ГОСТ Р ИСО/HL 7 27931-2015 Информатизация здоровья. Health Level Seven Version 2.5. Прикладной протокол электронного обмена данными в организациях здравоохранения

Категории ГОСТ Р ИСО/HL 7 27931-2015 по ОКС:
Статус документа:
действует, введён в действие 01.11.2016
Название на английском языке:
Data Exchange Standards. Health Level Seven Version 2.5. An application protocol for electronic data exchange in healthcare environments
Дата актуализации информации по стандарту:
27.10.2025, в 12:42 (менее полугода назад)
Вид стандарта:
временно не известен
Дата начала действия ГОСТа:
2016-11-01
Число страниц:
2461
Назначение ГОСТ Р ИСО/HL 7 27931-2015:
не указано

Скачать ГОСТ Р ИСО/HL 7 27931-2015 вы можете в следующих версиях:

В данный момент версий документа для скачивания не добавлено.

Мы стараемся пополнять базу документов еженедельно и из разных источников, в обозримом будущем версии для этого ГОСТа появятся.

Вы можете просмотреть online текст стандарта ГОСТ Р ИСО/HL 7 27931-2015

Просмотреть текст ГОСТ Р ИСО/HL 7 27931-2015
  • ГОСТ Р ИСО/HL 7 27931-2015, страница 1 страница 1
  • ГОСТ Р ИСО/HL 7 27931-2015, страница 2 страница 2
  • ГОСТ Р ИСО/HL 7 27931-2015, страница 3 страница 3
  • ГОСТ Р ИСО/HL 7 27931-2015, страница 4 страница 4
  • ГОСТ Р ИСО/HL 7 27931-2015, страница 5 страница 5
  • ГОСТ Р ИСО/HL 7 27931-2015, страница 6 страница 6
  • ГОСТ Р ИСО/HL 7 27931-2015, страница 7 страница 7
  • ГОСТ Р ИСО/HL 7 27931-2015, страница 8 страница 8
  • ГОСТ Р ИСО/HL 7 27931-2015, страница 9 страница 9
  • ГОСТ Р ИСО/HL 7 27931-2015, страница 10 страница 10
  • ГОСТ Р ИСО/HL 7 27931-2015, страница 11 страница 11
  • ГОСТ Р ИСО/HL 7 27931-2015, страница 12 страница 12
  • ГОСТ Р ИСО/HL 7 27931-2015, страница 13 страница 13
  • ГОСТ Р ИСО/HL 7 27931-2015, страница 14 страница 14
  • ГОСТ Р ИСО/HL 7 27931-2015, страница 15 страница 15
  • ГОСТ Р ИСО/HL 7 27931-2015, страница 16 страница 16
  • ГОСТ Р ИСО/HL 7 27931-2015, страница 17 страница 17
  • ГОСТ Р ИСО/HL 7 27931-2015, страница 18 страница 18
  • ГОСТ Р ИСО/HL 7 27931-2015, страница 19 страница 19
  • ГОСТ Р ИСО/HL 7 27931-2015, страница 20 страница 20
  • ГОСТ Р ИСО/HL 7 27931-2015, страница 21 страница 21
  • ГОСТ Р ИСО/HL 7 27931-2015, страница 22 страница 22
  • ГОСТ Р ИСО/HL 7 27931-2015, страница 23 страница 23
  • ГОСТ Р ИСО/HL 7 27931-2015, страница 24 страница 24
  • ГОСТ Р ИСО/HL 7 27931-2015, страница 25 страница 25
  • ГОСТ Р ИСО/HL 7 27931-2015, страница 26 страница 26
  • ГОСТ Р ИСО/HL 7 27931-2015, страница 27 страница 27
  • ГОСТ Р ИСО/HL 7 27931-2015, страница 28 страница 28
  • ГОСТ Р ИСО/HL 7 27931-2015, страница 29 страница 29
  • ГОСТ Р ИСО/HL 7 27931-2015, страница 30 страница 30
  • ГОСТ Р ИСО/HL 7 27931-2015, страница 31 страница 31
  • ГОСТ Р ИСО/HL 7 27931-2015, страница 32 страница 32
  • ГОСТ Р ИСО/HL 7 27931-2015, страница 33 страница 33
  • ГОСТ Р ИСО/HL 7 27931-2015, страница 34 страница 34
  • ГОСТ Р ИСО/HL 7 27931-2015, страница 35 страница 35
  • ГОСТ Р ИСО/HL 7 27931-2015, страница 36 страница 36
  • ГОСТ Р ИСО/HL 7 27931-2015, страница 37 страница 37
  • ГОСТ Р ИСО/HL 7 27931-2015, страница 38 страница 38
  • ГОСТ Р ИСО/HL 7 27931-2015, страница 39 страница 39
  • ГОСТ Р ИСО/HL 7 27931-2015, страница 40 страница 40
  • ГОСТ Р ИСО/HL 7 27931-2015, страница 41 страница 41
  • ГОСТ Р ИСО/HL 7 27931-2015, страница 42 страница 42
  • ГОСТ Р ИСО/HL 7 27931-2015, страница 43 страница 43
  • ГОСТ Р ИСО/HL 7 27931-2015, страница 44 страница 44
  • ГОСТ Р ИСО/HL 7 27931-2015, страница 45 страница 45
  • ГОСТ Р ИСО/HL 7 27931-2015, страница 46 страница 46
  • ГОСТ Р ИСО/HL 7 27931-2015, страница 47 страница 47
  • ГОСТ Р ИСО/HL 7 27931-2015, страница 48 страница 48
  • ГОСТ Р ИСО/HL 7 27931-2015, страница 49 страница 49
  • ГОСТ Р ИСО/HL 7 27931-2015, страница 50 страница 50
  • ГОСТ Р ИСО/HL 7 27931-2015, страница 51 страница 51
  • ГОСТ Р ИСО/HL 7 27931-2015, страница 52 страница 52
  • ГОСТ Р ИСО/HL 7 27931-2015, страница 53 страница 53
  • ГОСТ Р ИСО/HL 7 27931-2015, страница 54 страница 54
  • ГОСТ Р ИСО/HL 7 27931-2015, страница 55 страница 55
  • ГОСТ Р ИСО/HL 7 27931-2015, страница 56 страница 56
  • ГОСТ Р ИСО/HL 7 27931-2015, страница 57 страница 57
  • ГОСТ Р ИСО/HL 7 27931-2015, страница 58 страница 58
  • ГОСТ Р ИСО/HL 7 27931-2015, страница 59 страница 59
  • ГОСТ Р ИСО/HL 7 27931-2015, страница 60 страница 60
  • ГОСТ Р ИСО/HL 7 27931-2015, страница 61 страница 61
  • ГОСТ Р ИСО/HL 7 27931-2015, страница 62 страница 62
  • ГОСТ Р ИСО/HL 7 27931-2015, страница 63 страница 63
  • ГОСТ Р ИСО/HL 7 27931-2015, страница 64 страница 64
  • ГОСТ Р ИСО/HL 7 27931-2015, страница 65 страница 65
  • ГОСТ Р ИСО/HL 7 27931-2015, страница 66 страница 66
  • ГОСТ Р ИСО/HL 7 27931-2015, страница 67 страница 67
  • ГОСТ Р ИСО/HL 7 27931-2015, страница 68 страница 68
  • ГОСТ Р ИСО/HL 7 27931-2015, страница 69 страница 69
  • ГОСТ Р ИСО/HL 7 27931-2015, страница 70 страница 70
  • ГОСТ Р ИСО/HL 7 27931-2015, страница 71 страница 71
  • ГОСТ Р ИСО/HL 7 27931-2015, страница 72 страница 72
  • ГОСТ Р ИСО/HL 7 27931-2015, страница 73 страница 73
  • ГОСТ Р ИСО/HL 7 27931-2015, страница 74 страница 74
  • ГОСТ Р ИСО/HL 7 27931-2015, страница 75 страница 75
  • ГОСТ Р ИСО/HL 7 27931-2015, страница 76 страница 76
  • ГОСТ Р ИСО/HL 7 27931-2015, страница 77 страница 77
  • ГОСТ Р ИСО/HL 7 27931-2015, страница 78 страница 78
  • ГОСТ Р ИСО/HL 7 27931-2015, страница 79 страница 79
  • ГОСТ Р ИСО/HL 7 27931-2015, страница 80 страница 80
  • ГОСТ Р ИСО/HL 7 27931-2015, страница 81 страница 81
  • ГОСТ Р ИСО/HL 7 27931-2015, страница 82 страница 82
  • ГОСТ Р ИСО/HL 7 27931-2015, страница 83 страница 83
  • ГОСТ Р ИСО/HL 7 27931-2015, страница 84 страница 84
  • ГОСТ Р ИСО/HL 7 27931-2015, страница 85 страница 85
  • ГОСТ Р ИСО/HL 7 27931-2015, страница 86 страница 86
  • ГОСТ Р ИСО/HL 7 27931-2015, страница 87 страница 87
  • ГОСТ Р ИСО/HL 7 27931-2015, страница 88 страница 88
  • ГОСТ Р ИСО/HL 7 27931-2015, страница 89 страница 89
  • ГОСТ Р ИСО/HL 7 27931-2015, страница 90 страница 90
  • ГОСТ Р ИСО/HL 7 27931-2015, страница 91 страница 91
  • ГОСТ Р ИСО/HL 7 27931-2015, страница 92 страница 92
  • ГОСТ Р ИСО/HL 7 27931-2015, страница 93 страница 93
  • ГОСТ Р ИСО/HL 7 27931-2015, страница 94 страница 94
  • ГОСТ Р ИСО/HL 7 27931-2015, страница 95 страница 95
