ГОСТ Р ИСО 13053-2-2013 Статистические методы. Методология улучшения процессов «шесть сигм». Часть 2. Методы и приемы

Категории ГОСТ Р ИСО 13053-2-2013 по ОКС:
Статус документа:
принят, введён в действие 01.12.2014
Название на английском языке:
Statistical methods. Methodology of improvement of processes «Six сигм». Part 2. Tools and techniques
Дата актуализации информации по стандарту:
22.01.2026, в 19:57 (менее месяца назад)
Вид стандарта:
временно не известен
Дата начала действия ГОСТа:
2014-12-01
Число страниц:
не известно
Назначение ГОСТ Р ИСО 13053-2-2013:
В настоящем стандарте приведены методы и приемы, проиллюстрированные в соответствующих контрольных листках, которые должны быть использованы на каждом этапе выполнения методологии DMAIC. Методология DMAIC, установленная в ISO 13053-1, является общей для всех отраслей промышленности и экономики. Методы и приемы, установленные в настоящем стандарте, применимы к организациям любого размера, стремящимся к повышению своей конкурентоспособности
Документ разработан орг-ей:
Федеральное агентство по техническому регулированию и метрологии (Росстандарт)
Ключевые слова документа:
анализ проекта, бенчмаркинг, голос потребителя, карта процесса, контрольный лист, критичные для качества, мозговой штурм, паспорт процесса, принятие решений, статистические данные, улучшение процесса, характеристики

Скачать ГОСТ Р ИСО 13053-2-2013 вы можете в следующих версиях:

Тип файла:
Дата добавления:
Загрузок:
Размер:
Тип файла:
PDF с изображениями
Добавлен:
23/01/2016 17:48
Скачиваний:
29
Размер файла:
2.06 Мб
  • ГОСТ Р ИСО 13053-2-2013, страница 1 страница 1
  • ГОСТ Р ИСО 13053-2-2013, страница 2 страница 2
  • ГОСТ Р ИСО 13053-2-2013, страница 3 страница 3
  • ГОСТ Р ИСО 13053-2-2013, страница 4 страница 4
  • ГОСТ Р ИСО 13053-2-2013, страница 5 страница 5
  • ГОСТ Р ИСО 13053-2-2013, страница 6 страница 6
  • ГОСТ Р ИСО 13053-2-2013, страница 7 страница 7
  • ГОСТ Р ИСО 13053-2-2013, страница 8 страница 8
  • ГОСТ Р ИСО 13053-2-2013, страница 9 страница 9
  • ГОСТ Р ИСО 13053-2-2013, страница 10 страница 10
  • ГОСТ Р ИСО 13053-2-2013, страница 11 страница 11
  • ГОСТ Р ИСО 13053-2-2013, страница 12 страница 12
  • ГОСТ Р ИСО 13053-2-2013, страница 13 страница 13
  • ГОСТ Р ИСО 13053-2-2013, страница 14 страница 14
  • ГОСТ Р ИСО 13053-2-2013, страница 15 страница 15
  • ГОСТ Р ИСО 13053-2-2013, страница 16 страница 16
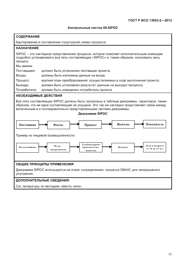
  • ГОСТ Р ИСО 13053-2-2013, страница 17 страница 17
  • ГОСТ Р ИСО 13053-2-2013, страница 18 страница 18
  • ГОСТ Р ИСО 13053-2-2013, страница 19 страница 19
  • ГОСТ Р ИСО 13053-2-2013, страница 20 страница 20
  • ГОСТ Р ИСО 13053-2-2013, страница 21 страница 21
  • ГОСТ Р ИСО 13053-2-2013, страница 22 страница 22
  • ГОСТ Р ИСО 13053-2-2013, страница 23 страница 23
  • ГОСТ Р ИСО 13053-2-2013, страница 24 страница 24
  • ГОСТ Р ИСО 13053-2-2013, страница 25 страница 25
  • ГОСТ Р ИСО 13053-2-2013, страница 26 страница 26
  • ГОСТ Р ИСО 13053-2-2013, страница 27 страница 27
  • ГОСТ Р ИСО 13053-2-2013, страница 28 страница 28
  • ГОСТ Р ИСО 13053-2-2013, страница 29 страница 29
  • ГОСТ Р ИСО 13053-2-2013, страница 30 страница 30
  • ГОСТ Р ИСО 13053-2-2013, страница 31 страница 31
  • ГОСТ Р ИСО 13053-2-2013, страница 32 страница 32
  • ГОСТ Р ИСО 13053-2-2013, страница 33 страница 33
  • ГОСТ Р ИСО 13053-2-2013, страница 34 страница 34
  • ГОСТ Р ИСО 13053-2-2013, страница 35 страница 35
  • ГОСТ Р ИСО 13053-2-2013, страница 36 страница 36
  • ГОСТ Р ИСО 13053-2-2013, страница 37 страница 37
  • ГОСТ Р ИСО 13053-2-2013, страница 38 страница 38
  • ГОСТ Р ИСО 13053-2-2013, страница 39 страница 39
  • ГОСТ Р ИСО 13053-2-2013, страница 40 страница 40
  • ГОСТ Р ИСО 13053-2-2013, страница 41 страница 41
  • ГОСТ Р ИСО 13053-2-2013, страница 42 страница 42
  • ГОСТ Р ИСО 13053-2-2013, страница 43 страница 43
  • ГОСТ Р ИСО 13053-2-2013, страница 44 страница 44
  • ГОСТ Р ИСО 13053-2-2013, страница 45 страница 45
  • ГОСТ Р ИСО 13053-2-2013, страница 46 страница 46
  • ГОСТ Р ИСО 13053-2-2013, страница 47 страница 47
  • ГОСТ Р ИСО 13053-2-2013, страница 48 страница 48