ГОСТ Р ИСО 11064-6-2013 Эргономическое проектирование центров управления. Часть 6. Требования к окружающей среде

Категории ГОСТ Р ИСО 11064-6-2013 по ОКС:
Статус документа:
принят, введён в действие 01.12.2014
Название на английском языке:
Ergonomic design of control centers. Part 6. Environmental requirements
Дата актуализации информации по стандарту:
22.01.2026, в 19:57 (менее месяца назад)
Вид стандарта:
временно не известен
Дата начала действия ГОСТа:
2014-12-01
Коды документа ГОСТ Р ИСО 11064-6-2013:
Код КГС:
Т58
Код ОКСТУ:
0012
Число страниц:
не известно
Назначение ГОСТ Р ИСО 11064-6-2013:
не указано
Ключевые слова документа:
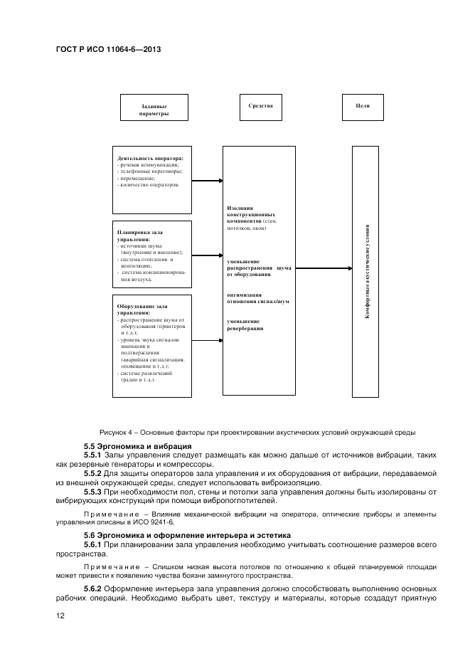
акустические условия, вибрация, качество воздуха, микроклимат, оформление интерьера, планировка рабочего места, требования к окружающей среде (рабочего места), центр управления, эргономика, эргономическое проектирование
Ссылки на прочие:
IEC 60651

Скачать ГОСТ Р ИСО 11064-6-2013 вы можете в следующих версиях:

Тип файла:
Дата добавления:
Загрузок:
Размер:
Тип файла:
PDF с изображениями
Добавлен:
23/01/2016 17:48
Скачиваний:
22
Размер файла:
0.97 Мб
  • ГОСТ Р ИСО 11064-6-2013, страница 1 страница 1
  • ГОСТ Р ИСО 11064-6-2013, страница 2 страница 2
  • ГОСТ Р ИСО 11064-6-2013, страница 3 страница 3
  • ГОСТ Р ИСО 11064-6-2013, страница 4 страница 4
  • ГОСТ Р ИСО 11064-6-2013, страница 5 страница 5
  • ГОСТ Р ИСО 11064-6-2013, страница 6 страница 6
  • ГОСТ Р ИСО 11064-6-2013, страница 7 страница 7
  • ГОСТ Р ИСО 11064-6-2013, страница 8 страница 8
  • ГОСТ Р ИСО 11064-6-2013, страница 9 страница 9
  • ГОСТ Р ИСО 11064-6-2013, страница 10 страница 10
  • ГОСТ Р ИСО 11064-6-2013, страница 11 страница 11
  • ГОСТ Р ИСО 11064-6-2013, страница 12 страница 12
  • ГОСТ Р ИСО 11064-6-2013, страница 13 страница 13
  • ГОСТ Р ИСО 11064-6-2013, страница 14 страница 14
  • ГОСТ Р ИСО 11064-6-2013, страница 15 страница 15
  • ГОСТ Р ИСО 11064-6-2013, страница 16 страница 16
  • ГОСТ Р ИСО 11064-6-2013, страница 17 страница 17
  • ГОСТ Р ИСО 11064-6-2013, страница 18 страница 18
  • ГОСТ Р ИСО 11064-6-2013, страница 19 страница 19
  • ГОСТ Р ИСО 11064-6-2013, страница 20 страница 20
  • ГОСТ Р ИСО 11064-6-2013, страница 21 страница 21
  • ГОСТ Р ИСО 11064-6-2013, страница 22 страница 22
  • ГОСТ Р ИСО 11064-6-2013, страница 23 страница 23
  • ГОСТ Р ИСО 11064-6-2013, страница 24 страница 24