  • ГОСТ Р ИСО/HL 7 27931-2015, страница 96 страница 96
  • ГОСТ Р ИСО/HL 7 27931-2015, страница 97 страница 97
  • ГОСТ Р ИСО/HL 7 27931-2015, страница 98 страница 98
  • ГОСТ Р ИСО/HL 7 27931-2015, страница 99 страница 99
  • ГОСТ Р ИСО/HL 7 27931-2015, страница 100 страница 100
  • ГОСТ Р ИСО/HL 7 27931-2015, страница 101 страница 101
  • ГОСТ Р ИСО/HL 7 27931-2015, страница 102 страница 102
  • ГОСТ Р ИСО/HL 7 27931-2015, страница 103 страница 103
  • ГОСТ Р ИСО/HL 7 27931-2015, страница 104 страница 104
  • ГОСТ Р ИСО/HL 7 27931-2015, страница 105 страница 105
  • ГОСТ Р ИСО/HL 7 27931-2015, страница 106 страница 106
  • ГОСТ Р ИСО/HL 7 27931-2015, страница 107 страница 107
  • ГОСТ Р ИСО/HL 7 27931-2015, страница 108 страница 108
  • ГОСТ Р ИСО/HL 7 27931-2015, страница 109 страница 109
  • ГОСТ Р ИСО/HL 7 27931-2015, страница 110 страница 110
  • ГОСТ Р ИСО/HL 7 27931-2015, страница 111 страница 111
  • ГОСТ Р ИСО/HL 7 27931-2015, страница 112 страница 112
  • ГОСТ Р ИСО/HL 7 27931-2015, страница 113 страница 113
  • ГОСТ Р ИСО/HL 7 27931-2015, страница 114 страница 114
  • ГОСТ Р ИСО/HL 7 27931-2015, страница 115 страница 115
  • ГОСТ Р ИСО/HL 7 27931-2015, страница 116 страница 116
  • ГОСТ Р ИСО/HL 7 27931-2015, страница 117 страница 117
  • ГОСТ Р ИСО/HL 7 27931-2015, страница 118 страница 118
  • ГОСТ Р ИСО/HL 7 27931-2015, страница 119 страница 119
  • ГОСТ Р ИСО/HL 7 27931-2015, страница 120 страница 120
  • ГОСТ Р ИСО/HL 7 27931-2015, страница 121 страница 121
  • ГОСТ Р ИСО/HL 7 27931-2015, страница 122 страница 122
  • ГОСТ Р ИСО/HL 7 27931-2015, страница 123 страница 123
  • ГОСТ Р ИСО/HL 7 27931-2015, страница 124 страница 124
  • ГОСТ Р ИСО/HL 7 27931-2015, страница 125 страница 125
  • ГОСТ Р ИСО/HL 7 27931-2015, страница 126 страница 126
  • ГОСТ Р ИСО/HL 7 27931-2015, страница 127 страница 127
  • ГОСТ Р ИСО/HL 7 27931-2015, страница 128 страница 128
  • ГОСТ Р ИСО/HL 7 27931-2015, страница 129 страница 129
  • ГОСТ Р ИСО/HL 7 27931-2015, страница 130 страница 130
  • ГОСТ Р ИСО/HL 7 27931-2015, страница 131 страница 131
  • ГОСТ Р ИСО/HL 7 27931-2015, страница 132 страница 132
  • ГОСТ Р ИСО/HL 7 27931-2015, страница 133 страница 133
  • ГОСТ Р ИСО/HL 7 27931-2015, страница 134 страница 134
  • ГОСТ Р ИСО/HL 7 27931-2015, страница 135 страница 135
  • ГОСТ Р ИСО/HL 7 27931-2015, страница 136 страница 136
  • ГОСТ Р ИСО/HL 7 27931-2015, страница 137 страница 137
  • ГОСТ Р ИСО/HL 7 27931-2015, страница 138 страница 138
  • ГОСТ Р ИСО/HL 7 27931-2015, страница 139 страница 139
  • ГОСТ Р ИСО/HL 7 27931-2015, страница 140 страница 140
  • ГОСТ Р ИСО/HL 7 27931-2015, страница 141 страница 141
  • ГОСТ Р ИСО/HL 7 27931-2015, страница 142 страница 142
  • ГОСТ Р ИСО/HL 7 27931-2015, страница 143 страница 143
  • ГОСТ Р ИСО/HL 7 27931-2015, страница 144 страница 144
  • ГОСТ Р ИСО/HL 7 27931-2015, страница 145 страница 145
  • ГОСТ Р ИСО/HL 7 27931-2015, страница 146 страница 146
  • ГОСТ Р ИСО/HL 7 27931-2015, страница 147 страница 147
  • ГОСТ Р ИСО/HL 7 27931-2015, страница 148 страница 148
  • ГОСТ Р ИСО/HL 7 27931-2015, страница 149 страница 149
  • ГОСТ Р ИСО/HL 7 27931-2015, страница 150 страница 150
  • ГОСТ Р ИСО/HL 7 27931-2015, страница 151 страница 151
  • ГОСТ Р ИСО/HL 7 27931-2015, страница 152 страница 152
  • ГОСТ Р ИСО/HL 7 27931-2015, страница 153 страница 153
  • ГОСТ Р ИСО/HL 7 27931-2015, страница 154 страница 154
  • ГОСТ Р ИСО/HL 7 27931-2015, страница 155 страница 155
  • ГОСТ Р ИСО/HL 7 27931-2015, страница 156 страница 156
  • ГОСТ Р ИСО/HL 7 27931-2015, страница 157 страница 157
  • ГОСТ Р ИСО/HL 7 27931-2015, страница 158 страница 158
  • ГОСТ Р ИСО/HL 7 27931-2015, страница 159 страница 159
  • ГОСТ Р ИСО/HL 7 27931-2015, страница 160 страница 160
  • ГОСТ Р ИСО/HL 7 27931-2015, страница 161 страница 161
  • ГОСТ Р ИСО/HL 7 27931-2015, страница 162 страница 162
  • ГОСТ Р ИСО/HL 7 27931-2015, страница 163 страница 163
  • ГОСТ Р ИСО/HL 7 27931-2015, страница 164 страница 164
  • ГОСТ Р ИСО/HL 7 27931-2015, страница 165 страница 165
  • ГОСТ Р ИСО/HL 7 27931-2015, страница 166 страница 166
  • ГОСТ Р ИСО/HL 7 27931-2015, страница 167 страница 167
  • ГОСТ Р ИСО/HL 7 27931-2015, страница 168 страница 168
  • ГОСТ Р ИСО/HL 7 27931-2015, страница 169 страница 169
  • ГОСТ Р ИСО/HL 7 27931-2015, страница 170 страница 170
  • ГОСТ Р ИСО/HL 7 27931-2015, страница 171 страница 171
  • ГОСТ Р ИСО/HL 7 27931-2015, страница 172 страница 172
  • ГОСТ Р ИСО/HL 7 27931-2015, страница 173 страница 173
  • ГОСТ Р ИСО/HL 7 27931-2015, страница 174 страница 174
  • ГОСТ Р ИСО/HL 7 27931-2015, страница 175 страница 175
  • ГОСТ Р ИСО/HL 7 27931-2015, страница 176 страница 176
  • ГОСТ Р ИСО/HL 7 27931-2015, страница 177 страница 177
  • ГОСТ Р ИСО/HL 7 27931-2015, страница 178 страница 178
  • ГОСТ Р ИСО/HL 7 27931-2015, страница 179 страница 179
  • ГОСТ Р ИСО/HL 7 27931-2015, страница 180 страница 180
  • ГОСТ Р ИСО/HL 7 27931-2015, страница 181 страница 181
  • ГОСТ Р ИСО/HL 7 27931-2015, страница 182 страница 182
  • ГОСТ Р ИСО/HL 7 27931-2015, страница 183 страница 183
  • ГОСТ Р ИСО/HL 7 27931-2015, страница 184 страница 184
  • ГОСТ Р ИСО/HL 7 27931-2015, страница 185 страница 185
  • ГОСТ Р ИСО/HL 7 27931-2015, страница 186 страница 186
  • ГОСТ Р ИСО/HL 7 27931-2015, страница 187 страница 187
  • ГОСТ Р ИСО/HL 7 27931-2015, страница 188 страница 188
  • ГОСТ Р ИСО/HL 7 27931-2015, страница 189 страница 189
  • ГОСТ Р ИСО/HL 7 27931-2015, страница 190 страница 190
  • ГОСТ Р ИСО/HL 7 27931-2015, страница 191 страница 191
  • ГОСТ Р ИСО/HL 7 27931-2015, страница 192 страница 192
  • ГОСТ Р ИСО/HL 7 27931-2015, страница 193 страница 193
  • ГОСТ Р ИСО/HL 7 27931-2015, страница 194 страница 194
  • ГОСТ Р ИСО/HL 7 27931-2015, страница 195 страница 195
  • ГОСТ Р ИСО/HL 7 27931-2015, страница 196 страница 196
  • ГОСТ Р ИСО/HL 7 27931-2015, страница 197 страница 197
  • ГОСТ Р ИСО/HL 7 27931-2015, страница 198 страница 198
  • ГОСТ Р ИСО/HL 7 27931-2015, страница 199 страница 199
  • ГОСТ Р ИСО/HL 7 27931-2015, страница 200 страница 200
  • ГОСТ Р ИСО/HL 7 27931-2015, страница 201 страница 201
  • ГОСТ Р ИСО/HL 7 27931-2015, страница 202 страница 202
  • ГОСТ Р ИСО/HL 7 27931-2015, страница 203 страница 203
  • ГОСТ Р ИСО/HL 7 27931-2015, страница 204 страница 204
