ГОСТ 12566-88
ГОСТ 12566-88 Изделия швейные бытового назначения. Определение сортности
Категории ГОСТ 12566-88 по ОКС:- Статус документа:
- действует, введён в действие 01.01.1990
- Название на английском языке:
- Sewing goods for domestic use. Determination of grade
- Дата актуализации информации по стандарту:
- 30.01.2026, в 18:25 (несколько дней назад)
- Вид стандарта:
- Стандарты на методы контроля
- Дата начала действия ГОСТа:
- 1990-01-01
- Дата последнего издания документа:
- 2006-01-01
Коды документа ГОСТ 12566-88:
- Код ОКП:
- 850000
- Код КГС:
- М39
- Число страниц:
- 16
- Назначение ГОСТ 12566-88:
- Настоящий стандарт распространяется на швейные изделия бытового назначения, изготовленные из всех видов материалов, и устанавливает определение их сортности
- ГРНТИ индекс(ы):
- 640181
- Документ разработан орг-ей:
- Минлегпром СССР
- Ключевые слова документа:
- определение сортности, текстильная и легкая промышленность
Нормативные ссылки, связанные с ГОСТ 12566-88:
- Стандарт ссылается на ГОСТы:
- ГОСТ 15.007-88, ГОСТ 4103-82, ГОСТ 23193-78
- На стандарт ссылаются:
- ГОСТ Р 53916-2010, ГОСТ Р 53915-2010, ГОСТ Р 50504-2009, ГОСТ Р 50713-94, ГОСТ Р 50576-93, ГОСТ Р 50504-93, ГОСТ 30327-2013, ГОСТ 32119-2013, ГОСТ 25296-91, ГОСТ 25295-91, ГОСТ 25294-91, ГОСТ 30327-95, ГОСТ 29097-91, ГОСТ 25296-2003, ГОСТ 25295-2003, ГОСТ 25294-2003, ГОСТ 23948-80, ГОСТ 31307-2005, ГОСТ 31293-2005, ГОСТ 30332-95
Скачать ГОСТ 12566-88 вы можете в следующих версиях:
Тип файла:
Дата добавления:
Загрузок:
Размер:
Ссылка на скачивание:
Добавлен:
12/12/2011 01:59
Скачиваний:
1104
Размер файла:
0.54 Мб
Ссылка для скачивания:
Поправки и изменения к ГОСТ 12566-88:
-
Наименование, вид:Датарегистрации:начала действия:Ссылка:
-
Изменение №1 к ГОСТ 12566-88
Тип изменения: Текстовое изменение
Номер изменения: 1
Регистрационный номер: 2041
1991-12-231992-05-01
-
страница 1
-
страница 2
-
страница 3
-
страница 4
-
страница 5
-
страница 6
-
страница 7
-
страница 8
-
страница 9
-
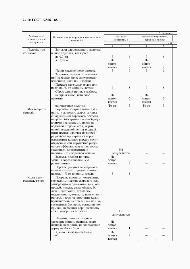
страница 10
-
страница 11
-
страница 12
-
страница 13
-
страница 14
-
страница 15
-
страница 16