ГОСТ Р ИСО/ТС 10303-1022-2011

ГОСТ Р ИСО/ТС 10303-1022-2011 Системы автоматизации производства и их интеграция. Представление данных об изделии и обмен этими данными. Часть 1022. Прикладной модуль. Идентификация детали и ее версии

Категории ГОСТ Р ИСО/ТС 10303-1022-2011 по ОКС:
Статус документа:
действует, введён в действие 01.08.2012
Название на английском языке:
Industrial automation systems and integration. Product data representation and exchange. Part 1022. Application module. Part and version identification
Дата актуализации информации по стандарту:
30.11.-0001, в 00:00 (более года назад)
Вид стандарта:
временно не известен
Дата начала действия ГОСТа:
2012-08-01
Дата последнего издания документа:
2012-08-23
Коды документа ГОСТ Р ИСО/ТС 10303-1022-2011:
Код КГС:
П87
Код ОКСТУ:
4002
Число страниц:
20
Назначение ГОСТ Р ИСО/ТС 10303-1022-2011:
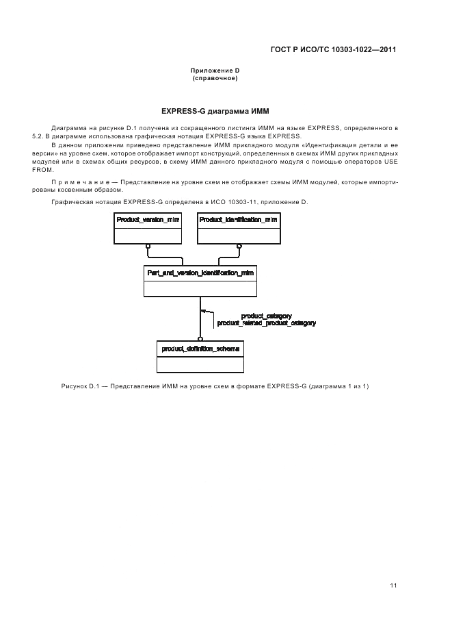
Настоящий стандарт определяет прикладной модуль «Идентификация детали и ее версии». Требования настоящего стандарта распространяются на: - идентификацию детали; - идентификацию несчетного материала; - идентификацию версии детали или несчетного материала; - объекты, относящиеся к области применения прикладного модуля «Идентификация изделия», определенного в ИСО/ТС 10303-1017; - объекты, относящиеся к области применения прикладного модуля «Версия изделия», определенного в ИСО/ТС 10303-1018
Ключевые слова документа:
автоматизация производства, данные, идентификация версии детали, идентификация детали, интеграция систем автоматизации, обмен данными, представление данных, прикладные модули, промышленные изделия, средства автоматизации

Скачать ГОСТ Р ИСО/ТС 10303-1022-2011 вы можете в следующих версиях:

Тип файла:
Дата добавления:
Загрузок:
Размер:
Тип файла:
PDF с изображениями
Добавлен:
24/01/2016 00:11
Скачиваний:
0
Размер файла:
0.72 Мб
  • ГОСТ Р ИСО/ТС 10303-1022-2011, страница 1 страница 1
  • ГОСТ Р ИСО/ТС 10303-1022-2011, страница 2 страница 2
  • ГОСТ Р ИСО/ТС 10303-1022-2011, страница 3 страница 3
  • ГОСТ Р ИСО/ТС 10303-1022-2011, страница 4 страница 4
  • ГОСТ Р ИСО/ТС 10303-1022-2011, страница 5 страница 5
  • ГОСТ Р ИСО/ТС 10303-1022-2011, страница 6 страница 6
  • ГОСТ Р ИСО/ТС 10303-1022-2011, страница 7 страница 7
  • ГОСТ Р ИСО/ТС 10303-1022-2011, страница 8 страница 8
  • ГОСТ Р ИСО/ТС 10303-1022-2011, страница 9 страница 9
  • ГОСТ Р ИСО/ТС 10303-1022-2011, страница 10 страница 10
  • ГОСТ Р ИСО/ТС 10303-1022-2011, страница 11 страница 11
  • ГОСТ Р ИСО/ТС 10303-1022-2011, страница 12 страница 12
  • ГОСТ Р ИСО/ТС 10303-1022-2011, страница 13 страница 13
  • ГОСТ Р ИСО/ТС 10303-1022-2011, страница 14 страница 14
  • ГОСТ Р ИСО/ТС 10303-1022-2011, страница 15 страница 15
  • ГОСТ Р ИСО/ТС 10303-1022-2011, страница 16 страница 16
  • ГОСТ Р ИСО/ТС 10303-1022-2011, страница 17 страница 17
  • ГОСТ Р ИСО/ТС 10303-1022-2011, страница 18 страница 18
  • ГОСТ Р ИСО/ТС 10303-1022-2011, страница 19 страница 19
  • ГОСТ Р ИСО/ТС 10303-1022-2011, страница 20 страница 20