  • ГОСТ Р ИСО/HL 7 27931-2015, страница 205 страница 205
  • ГОСТ Р ИСО/HL 7 27931-2015, страница 206 страница 206
  • ГОСТ Р ИСО/HL 7 27931-2015, страница 207 страница 207
  • ГОСТ Р ИСО/HL 7 27931-2015, страница 208 страница 208
  • ГОСТ Р ИСО/HL 7 27931-2015, страница 209 страница 209
  • ГОСТ Р ИСО/HL 7 27931-2015, страница 210 страница 210
  • ГОСТ Р ИСО/HL 7 27931-2015, страница 211 страница 211
  • ГОСТ Р ИСО/HL 7 27931-2015, страница 212 страница 212
  • ГОСТ Р ИСО/HL 7 27931-2015, страница 213 страница 213
  • ГОСТ Р ИСО/HL 7 27931-2015, страница 214 страница 214
  • ГОСТ Р ИСО/HL 7 27931-2015, страница 215 страница 215
  • ГОСТ Р ИСО/HL 7 27931-2015, страница 216 страница 216
  • ГОСТ Р ИСО/HL 7 27931-2015, страница 217 страница 217
  • ГОСТ Р ИСО/HL 7 27931-2015, страница 218 страница 218
  • ГОСТ Р ИСО/HL 7 27931-2015, страница 219 страница 219
  • ГОСТ Р ИСО/HL 7 27931-2015, страница 220 страница 220
  • ГОСТ Р ИСО/HL 7 27931-2015, страница 221 страница 221
  • ГОСТ Р ИСО/HL 7 27931-2015, страница 222 страница 222
  • ГОСТ Р ИСО/HL 7 27931-2015, страница 223 страница 223
  • ГОСТ Р ИСО/HL 7 27931-2015, страница 224 страница 224
  • ГОСТ Р ИСО/HL 7 27931-2015, страница 225 страница 225
  • ГОСТ Р ИСО/HL 7 27931-2015, страница 226 страница 226
  • ГОСТ Р ИСО/HL 7 27931-2015, страница 227 страница 227
  • ГОСТ Р ИСО/HL 7 27931-2015, страница 228 страница 228
  • ГОСТ Р ИСО/HL 7 27931-2015, страница 229 страница 229
  • ГОСТ Р ИСО/HL 7 27931-2015, страница 230 страница 230
  • ГОСТ Р ИСО/HL 7 27931-2015, страница 231 страница 231
  • ГОСТ Р ИСО/HL 7 27931-2015, страница 232 страница 232
  • ГОСТ Р ИСО/HL 7 27931-2015, страница 233 страница 233
  • ГОСТ Р ИСО/HL 7 27931-2015, страница 234 страница 234
  • ГОСТ Р ИСО/HL 7 27931-2015, страница 235 страница 235
  • ГОСТ Р ИСО/HL 7 27931-2015, страница 236 страница 236
  • ГОСТ Р ИСО/HL 7 27931-2015, страница 237 страница 237
  • ГОСТ Р ИСО/HL 7 27931-2015, страница 238 страница 238
  • ГОСТ Р ИСО/HL 7 27931-2015, страница 239 страница 239
  • ГОСТ Р ИСО/HL 7 27931-2015, страница 240 страница 240
  • ГОСТ Р ИСО/HL 7 27931-2015, страница 241 страница 241
  • ГОСТ Р ИСО/HL 7 27931-2015, страница 242 страница 242
  • ГОСТ Р ИСО/HL 7 27931-2015, страница 243 страница 243
  • ГОСТ Р ИСО/HL 7 27931-2015, страница 244 страница 244
  • ГОСТ Р ИСО/HL 7 27931-2015, страница 245 страница 245
  • ГОСТ Р ИСО/HL 7 27931-2015, страница 246 страница 246
  • ГОСТ Р ИСО/HL 7 27931-2015, страница 247 страница 247
  • ГОСТ Р ИСО/HL 7 27931-2015, страница 248 страница 248
  • ГОСТ Р ИСО/HL 7 27931-2015, страница 249 страница 249
  • ГОСТ Р ИСО/HL 7 27931-2015, страница 250 страница 250
  • ГОСТ Р ИСО/HL 7 27931-2015, страница 251 страница 251
  • ГОСТ Р ИСО/HL 7 27931-2015, страница 252 страница 252
  • ГОСТ Р ИСО/HL 7 27931-2015, страница 253 страница 253
  • ГОСТ Р ИСО/HL 7 27931-2015, страница 254 страница 254
  • ГОСТ Р ИСО/HL 7 27931-2015, страница 255 страница 255
  • ГОСТ Р ИСО/HL 7 27931-2015, страница 256 страница 256
  • ГОСТ Р ИСО/HL 7 27931-2015, страница 257 страница 257
  • ГОСТ Р ИСО/HL 7 27931-2015, страница 258 страница 258
  • ГОСТ Р ИСО/HL 7 27931-2015, страница 259 страница 259
  • ГОСТ Р ИСО/HL 7 27931-2015, страница 260 страница 260
  • ГОСТ Р ИСО/HL 7 27931-2015, страница 261 страница 261
  • ГОСТ Р ИСО/HL 7 27931-2015, страница 262 страница 262
  • ГОСТ Р ИСО/HL 7 27931-2015, страница 263 страница 263
  • ГОСТ Р ИСО/HL 7 27931-2015, страница 264 страница 264
  • ГОСТ Р ИСО/HL 7 27931-2015, страница 265 страница 265
  • ГОСТ Р ИСО/HL 7 27931-2015, страница 266 страница 266
  • ГОСТ Р ИСО/HL 7 27931-2015, страница 267 страница 267
  • ГОСТ Р ИСО/HL 7 27931-2015, страница 268 страница 268
  • ГОСТ Р ИСО/HL 7 27931-2015, страница 269 страница 269
  • ГОСТ Р ИСО/HL 7 27931-2015, страница 270 страница 270
  • ГОСТ Р ИСО/HL 7 27931-2015, страница 271 страница 271
  • ГОСТ Р ИСО/HL 7 27931-2015, страница 272 страница 272
  • ГОСТ Р ИСО/HL 7 27931-2015, страница 273 страница 273
  • ГОСТ Р ИСО/HL 7 27931-2015, страница 274 страница 274
  • ГОСТ Р ИСО/HL 7 27931-2015, страница 275 страница 275
  • ГОСТ Р ИСО/HL 7 27931-2015, страница 276 страница 276
  • ГОСТ Р ИСО/HL 7 27931-2015, страница 277 страница 277
  • ГОСТ Р ИСО/HL 7 27931-2015, страница 278 страница 278
  • ГОСТ Р ИСО/HL 7 27931-2015, страница 279 страница 279
  • ГОСТ Р ИСО/HL 7 27931-2015, страница 280 страница 280
  • ГОСТ Р ИСО/HL 7 27931-2015, страница 281 страница 281
  • ГОСТ Р ИСО/HL 7 27931-2015, страница 282 страница 282
  • ГОСТ Р ИСО/HL 7 27931-2015, страница 283 страница 283
  • ГОСТ Р ИСО/HL 7 27931-2015, страница 284 страница 284
  • ГОСТ Р ИСО/HL 7 27931-2015, страница 285 страница 285
  • ГОСТ Р ИСО/HL 7 27931-2015, страница 286 страница 286
  • ГОСТ Р ИСО/HL 7 27931-2015, страница 287 страница 287
  • ГОСТ Р ИСО/HL 7 27931-2015, страница 288 страница 288
  • ГОСТ Р ИСО/HL 7 27931-2015, страница 289 страница 289
  • ГОСТ Р ИСО/HL 7 27931-2015, страница 290 страница 290
  • ГОСТ Р ИСО/HL 7 27931-2015, страница 291 страница 291
  • ГОСТ Р ИСО/HL 7 27931-2015, страница 292 страница 292
  • ГОСТ Р ИСО/HL 7 27931-2015, страница 293 страница 293
  • ГОСТ Р ИСО/HL 7 27931-2015, страница 294 страница 294
  • ГОСТ Р ИСО/HL 7 27931-2015, страница 295 страница 295
  • ГОСТ Р ИСО/HL 7 27931-2015, страница 296 страница 296
  • ГОСТ Р ИСО/HL 7 27931-2015, страница 297 страница 297
  • ГОСТ Р ИСО/HL 7 27931-2015, страница 298 страница 298
  • ГОСТ Р ИСО/HL 7 27931-2015, страница 299 страница 299
  • ГОСТ Р ИСО/HL 7 27931-2015, страница 300 страница 300
  • ГОСТ Р ИСО/HL 7 27931-2015, страница 301 страница 301
  • ГОСТ Р ИСО/HL 7 27931-2015, страница 302 страница 302
  • ГОСТ Р ИСО/HL 7 27931-2015, страница 303 страница 303
  • ГОСТ Р ИСО/HL 7 27931-2015, страница 304 страница 304
  • ГОСТ Р ИСО/HL 7 27931-2015, страница 305 страница 305
  • ГОСТ Р ИСО/HL 7 27931-2015, страница 306 страница 306
  • ГОСТ Р ИСО/HL 7 27931-2015, страница 307 страница 307
  • ГОСТ Р ИСО/HL 7 27931-2015, страница 308 страница 308
  • ГОСТ Р ИСО/HL 7 27931-2015, страница 309 страница 309
  • ГОСТ Р ИСО/HL 7 27931-2015, страница 310 страница 310
  • ГОСТ Р ИСО/HL 7 27931-2015, страница 311 страница 311
  • ГОСТ Р ИСО/HL 7 27931-2015, страница 312 страница 312
  • ГОСТ Р ИСО/HL 7 27931-2015, страница 313 страница 313
