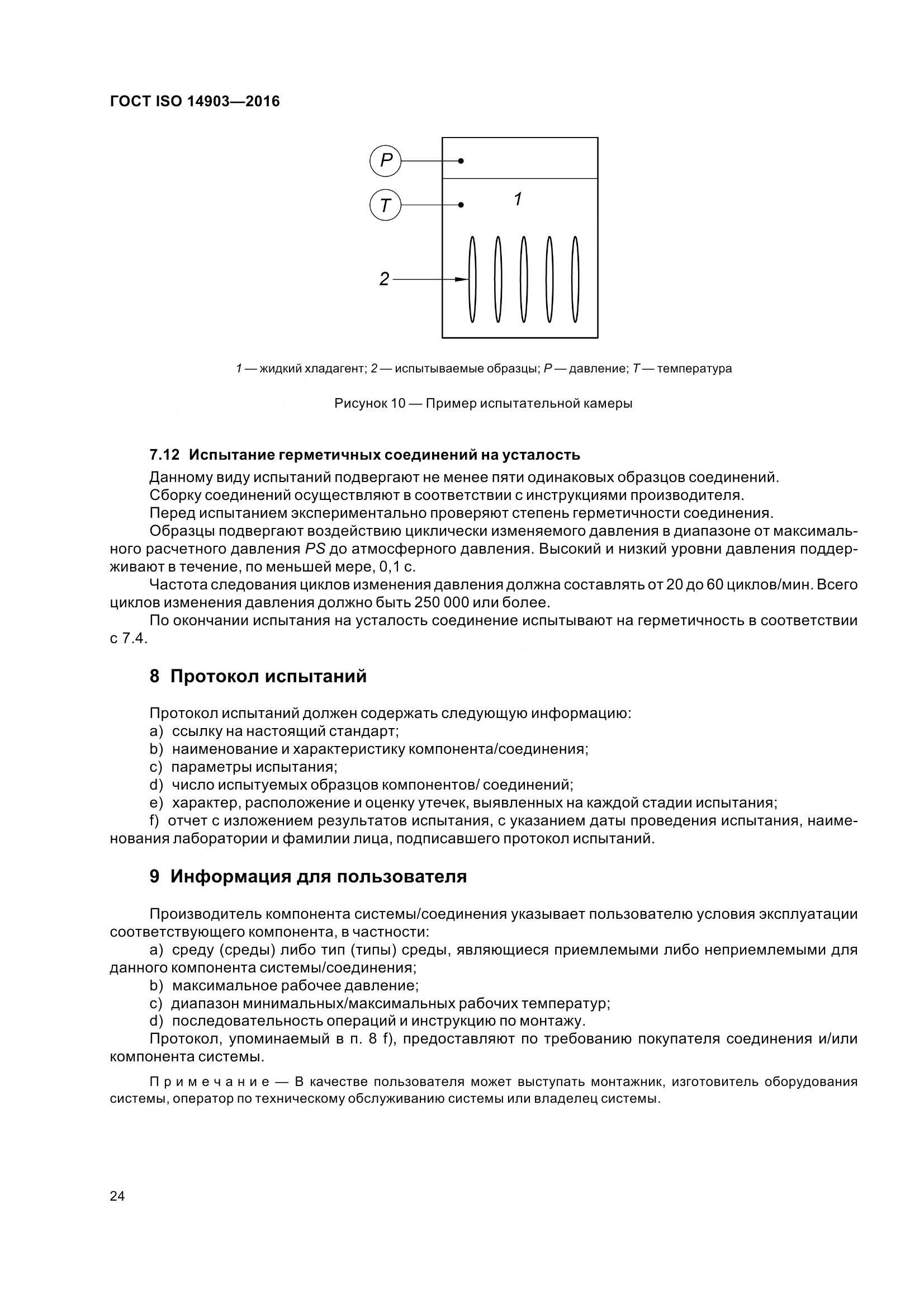
Стандарт распространяется на герметичные разъемные и неразъемные соединения, элементы и детали, используемые в холодильных установках, в том числе соединения с герметизирующим уплотнением, независимо от конструкции такого уплотнения и материала, из которого оно изготовлено
Документ принят орг-ей:
Межгосударственный Совет по стандартизации метрологии и сертификации, протокол №90-П
Ключевые слова документа:
испытания, контроль герметичности, насос тепловой, оборудование холодильное, элементы и соединения
Ссылки на прочие:
EN 13134;EN 12693

Скачать ГОСТ ISO 14903-2016 вы можете в следующих версиях:

Тип файла:
Дата добавления:
Загрузок:
Размер:
Тип файла:
PDF с изображениями
Добавлен:
20/11/2025 14:34
Скачиваний:
3
Размер файла:
10.19 Мб
  • ГОСТ ISO 14903-2016, страница 1 страница 1
  • ГОСТ ISO 14903-2016, страница 2 страница 2
  • ГОСТ ISO 14903-2016, страница 3 страница 3
  • ГОСТ ISO 14903-2016, страница 4 страница 4
  • ГОСТ ISO 14903-2016, страница 5 страница 5
  • ГОСТ ISO 14903-2016, страница 6 страница 6
  • ГОСТ ISO 14903-2016, страница 7 страница 7
  • ГОСТ ISO 14903-2016, страница 8 страница 8
  • ГОСТ ISO 14903-2016, страница 9 страница 9
  • ГОСТ ISO 14903-2016, страница 10 страница 10
  • ГОСТ ISO 14903-2016, страница 11 страница 11
  • ГОСТ ISO 14903-2016, страница 12 страница 12
  • ГОСТ ISO 14903-2016, страница 13 страница 13
  • ГОСТ ISO 14903-2016, страница 14 страница 14
  • ГОСТ ISO 14903-2016, страница 15 страница 15
  • ГОСТ ISO 14903-2016, страница 16 страница 16
  • ГОСТ ISO 14903-2016, страница 17 страница 17
  • ГОСТ ISO 14903-2016, страница 18 страница 18
  • ГОСТ ISO 14903-2016, страница 19 страница 19
  • ГОСТ ISO 14903-2016, страница 20 страница 20
  • ГОСТ ISO 14903-2016, страница 21 страница 21
  • ГОСТ ISO 14903-2016, страница 22 страница 22
  • ГОСТ ISO 14903-2016, страница 23 страница 23
  • ГОСТ ISO 14903-2016, страница 24 страница 24
  • ГОСТ ISO 14903-2016, страница 25 страница 25
  • ГОСТ ISO 14903-2016, страница 26 страница 26
  • ГОСТ ISO 14903-2016, страница 27 страница 27
  • ГОСТ ISO 14903-2016, страница 28 страница 28
  • ГОСТ ISO 14903-2016, страница 29 страница 29
  • ГОСТ ISO 14903-2016, страница 30 страница 30
  • ГОСТ ISO 14903-2016, страница 31 страница 31
  • ГОСТ ISO 14903-2016, страница 32 страница 32
  • ГОСТ ISO 14903-2016, страница 33 страница 33
  • ГОСТ ISO 14903-2016, страница 34 страница 34
  • ГОСТ ISO 14903-2016, страница 35 страница 35
  • ГОСТ ISO 14903-2016, страница 36 страница 36
  • ГОСТ ISO 14903-2016, страница 37 страница 37
  • ГОСТ ISO 14903-2016, страница 38 страница 38