ГОСТ 13827-85
ГОСТ 13827-85 Полотна нетканые. Первичная упаковка и маркировка
Категории ГОСТ 13827-85 по ОКС:- 59. Текстиль и кожа
- 59.80. Изделия текстильной промышленности
- 59.80.30 Текстильные изделия *включая нетканые полотна, войлок, кружева и т.д.
- Статус документа:
- действует, введён в действие 01.07.1986
- Название на английском языке:
- Nonwoven fabrics. Primary packing and marking
- Дата актуализации информации по стандарту:
- 05.08.2025, в 17:38 (менее полугода назад)
- Вид стандарта:
- Стандарты на продукцию (услуги)
- Дата начала действия ГОСТа:
- 1986-07-01
- Дата последнего издания документа:
- 1999-03-01
Коды документа ГОСТ 13827-85:
- Код ОКП:
- 839000
- Код КГС:
- М09
- Код ОКСТУ:
- 8390
- Число страниц:
- 8
- Назначение ГОСТ 13827-85:
- Настоящий стандарт распространяется на нетканые полотна, в том числе ватины, мерный и весовой лоскут из всех видов натуральных, химических волокон и их смесей и устанавливает порядок формирования рулонов или кусков, первичной упаковки и маркирования
- ГРНТИ индекс(ы):
- 642929
- Документ разработан орг-ей:
- Госкомлегпром при Госплане СССР
- Ключевые слова документа:
- ватины, весовой лоскут, мерный лоскут, полотна нетканые
Нормативные ссылки, связанные с ГОСТ 13827-85:
- Стандарт ссылается на ГОСТы:
- ГОСТ 11600-75, ГОСТ 8273-75, ГОСТ 10354-82, ГОСТ 7730-89, ГОСТ 16958-71
- На стандарт ссылаются:
- ГОСТ 28748-90, ГОСТ 19813-74, ГОСТ 17923-72, ГОСТ 19331-81, ГОСТ 18273-89, ГОСТ 14253-83, ГОСТ 28755-90, ГОСТ 25441-90, ГОСТ 23244-78, ГОСТ 19008-93
Скачать ГОСТ 13827-85 вы можете в следующих версиях:
Тип файла:
Дата добавления:
Загрузок:
Размер:
Ссылка на скачивание:
Добавлен:
12/12/2011 01:59
Скачиваний:
196
Размер файла:
0.42 Мб
Ссылка для скачивания:
Поправки и изменения к ГОСТ 13827-85:
-
Наименование, вид:Датарегистрации:начала действия:Ссылка:
-
Изменение №1 к ГОСТ 13827-85
Тип изменения: Текстовое изменение
Номер изменения: 1
Регистрационный номер: 1953
Новое значение: -
1987-06-101987-12-01 -
Изменение №2 к ГОСТ 13827-85
Тип изменения: Текстовое изменение
Номер изменения: 2
Регистрационный номер: 3572
Новое значение: -
1990-12-291991-06-01
-
страница 1
-
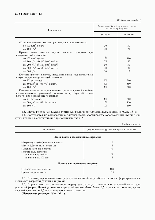
страница 2
-
страница 3
-
страница 4
-
страница 5
-
страница 6
-
страница 7
-
страница 8