  • ГОСТ Р ИСО/HL 7 27931-2015, страница 314 страница 314
  • ГОСТ Р ИСО/HL 7 27931-2015, страница 315 страница 315
  • ГОСТ Р ИСО/HL 7 27931-2015, страница 316 страница 316
  • ГОСТ Р ИСО/HL 7 27931-2015, страница 317 страница 317
  • ГОСТ Р ИСО/HL 7 27931-2015, страница 318 страница 318
  • ГОСТ Р ИСО/HL 7 27931-2015, страница 319 страница 319
  • ГОСТ Р ИСО/HL 7 27931-2015, страница 320 страница 320
  • ГОСТ Р ИСО/HL 7 27931-2015, страница 321 страница 321
  • ГОСТ Р ИСО/HL 7 27931-2015, страница 322 страница 322
  • ГОСТ Р ИСО/HL 7 27931-2015, страница 323 страница 323
  • ГОСТ Р ИСО/HL 7 27931-2015, страница 324 страница 324
  • ГОСТ Р ИСО/HL 7 27931-2015, страница 325 страница 325
  • ГОСТ Р ИСО/HL 7 27931-2015, страница 326 страница 326
  • ГОСТ Р ИСО/HL 7 27931-2015, страница 327 страница 327
  • ГОСТ Р ИСО/HL 7 27931-2015, страница 328 страница 328
  • ГОСТ Р ИСО/HL 7 27931-2015, страница 329 страница 329
  • ГОСТ Р ИСО/HL 7 27931-2015, страница 330 страница 330
  • ГОСТ Р ИСО/HL 7 27931-2015, страница 331 страница 331
  • ГОСТ Р ИСО/HL 7 27931-2015, страница 332 страница 332
  • ГОСТ Р ИСО/HL 7 27931-2015, страница 333 страница 333
  • ГОСТ Р ИСО/HL 7 27931-2015, страница 334 страница 334
  • ГОСТ Р ИСО/HL 7 27931-2015, страница 335 страница 335
  • ГОСТ Р ИСО/HL 7 27931-2015, страница 336 страница 336
  • ГОСТ Р ИСО/HL 7 27931-2015, страница 337 страница 337
  • ГОСТ Р ИСО/HL 7 27931-2015, страница 338 страница 338
  • ГОСТ Р ИСО/HL 7 27931-2015, страница 339 страница 339
  • ГОСТ Р ИСО/HL 7 27931-2015, страница 340 страница 340
  • ГОСТ Р ИСО/HL 7 27931-2015, страница 341 страница 341
  • ГОСТ Р ИСО/HL 7 27931-2015, страница 342 страница 342
  • ГОСТ Р ИСО/HL 7 27931-2015, страница 343 страница 343
  • ГОСТ Р ИСО/HL 7 27931-2015, страница 344 страница 344
  • ГОСТ Р ИСО/HL 7 27931-2015, страница 345 страница 345
  • ГОСТ Р ИСО/HL 7 27931-2015, страница 346 страница 346
  • ГОСТ Р ИСО/HL 7 27931-2015, страница 347 страница 347
  • ГОСТ Р ИСО/HL 7 27931-2015, страница 348 страница 348
  • ГОСТ Р ИСО/HL 7 27931-2015, страница 349 страница 349
  • ГОСТ Р ИСО/HL 7 27931-2015, страница 350 страница 350
  • ГОСТ Р ИСО/HL 7 27931-2015, страница 351 страница 351
  • ГОСТ Р ИСО/HL 7 27931-2015, страница 352 страница 352
  • ГОСТ Р ИСО/HL 7 27931-2015, страница 353 страница 353
  • ГОСТ Р ИСО/HL 7 27931-2015, страница 354 страница 354
  • ГОСТ Р ИСО/HL 7 27931-2015, страница 355 страница 355
  • ГОСТ Р ИСО/HL 7 27931-2015, страница 356 страница 356
  • ГОСТ Р ИСО/HL 7 27931-2015, страница 357 страница 357
  • ГОСТ Р ИСО/HL 7 27931-2015, страница 358 страница 358
  • ГОСТ Р ИСО/HL 7 27931-2015, страница 359 страница 359
  • ГОСТ Р ИСО/HL 7 27931-2015, страница 360 страница 360
  • ГОСТ Р ИСО/HL 7 27931-2015, страница 361 страница 361
  • ГОСТ Р ИСО/HL 7 27931-2015, страница 362 страница 362
  • ГОСТ Р ИСО/HL 7 27931-2015, страница 363 страница 363
  • ГОСТ Р ИСО/HL 7 27931-2015, страница 364 страница 364
  • ГОСТ Р ИСО/HL 7 27931-2015, страница 365 страница 365
  • ГОСТ Р ИСО/HL 7 27931-2015, страница 366 страница 366
  • ГОСТ Р ИСО/HL 7 27931-2015, страница 367 страница 367
  • ГОСТ Р ИСО/HL 7 27931-2015, страница 368 страница 368
  • ГОСТ Р ИСО/HL 7 27931-2015, страница 369 страница 369
  • ГОСТ Р ИСО/HL 7 27931-2015, страница 370 страница 370
  • ГОСТ Р ИСО/HL 7 27931-2015, страница 371 страница 371
  • ГОСТ Р ИСО/HL 7 27931-2015, страница 372 страница 372
  • ГОСТ Р ИСО/HL 7 27931-2015, страница 373 страница 373
  • ГОСТ Р ИСО/HL 7 27931-2015, страница 374 страница 374
  • ГОСТ Р ИСО/HL 7 27931-2015, страница 375 страница 375
  • ГОСТ Р ИСО/HL 7 27931-2015, страница 376 страница 376
  • ГОСТ Р ИСО/HL 7 27931-2015, страница 377 страница 377
  • ГОСТ Р ИСО/HL 7 27931-2015, страница 378 страница 378
  • ГОСТ Р ИСО/HL 7 27931-2015, страница 379 страница 379
  • ГОСТ Р ИСО/HL 7 27931-2015, страница 380 страница 380
  • ГОСТ Р ИСО/HL 7 27931-2015, страница 381 страница 381
  • ГОСТ Р ИСО/HL 7 27931-2015, страница 382 страница 382
  • ГОСТ Р ИСО/HL 7 27931-2015, страница 383 страница 383
  • ГОСТ Р ИСО/HL 7 27931-2015, страница 384 страница 384
  • ГОСТ Р ИСО/HL 7 27931-2015, страница 385 страница 385
  • ГОСТ Р ИСО/HL 7 27931-2015, страница 386 страница 386
  • ГОСТ Р ИСО/HL 7 27931-2015, страница 387 страница 387
  • ГОСТ Р ИСО/HL 7 27931-2015, страница 388 страница 388
  • ГОСТ Р ИСО/HL 7 27931-2015, страница 389 страница 389
  • ГОСТ Р ИСО/HL 7 27931-2015, страница 390 страница 390
  • ГОСТ Р ИСО/HL 7 27931-2015, страница 391 страница 391
  • ГОСТ Р ИСО/HL 7 27931-2015, страница 392 страница 392
  • ГОСТ Р ИСО/HL 7 27931-2015, страница 393 страница 393
  • ГОСТ Р ИСО/HL 7 27931-2015, страница 394 страница 394
  • ГОСТ Р ИСО/HL 7 27931-2015, страница 395 страница 395
  • ГОСТ Р ИСО/HL 7 27931-2015, страница 396 страница 396
  • ГОСТ Р ИСО/HL 7 27931-2015, страница 397 страница 397
  • ГОСТ Р ИСО/HL 7 27931-2015, страница 398 страница 398
  • ГОСТ Р ИСО/HL 7 27931-2015, страница 399 страница 399
  • ГОСТ Р ИСО/HL 7 27931-2015, страница 400 страница 400
  • ГОСТ Р ИСО/HL 7 27931-2015, страница 401 страница 401
  • ГОСТ Р ИСО/HL 7 27931-2015, страница 402 страница 402
  • ГОСТ Р ИСО/HL 7 27931-2015, страница 403 страница 403
  • ГОСТ Р ИСО/HL 7 27931-2015, страница 404 страница 404
  • ГОСТ Р ИСО/HL 7 27931-2015, страница 405 страница 405
  • ГОСТ Р ИСО/HL 7 27931-2015, страница 406 страница 406
  • ГОСТ Р ИСО/HL 7 27931-2015, страница 407 страница 407
  • ГОСТ Р ИСО/HL 7 27931-2015, страница 408 страница 408
  • ГОСТ Р ИСО/HL 7 27931-2015, страница 409 страница 409
  • ГОСТ Р ИСО/HL 7 27931-2015, страница 410 страница 410
  • ГОСТ Р ИСО/HL 7 27931-2015, страница 411 страница 411
  • ГОСТ Р ИСО/HL 7 27931-2015, страница 412 страница 412
  • ГОСТ Р ИСО/HL 7 27931-2015, страница 413 страница 413
  • ГОСТ Р ИСО/HL 7 27931-2015, страница 414 страница 414
  • ГОСТ Р ИСО/HL 7 27931-2015, страница 415 страница 415
  • ГОСТ Р ИСО/HL 7 27931-2015, страница 416 страница 416
  • ГОСТ Р ИСО/HL 7 27931-2015, страница 417 страница 417
  • ГОСТ Р ИСО/HL 7 27931-2015, страница 418 страница 418
  • ГОСТ Р ИСО/HL 7 27931-2015, страница 419 страница 419
  • ГОСТ Р ИСО/HL 7 27931-2015, страница 420 страница 420
  • ГОСТ Р ИСО/HL 7 27931-2015, страница 421 страница 421
  • ГОСТ Р ИСО/HL 7 27931-2015, страница 422 страница 422
  • ГОСТ Р ИСО/HL 7 27931-2015, страница 423 страница 423
  • ГОСТ Р ИСО/HL 7 27931-2015, страница 424 страница 424
  • ГОСТ Р ИСО/HL 7 27931-2015, страница 425 страница 425
  • ГОСТ Р ИСО/HL 7 27931-2015, страница 426 страница 426
  • ГОСТ Р ИСО/HL 7 27931-2015, страница 427 страница 427
  • ГОСТ Р ИСО/HL 7 27931-2015, страница 428 страница 428
  • ГОСТ Р ИСО/HL 7 27931-2015, страница 429 страница 429
  • ГОСТ Р ИСО/HL 7 27931-2015, страница 430 страница 430
  • ГОСТ Р ИСО/HL 7 27931-2015, страница 431 страница 431
  • ГОСТ Р ИСО/HL 7 27931-2015, страница 432 страница 432
  • ГОСТ Р ИСО/HL 7 27931-2015, страница 433 страница 433
  • ГОСТ Р ИСО/HL 7 27931-2015, страница 434 страница 434
  • ГОСТ Р ИСО/HL 7 27931-2015, страница 435 страница 435
  • ГОСТ Р ИСО/HL 7 27931-2015, страница 436 страница 436
  • ГОСТ Р ИСО/HL 7 27931-2015, страница 437 страница 437
  • ГОСТ Р ИСО/HL 7 27931-2015, страница 438 страница 438
  • ГОСТ Р ИСО/HL 7 27931-2015, страница 439 страница 439
  • ГОСТ Р ИСО/HL 7 27931-2015, страница 440 страница 440
  • ГОСТ Р ИСО/HL 7 27931-2015, страница 441 страница 441
  • ГОСТ Р ИСО/HL 7 27931-2015, страница 442 страница 442
  • ГОСТ Р ИСО/HL 7 27931-2015, страница 443 страница 443
  • ГОСТ Р ИСО/HL 7 27931-2015, страница 444 страница 444
  • ГОСТ Р ИСО/HL 7 27931-2015, страница 445 страница 445
  • ГОСТ Р ИСО/HL 7 27931-2015, страница 446 страница 446
  • ГОСТ Р ИСО/HL 7 27931-2015, страница 447 страница 447
  • ГОСТ Р ИСО/HL 7 27931-2015, страница 448 страница 448
  • ГОСТ Р ИСО/HL 7 27931-2015, страница 449 страница 449
  • ГОСТ Р ИСО/HL 7 27931-2015, страница 450 страница 450
  • ГОСТ Р ИСО/HL 7 27931-2015, страница 451 страница 451
  • ГОСТ Р ИСО/HL 7 27931-2015, страница 452 страница 452
  • ГОСТ Р ИСО/HL 7 27931-2015, страница 453 страница 453
  • ГОСТ Р ИСО/HL 7 27931-2015, страница 454 страница 454
  • ГОСТ Р ИСО/HL 7 27931-2015, страница 455 страница 455
  • ГОСТ Р ИСО/HL 7 27931-2015, страница 456 страница 456
  • ГОСТ Р ИСО/HL 7 27931-2015, страница 457 страница 457
  • ГОСТ Р ИСО/HL 7 27931-2015, страница 458 страница 458
  • ГОСТ Р ИСО/HL 7 27931-2015, страница 459 страница 459
  • ГОСТ Р ИСО/HL 7 27931-2015, страница 460 страница 460
  • ГОСТ Р ИСО/HL 7 27931-2015, страница 461 страница 461
  • ГОСТ Р ИСО/HL 7 27931-2015, страница 462 страница 462
  • ГОСТ Р ИСО/HL 7 27931-2015, страница 463 страница 463
  • ГОСТ Р ИСО/HL 7 27931-2015, страница 464 страница 464
  • ГОСТ Р ИСО/HL 7 27931-2015, страница 465 страница 465
  • ГОСТ Р ИСО/HL 7 27931-2015, страница 466 страница 466
  • ГОСТ Р ИСО/HL 7 27931-2015, страница 467 страница 467
  • ГОСТ Р ИСО/HL 7 27931-2015, страница 468 страница 468
  • ГОСТ Р ИСО/HL 7 27931-2015, страница 469 страница 469
  • ГОСТ Р ИСО/HL 7 27931-2015, страница 470 страница 470
  • ГОСТ Р ИСО/HL 7 27931-2015, страница 471 страница 471
  • ГОСТ Р ИСО/HL 7 27931-2015, страница 472 страница 472
  • ГОСТ Р ИСО/HL 7 27931-2015, страница 473 страница 473
  • ГОСТ Р ИСО/HL 7 27931-2015, страница 474 страница 474
  • ГОСТ Р ИСО/HL 7 27931-2015, страница 475 страница 475
  • ГОСТ Р ИСО/HL 7 27931-2015, страница 476 страница 476
  • ГОСТ Р ИСО/HL 7 27931-2015, страница 477 страница 477
  • ГОСТ Р ИСО/HL 7 27931-2015, страница 478 страница 478
  • ГОСТ Р ИСО/HL 7 27931-2015, страница 479 страница 479
  • ГОСТ Р ИСО/HL 7 27931-2015, страница 480 страница 480
  • ГОСТ Р ИСО/HL 7 27931-2015, страница 481 страница 481
  • ГОСТ Р ИСО/HL 7 27931-2015, страница 482 страница 482
  • ГОСТ Р ИСО/HL 7 27931-2015, страница 483 страница 483
  • ГОСТ Р ИСО/HL 7 27931-2015, страница 484 страница 484
  • ГОСТ Р ИСО/HL 7 27931-2015, страница 485 страница 485
  • ГОСТ Р ИСО/HL 7 27931-2015, страница 486 страница 486
  • ГОСТ Р ИСО/HL 7 27931-2015, страница 487 страница 487
  • ГОСТ Р ИСО/HL 7 27931-2015, страница 488 страница 488
  • ГОСТ Р ИСО/HL 7 27931-2015, страница 489 страница 489
  • ГОСТ Р ИСО/HL 7 27931-2015, страница 490 страница 490
  • ГОСТ Р ИСО/HL 7 27931-2015, страница 491 страница 491
  • ГОСТ Р ИСО/HL 7 27931-2015, страница 492 страница 492
  • ГОСТ Р ИСО/HL 7 27931-2015, страница 493 страница 493
  • ГОСТ Р ИСО/HL 7 27931-2015, страница 494 страница 494
  • ГОСТ Р ИСО/HL 7 27931-2015, страница 495 страница 495
  • ГОСТ Р ИСО/HL 7 27931-2015, страница 496 страница 496
  • ГОСТ Р ИСО/HL 7 27931-2015, страница 497 страница 497
  • ГОСТ Р ИСО/HL 7 27931-2015, страница 498 страница 498
  • ГОСТ Р ИСО/HL 7 27931-2015, страница 499 страница 499
  • ГОСТ Р ИСО/HL 7 27931-2015, страница 500 страница 500
  • ГОСТ Р ИСО/HL 7 27931-2015, страница 501 страница 501
  • ГОСТ Р ИСО/HL 7 27931-2015, страница 502 страница 502
  • ГОСТ Р ИСО/HL 7 27931-2015, страница 503 страница 503
  • ГОСТ Р ИСО/HL 7 27931-2015, страница 504 страница 504
  • ГОСТ Р ИСО/HL 7 27931-2015, страница 505 страница 505
  • ГОСТ Р ИСО/HL 7 27931-2015, страница 506 страница 506
  • ГОСТ Р ИСО/HL 7 27931-2015, страница 507 страница 507
  • ГОСТ Р ИСО/HL 7 27931-2015, страница 508 страница 508
  • ГОСТ Р ИСО/HL 7 27931-2015, страница 509 страница 509
  • ГОСТ Р ИСО/HL 7 27931-2015, страница 510 страница 510
  • ГОСТ Р ИСО/HL 7 27931-2015, страница 511 страница 511
  • ГОСТ Р ИСО/HL 7 27931-2015, страница 512 страница 512
  • ГОСТ Р ИСО/HL 7 27931-2015, страница 513 страница 513
  • ГОСТ Р ИСО/HL 7 27931-2015, страница 514 страница 514
  • ГОСТ Р ИСО/HL 7 27931-2015, страница 515 страница 515
  • ГОСТ Р ИСО/HL 7 27931-2015, страница 516 страница 516
  • ГОСТ Р ИСО/HL 7 27931-2015, страница 517 страница 517
  • ГОСТ Р ИСО/HL 7 27931-2015, страница 518 страница 518
  • ГОСТ Р ИСО/HL 7 27931-2015, страница 519 страница 519
  • ГОСТ Р ИСО/HL 7 27931-2015, страница 520 страница 520
  • ГОСТ Р ИСО/HL 7 27931-2015, страница 521 страница 521
  • ГОСТ Р ИСО/HL 7 27931-2015, страница 522 страница 522
  • ГОСТ Р ИСО/HL 7 27931-2015, страница 523 страница 523
  • ГОСТ Р ИСО/HL 7 27931-2015, страница 524 страница 524
  • ГОСТ Р ИСО/HL 7 27931-2015, страница 525 страница 525
  • ГОСТ Р ИСО/HL 7 27931-2015, страница 526 страница 526
  • ГОСТ Р ИСО/HL 7 27931-2015, страница 527 страница 527
  • ГОСТ Р ИСО/HL 7 27931-2015, страница 528 страница 528
  • ГОСТ Р ИСО/HL 7 27931-2015, страница 529 страница 529
  • ГОСТ Р ИСО/HL 7 27931-2015, страница 530 страница 530
  • ГОСТ Р ИСО/HL 7 27931-2015, страница 531 страница 531
  • ГОСТ Р ИСО/HL 7 27931-2015, страница 532 страница 532
  • ГОСТ Р ИСО/HL 7 27931-2015, страница 533 страница 533
  • ГОСТ Р ИСО/HL 7 27931-2015, страница 534 страница 534
  • ГОСТ Р ИСО/HL 7 27931-2015, страница 535 страница 535
  • ГОСТ Р ИСО/HL 7 27931-2015, страница 536 страница 536
  • ГОСТ Р ИСО/HL 7 27931-2015, страница 537 страница 537
  • ГОСТ Р ИСО/HL 7 27931-2015, страница 538 страница 538
  • ГОСТ Р ИСО/HL 7 27931-2015, страница 539 страница 539
  • ГОСТ Р ИСО/HL 7 27931-2015, страница 540 страница 540
  • ГОСТ Р ИСО/HL 7 27931-2015, страница 541 страница 541
  • ГОСТ Р ИСО/HL 7 27931-2015, страница 542 страница 542
  • ГОСТ Р ИСО/HL 7 27931-2015, страница 543 страница 543
  • ГОСТ Р ИСО/HL 7 27931-2015, страница 544 страница 544
  • ГОСТ Р ИСО/HL 7 27931-2015, страница 545 страница 545
  • ГОСТ Р ИСО/HL 7 27931-2015, страница 546 страница 546
  • ГОСТ Р ИСО/HL 7 27931-2015, страница 547 страница 547
  • ГОСТ Р ИСО/HL 7 27931-2015, страница 548 страница 548
  • ГОСТ Р ИСО/HL 7 27931-2015, страница 549 страница 549
  • ГОСТ Р ИСО/HL 7 27931-2015, страница 550 страница 550
  • ГОСТ Р ИСО/HL 7 27931-2015, страница 551 страница 551
  • ГОСТ Р ИСО/HL 7 27931-2015, страница 552 страница 552
  • ГОСТ Р ИСО/HL 7 27931-2015, страница 553 страница 553
  • ГОСТ Р ИСО/HL 7 27931-2015, страница 554 страница 554
  • ГОСТ Р ИСО/HL 7 27931-2015, страница 555 страница 555
  • ГОСТ Р ИСО/HL 7 27931-2015, страница 556 страница 556
  • ГОСТ Р ИСО/HL 7 27931-2015, страница 557 страница 557
  • ГОСТ Р ИСО/HL 7 27931-2015, страница 558 страница 558
  • ГОСТ Р ИСО/HL 7 27931-2015, страница 559 страница 559
  • ГОСТ Р ИСО/HL 7 27931-2015, страница 560 страница 560
  • ГОСТ Р ИСО/HL 7 27931-2015, страница 561 страница 561
  • ГОСТ Р ИСО/HL 7 27931-2015, страница 562 страница 562
  • ГОСТ Р ИСО/HL 7 27931-2015, страница 563 страница 563
  • ГОСТ Р ИСО/HL 7 27931-2015, страница 564 страница 564
  • ГОСТ Р ИСО/HL 7 27931-2015, страница 565 страница 565
  • ГОСТ Р ИСО/HL 7 27931-2015, страница 566 страница 566
  • ГОСТ Р ИСО/HL 7 27931-2015, страница 567 страница 567
  • ГОСТ Р ИСО/HL 7 27931-2015, страница 568 страница 568
  • ГОСТ Р ИСО/HL 7 27931-2015, страница 569 страница 569
  • ГОСТ Р ИСО/HL 7 27931-2015, страница 570 страница 570
  • ГОСТ Р ИСО/HL 7 27931-2015, страница 571 страница 571
  • ГОСТ Р ИСО/HL 7 27931-2015, страница 572 страница 572
  • ГОСТ Р ИСО/HL 7 27931-2015, страница 573 страница 573
  • ГОСТ Р ИСО/HL 7 27931-2015, страница 574 страница 574
  • ГОСТ Р ИСО/HL 7 27931-2015, страница 575 страница 575
  • ГОСТ Р ИСО/HL 7 27931-2015, страница 576 страница 576
  • ГОСТ Р ИСО/HL 7 27931-2015, страница 577 страница 577
  • ГОСТ Р ИСО/HL 7 27931-2015, страница 578 страница 578
  • ГОСТ Р ИСО/HL 7 27931-2015, страница 579 страница 579
  • ГОСТ Р ИСО/HL 7 27931-2015, страница 580 страница 580
  • ГОСТ Р ИСО/HL 7 27931-2015, страница 581 страница 581
  • ГОСТ Р ИСО/HL 7 27931-2015, страница 582 страница 582
  • ГОСТ Р ИСО/HL 7 27931-2015, страница 583 страница 583
  • ГОСТ Р ИСО/HL 7 27931-2015, страница 584 страница 584
  • ГОСТ Р ИСО/HL 7 27931-2015, страница 585 страница 585
  • ГОСТ Р ИСО/HL 7 27931-2015, страница 586 страница 586
  • ГОСТ Р ИСО/HL 7 27931-2015, страница 587 страница 587
  • ГОСТ Р ИСО/HL 7 27931-2015, страница 588 страница 588
  • ГОСТ Р ИСО/HL 7 27931-2015, страница 589 страница 589
  • ГОСТ Р ИСО/HL 7 27931-2015, страница 590 страница 590
  • ГОСТ Р ИСО/HL 7 27931-2015, страница 591 страница 591
  • ГОСТ Р ИСО/HL 7 27931-2015, страница 592 страница 592
  • ГОСТ Р ИСО/HL 7 27931-2015, страница 593 страница 593
  • ГОСТ Р ИСО/HL 7 27931-2015, страница 594 страница 594
  • ГОСТ Р ИСО/HL 7 27931-2015, страница 595 страница 595
  • ГОСТ Р ИСО/HL 7 27931-2015, страница 596 страница 596
  • ГОСТ Р ИСО/HL 7 27931-2015, страница 597 страница 597
  • ГОСТ Р ИСО/HL 7 27931-2015, страница 598 страница 598
  • ГОСТ Р ИСО/HL 7 27931-2015, страница 599 страница 599
  • ГОСТ Р ИСО/HL 7 27931-2015, страница 600 страница 600
  • ГОСТ Р ИСО/HL 7 27931-2015, страница 601 страница 601
  • ГОСТ Р ИСО/HL 7 27931-2015, страница 602 страница 602
  • ГОСТ Р ИСО/HL 7 27931-2015, страница 603 страница 603
  • ГОСТ Р ИСО/HL 7 27931-2015, страница 604 страница 604
  • ГОСТ Р ИСО/HL 7 27931-2015, страница 605 страница 605
  • ГОСТ Р ИСО/HL 7 27931-2015, страница 606 страница 606
  • ГОСТ Р ИСО/HL 7 27931-2015, страница 607 страница 607
  • ГОСТ Р ИСО/HL 7 27931-2015, страница 608 страница 608
  • ГОСТ Р ИСО/HL 7 27931-2015, страница 609 страница 609
  • ГОСТ Р ИСО/HL 7 27931-2015, страница 610 страница 610
  • ГОСТ Р ИСО/HL 7 27931-2015, страница 611 страница 611
  • ГОСТ Р ИСО/HL 7 27931-2015, страница 612 страница 612
  • ГОСТ Р ИСО/HL 7 27931-2015, страница 613 страница 613
  • ГОСТ Р ИСО/HL 7 27931-2015, страница 614 страница 614
  • ГОСТ Р ИСО/HL 7 27931-2015, страница 615 страница 615
  • ГОСТ Р ИСО/HL 7 27931-2015, страница 616 страница 616
  • ГОСТ Р ИСО/HL 7 27931-2015, страница 617 страница 617
  • ГОСТ Р ИСО/HL 7 27931-2015, страница 618 страница 618
  • ГОСТ Р ИСО/HL 7 27931-2015, страница 619 страница 619
  • ГОСТ Р ИСО/HL 7 27931-2015, страница 620 страница 620
  • ГОСТ Р ИСО/HL 7 27931-2015, страница 621 страница 621
  • ГОСТ Р ИСО/HL 7 27931-2015, страница 622 страница 622
  • ГОСТ Р ИСО/HL 7 27931-2015, страница 623 страница 623
  • ГОСТ Р ИСО/HL 7 27931-2015, страница 624 страница 624
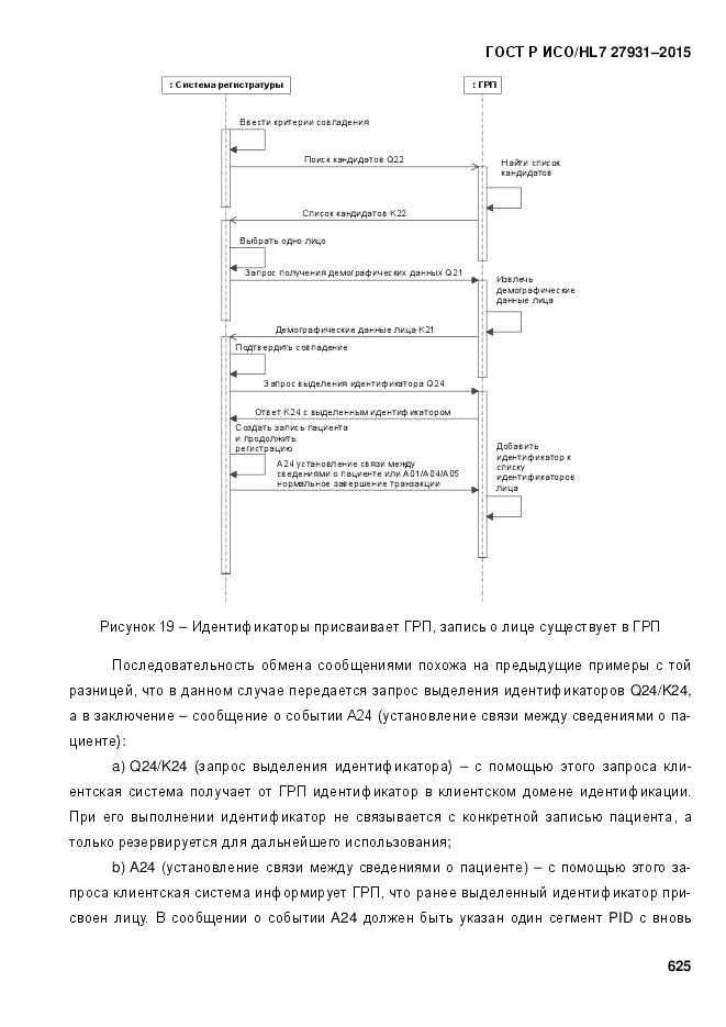
  • ГОСТ Р ИСО/HL 7 27931-2015, страница 625 страница 625
  • ГОСТ Р ИСО/HL 7 27931-2015, страница 626 страница 626
  • ГОСТ Р ИСО/HL 7 27931-2015, страница 627 страница 627
  • ГОСТ Р ИСО/HL 7 27931-2015, страница 628 страница 628
  • ГОСТ Р ИСО/HL 7 27931-2015, страница 629 страница 629
  • ГОСТ Р ИСО/HL 7 27931-2015, страница 630 страница 630
  • ГОСТ Р ИСО/HL 7 27931-2015, страница 631 страница 631
  • ГОСТ Р ИСО/HL 7 27931-2015, страница 632 страница 632
  • ГОСТ Р ИСО/HL 7 27931-2015, страница 633 страница 633
  • ГОСТ Р ИСО/HL 7 27931-2015, страница 634 страница 634
  • ГОСТ Р ИСО/HL 7 27931-2015, страница 635 страница 635
  • ГОСТ Р ИСО/HL 7 27931-2015, страница 636 страница 636
  • ГОСТ Р ИСО/HL 7 27931-2015, страница 637 страница 637
  • ГОСТ Р ИСО/HL 7 27931-2015, страница 638 страница 638
  • ГОСТ Р ИСО/HL 7 27931-2015, страница 639 страница 639
  • ГОСТ Р ИСО/HL 7 27931-2015, страница 640 страница 640
  • ГОСТ Р ИСО/HL 7 27931-2015, страница 641 страница 641
  • ГОСТ Р ИСО/HL 7 27931-2015, страница 642 страница 642
  • ГОСТ Р ИСО/HL 7 27931-2015, страница 643 страница 643
  • ГОСТ Р ИСО/HL 7 27931-2015, страница 644 страница 644
  • ГОСТ Р ИСО/HL 7 27931-2015, страница 645 страница 645
  • ГОСТ Р ИСО/HL 7 27931-2015, страница 646 страница 646
  • ГОСТ Р ИСО/HL 7 27931-2015, страница 647 страница 647
  • ГОСТ Р ИСО/HL 7 27931-2015, страница 648 страница 648
  • ГОСТ Р ИСО/HL 7 27931-2015, страница 649 страница 649
  • ГОСТ Р ИСО/HL 7 27931-2015, страница 650 страница 650
  • ГОСТ Р ИСО/HL 7 27931-2015, страница 651 страница 651
  • ГОСТ Р ИСО/HL 7 27931-2015, страница 652 страница 652
  • ГОСТ Р ИСО/HL 7 27931-2015, страница 653 страница 653
  • ГОСТ Р ИСО/HL 7 27931-2015, страница 654 страница 654
  • ГОСТ Р ИСО/HL 7 27931-2015, страница 655 страница 655
  • ГОСТ Р ИСО/HL 7 27931-2015, страница 656 страница 656
  • ГОСТ Р ИСО/HL 7 27931-2015, страница 657 страница 657
  • ГОСТ Р ИСО/HL 7 27931-2015, страница 658 страница 658
  • ГОСТ Р ИСО/HL 7 27931-2015, страница 659 страница 659
  • ГОСТ Р ИСО/HL 7 27931-2015, страница 660 страница 660
  • ГОСТ Р ИСО/HL 7 27931-2015, страница 661 страница 661
  • ГОСТ Р ИСО/HL 7 27931-2015, страница 662 страница 662
  • ГОСТ Р ИСО/HL 7 27931-2015, страница 663 страница 663
  • ГОСТ Р ИСО/HL 7 27931-2015, страница 664 страница 664
  • ГОСТ Р ИСО/HL 7 27931-2015, страница 665 страница 665
  • ГОСТ Р ИСО/HL 7 27931-2015, страница 666 страница 666
  • ГОСТ Р ИСО/HL 7 27931-2015, страница 667 страница 667
  • ГОСТ Р ИСО/HL 7 27931-2015, страница 668 страница 668
  • ГОСТ Р ИСО/HL 7 27931-2015, страница 669 страница 669
  • ГОСТ Р ИСО/HL 7 27931-2015, страница 670 страница 670
  • ГОСТ Р ИСО/HL 7 27931-2015, страница 671 страница 671
  • ГОСТ Р ИСО/HL 7 27931-2015, страница 672 страница 672
  • ГОСТ Р ИСО/HL 7 27931-2015, страница 673 страница 673
  • ГОСТ Р ИСО/HL 7 27931-2015, страница 674 страница 674
  • ГОСТ Р ИСО/HL 7 27931-2015, страница 675 страница 675
  • ГОСТ Р ИСО/HL 7 27931-2015, страница 676 страница 676
  • ГОСТ Р ИСО/HL 7 27931-2015, страница 677 страница 677
  • ГОСТ Р ИСО/HL 7 27931-2015, страница 678 страница 678
  • ГОСТ Р ИСО/HL 7 27931-2015, страница 679 страница 679
  • ГОСТ Р ИСО/HL 7 27931-2015, страница 680 страница 680
  • ГОСТ Р ИСО/HL 7 27931-2015, страница 681 страница 681
  • ГОСТ Р ИСО/HL 7 27931-2015, страница 682 страница 682
  • ГОСТ Р ИСО/HL 7 27931-2015, страница 683 страница 683
  • ГОСТ Р ИСО/HL 7 27931-2015, страница 684 страница 684
  • ГОСТ Р ИСО/HL 7 27931-2015, страница 685 страница 685
  • ГОСТ Р ИСО/HL 7 27931-2015, страница 686 страница 686
  • ГОСТ Р ИСО/HL 7 27931-2015, страница 687 страница 687
  • ГОСТ Р ИСО/HL 7 27931-2015, страница 688 страница 688
  • ГОСТ Р ИСО/HL 7 27931-2015, страница 689 страница 689
  • ГОСТ Р ИСО/HL 7 27931-2015, страница 690 страница 690
  • ГОСТ Р ИСО/HL 7 27931-2015, страница 691 страница 691
  • ГОСТ Р ИСО/HL 7 27931-2015, страница 692 страница 692
  • ГОСТ Р ИСО/HL 7 27931-2015, страница 693 страница 693
  • ГОСТ Р ИСО/HL 7 27931-2015, страница 694 страница 694
  • ГОСТ Р ИСО/HL 7 27931-2015, страница 695 страница 695
  • ГОСТ Р ИСО/HL 7 27931-2015, страница 696 страница 696
  • ГОСТ Р ИСО/HL 7 27931-2015, страница 697 страница 697
  • ГОСТ Р ИСО/HL 7 27931-2015, страница 698 страница 698
  • ГОСТ Р ИСО/HL 7 27931-2015, страница 699 страница 699
  • ГОСТ Р ИСО/HL 7 27931-2015, страница 700 страница 700
  • ГОСТ Р ИСО/HL 7 27931-2015, страница 701 страница 701
  • ГОСТ Р ИСО/HL 7 27931-2015, страница 702 страница 702
  • ГОСТ Р ИСО/HL 7 27931-2015, страница 703 страница 703
  • ГОСТ Р ИСО/HL 7 27931-2015, страница 704 страница 704
  • ГОСТ Р ИСО/HL 7 27931-2015, страница 705 страница 705
  • ГОСТ Р ИСО/HL 7 27931-2015, страница 706 страница 706
  • ГОСТ Р ИСО/HL 7 27931-2015, страница 707 страница 707
  • ГОСТ Р ИСО/HL 7 27931-2015, страница 708 страница 708
  • ГОСТ Р ИСО/HL 7 27931-2015, страница 709 страница 709
  • ГОСТ Р ИСО/HL 7 27931-2015, страница 710 страница 710
  • ГОСТ Р ИСО/HL 7 27931-2015, страница 711 страница 711
  • ГОСТ Р ИСО/HL 7 27931-2015, страница 712 страница 712
  • ГОСТ Р ИСО/HL 7 27931-2015, страница 713 страница 713
  • ГОСТ Р ИСО/HL 7 27931-2015, страница 714 страница 714
  • ГОСТ Р ИСО/HL 7 27931-2015, страница 715 страница 715
  • ГОСТ Р ИСО/HL 7 27931-2015, страница 716 страница 716
  • ГОСТ Р ИСО/HL 7 27931-2015, страница 717 страница 717
  • ГОСТ Р ИСО/HL 7 27931-2015, страница 718 страница 718
  • ГОСТ Р ИСО/HL 7 27931-2015, страница 719 страница 719
  • ГОСТ Р ИСО/HL 7 27931-2015, страница 720 страница 720
  • ГОСТ Р ИСО/HL 7 27931-2015, страница 721 страница 721
  • ГОСТ Р ИСО/HL 7 27931-2015, страница 722 страница 722
  • ГОСТ Р ИСО/HL 7 27931-2015, страница 723 страница 723
  • ГОСТ Р ИСО/HL 7 27931-2015, страница 724 страница 724
  • ГОСТ Р ИСО/HL 7 27931-2015, страница 725 страница 725
  • ГОСТ Р ИСО/HL 7 27931-2015, страница 726 страница 726
  • ГОСТ Р ИСО/HL 7 27931-2015, страница 727 страница 727
  • ГОСТ Р ИСО/HL 7 27931-2015, страница 728 страница 728
  • ГОСТ Р ИСО/HL 7 27931-2015, страница 729 страница 729
  • ГОСТ Р ИСО/HL 7 27931-2015, страница 730 страница 730
  • ГОСТ Р ИСО/HL 7 27931-2015, страница 731 страница 731
  • ГОСТ Р ИСО/HL 7 27931-2015, страница 732 страница 732
  • ГОСТ Р ИСО/HL 7 27931-2015, страница 733 страница 733
  • ГОСТ Р ИСО/HL 7 27931-2015, страница 734 страница 734
  • ГОСТ Р ИСО/HL 7 27931-2015, страница 735 страница 735
  • ГОСТ Р ИСО/HL 7 27931-2015, страница 736 страница 736
  • ГОСТ Р ИСО/HL 7 27931-2015, страница 737 страница 737
  • ГОСТ Р ИСО/HL 7 27931-2015, страница 738 страница 738
  • ГОСТ Р ИСО/HL 7 27931-2015, страница 739 страница 739
  • ГОСТ Р ИСО/HL 7 27931-2015, страница 740 страница 740
  • ГОСТ Р ИСО/HL 7 27931-2015, страница 741 страница 741
  • ГОСТ Р ИСО/HL 7 27931-2015, страница 742 страница 742
  • ГОСТ Р ИСО/HL 7 27931-2015, страница 743 страница 743
  • ГОСТ Р ИСО/HL 7 27931-2015, страница 744 страница 744
  • ГОСТ Р ИСО/HL 7 27931-2015, страница 745 страница 745
  • ГОСТ Р ИСО/HL 7 27931-2015, страница 746 страница 746
  • ГОСТ Р ИСО/HL 7 27931-2015, страница 747 страница 747
  • ГОСТ Р ИСО/HL 7 27931-2015, страница 748 страница 748
  • ГОСТ Р ИСО/HL 7 27931-2015, страница 749 страница 749
  • ГОСТ Р ИСО/HL 7 27931-2015, страница 750 страница 750
  • ГОСТ Р ИСО/HL 7 27931-2015, страница 751 страница 751
  • ГОСТ Р ИСО/HL 7 27931-2015, страница 752 страница 752
  • ГОСТ Р ИСО/HL 7 27931-2015, страница 753 страница 753
  • ГОСТ Р ИСО/HL 7 27931-2015, страница 754 страница 754
  • ГОСТ Р ИСО/HL 7 27931-2015, страница 755 страница 755
  • ГОСТ Р ИСО/HL 7 27931-2015, страница 756 страница 756
  • ГОСТ Р ИСО/HL 7 27931-2015, страница 757 страница 757
  • ГОСТ Р ИСО/HL 7 27931-2015, страница 758 страница 758
  • ГОСТ Р ИСО/HL 7 27931-2015, страница 759 страница 759
  • ГОСТ Р ИСО/HL 7 27931-2015, страница 760 страница 760
  • ГОСТ Р ИСО/HL 7 27931-2015, страница 761 страница 761
  • ГОСТ Р ИСО/HL 7 27931-2015, страница 762 страница 762
  • ГОСТ Р ИСО/HL 7 27931-2015, страница 763 страница 763
  • ГОСТ Р ИСО/HL 7 27931-2015, страница 764 страница 764
  • ГОСТ Р ИСО/HL 7 27931-2015, страница 765 страница 765
  • ГОСТ Р ИСО/HL 7 27931-2015, страница 766 страница 766
  • ГОСТ Р ИСО/HL 7 27931-2015, страница 767 страница 767
  • ГОСТ Р ИСО/HL 7 27931-2015, страница 768 страница 768
  • ГОСТ Р ИСО/HL 7 27931-2015, страница 769 страница 769
  • ГОСТ Р ИСО/HL 7 27931-2015, страница 770 страница 770
  • ГОСТ Р ИСО/HL 7 27931-2015, страница 771 страница 771
  • ГОСТ Р ИСО/HL 7 27931-2015, страница 772 страница 772
  • ГОСТ Р ИСО/HL 7 27931-2015, страница 773 страница 773
  • ГОСТ Р ИСО/HL 7 27931-2015, страница 774 страница 774
  • ГОСТ Р ИСО/HL 7 27931-2015, страница 775 страница 775
  • ГОСТ Р ИСО/HL 7 27931-2015, страница 776 страница 776
  • ГОСТ Р ИСО/HL 7 27931-2015, страница 777 страница 777
  • ГОСТ Р ИСО/HL 7 27931-2015, страница 778 страница 778
  • ГОСТ Р ИСО/HL 7 27931-2015, страница 779 страница 779
  • ГОСТ Р ИСО/HL 7 27931-2015, страница 780 страница 780
  • ГОСТ Р ИСО/HL 7 27931-2015, страница 781 страница 781
  • ГОСТ Р ИСО/HL 7 27931-2015, страница 782 страница 782
  • ГОСТ Р ИСО/HL 7 27931-2015, страница 783 страница 783
  • ГОСТ Р ИСО/HL 7 27931-2015, страница 784 страница 784
  • ГОСТ Р ИСО/HL 7 27931-2015, страница 785 страница 785
  • ГОСТ Р ИСО/HL 7 27931-2015, страница 786 страница 786
  • ГОСТ Р ИСО/HL 7 27931-2015, страница 787 страница 787
  • ГОСТ Р ИСО/HL 7 27931-2015, страница 788 страница 788
  • ГОСТ Р ИСО/HL 7 27931-2015, страница 789 страница 789
  • ГОСТ Р ИСО/HL 7 27931-2015, страница 790 страница 790
  • ГОСТ Р ИСО/HL 7 27931-2015, страница 791 страница 791
  • ГОСТ Р ИСО/HL 7 27931-2015, страница 792 страница 792
  • ГОСТ Р ИСО/HL 7 27931-2015, страница 793 страница 793
  • ГОСТ Р ИСО/HL 7 27931-2015, страница 794 страница 794
  • ГОСТ Р ИСО/HL 7 27931-2015, страница 795 страница 795
  • ГОСТ Р ИСО/HL 7 27931-2015, страница 796 страница 796
  • ГОСТ Р ИСО/HL 7 27931-2015, страница 797 страница 797
  • ГОСТ Р ИСО/HL 7 27931-2015, страница 798 страница 798
  • ГОСТ Р ИСО/HL 7 27931-2015, страница 799 страница 799
  • ГОСТ Р ИСО/HL 7 27931-2015, страница 800 страница 800
  • ГОСТ Р ИСО/HL 7 27931-2015, страница 801 страница 801
  • ГОСТ Р ИСО/HL 7 27931-2015, страница 802 страница 802
  • ГОСТ Р ИСО/HL 7 27931-2015, страница 803 страница 803
  • ГОСТ Р ИСО/HL 7 27931-2015, страница 804 страница 804
  • ГОСТ Р ИСО/HL 7 27931-2015, страница 805 страница 805
  • ГОСТ Р ИСО/HL 7 27931-2015, страница 806 страница 806
  • ГОСТ Р ИСО/HL 7 27931-2015, страница 807 страница 807
  • ГОСТ Р ИСО/HL 7 27931-2015, страница 808 страница 808
  • ГОСТ Р ИСО/HL 7 27931-2015, страница 809 страница 809
  • ГОСТ Р ИСО/HL 7 27931-2015, страница 810 страница 810
  • ГОСТ Р ИСО/HL 7 27931-2015, страница 811 страница 811
  • ГОСТ Р ИСО/HL 7 27931-2015, страница 812 страница 812
  • ГОСТ Р ИСО/HL 7 27931-2015, страница 813 страница 813
  • ГОСТ Р ИСО/HL 7 27931-2015, страница 814 страница 814
  • ГОСТ Р ИСО/HL 7 27931-2015, страница 815 страница 815
  • ГОСТ Р ИСО/HL 7 27931-2015, страница 816 страница 816
  • ГОСТ Р ИСО/HL 7 27931-2015, страница 817 страница 817
  • ГОСТ Р ИСО/HL 7 27931-2015, страница 818 страница 818
  • ГОСТ Р ИСО/HL 7 27931-2015, страница 819 страница 819
  • ГОСТ Р ИСО/HL 7 27931-2015, страница 820 страница 820
  • ГОСТ Р ИСО/HL 7 27931-2015, страница 821 страница 821
  • ГОСТ Р ИСО/HL 7 27931-2015, страница 822 страница 822
  • ГОСТ Р ИСО/HL 7 27931-2015, страница 823 страница 823
  • ГОСТ Р ИСО/HL 7 27931-2015, страница 824 страница 824
  • ГОСТ Р ИСО/HL 7 27931-2015, страница 825 страница 825
  • ГОСТ Р ИСО/HL 7 27931-2015, страница 826 страница 826
  • ГОСТ Р ИСО/HL 7 27931-2015, страница 827 страница 827
  • ГОСТ Р ИСО/HL 7 27931-2015, страница 828 страница 828
  • ГОСТ Р ИСО/HL 7 27931-2015, страница 829 страница 829
  • ГОСТ Р ИСО/HL 7 27931-2015, страница 830 страница 830
  • ГОСТ Р ИСО/HL 7 27931-2015, страница 831 страница 831
  • ГОСТ Р ИСО/HL 7 27931-2015, страница 832 страница 832
  • ГОСТ Р ИСО/HL 7 27931-2015, страница 833 страница 833
  • ГОСТ Р ИСО/HL 7 27931-2015, страница 834 страница 834
  • ГОСТ Р ИСО/HL 7 27931-2015, страница 835 страница 835
  • ГОСТ Р ИСО/HL 7 27931-2015, страница 836 страница 836
  • ГОСТ Р ИСО/HL 7 27931-2015, страница 837 страница 837
  • ГОСТ Р ИСО/HL 7 27931-2015, страница 838 страница 838
  • ГОСТ Р ИСО/HL 7 27931-2015, страница 839 страница 839
  • ГОСТ Р ИСО/HL 7 27931-2015, страница 840 страница 840
  • ГОСТ Р ИСО/HL 7 27931-2015, страница 841 страница 841
  • ГОСТ Р ИСО/HL 7 27931-2015, страница 842 страница 842
  • ГОСТ Р ИСО/HL 7 27931-2015, страница 843 страница 843
  • ГОСТ Р ИСО/HL 7 27931-2015, страница 844 страница 844
  • ГОСТ Р ИСО/HL 7 27931-2015, страница 845 страница 845
  • ГОСТ Р ИСО/HL 7 27931-2015, страница 846 страница 846
  • ГОСТ Р ИСО/HL 7 27931-2015, страница 847 страница 847
  • ГОСТ Р ИСО/HL 7 27931-2015, страница 848 страница 848
  • ГОСТ Р ИСО/HL 7 27931-2015, страница 849 страница 849
  • ГОСТ Р ИСО/HL 7 27931-2015, страница 850 страница 850
  • ГОСТ Р ИСО/HL 7 27931-2015, страница 851 страница 851
  • ГОСТ Р ИСО/HL 7 27931-2015, страница 852 страница 852
  • ГОСТ Р ИСО/HL 7 27931-2015, страница 853 страница 853
  • ГОСТ Р ИСО/HL 7 27931-2015, страница 854 страница 854
  • ГОСТ Р ИСО/HL 7 27931-2015, страница 855 страница 855
  • ГОСТ Р ИСО/HL 7 27931-2015, страница 856 страница 856
  • ГОСТ Р ИСО/HL 7 27931-2015, страница 857 страница 857
  • ГОСТ Р ИСО/HL 7 27931-2015, страница 858 страница 858
  • ГОСТ Р ИСО/HL 7 27931-2015, страница 859 страница 859
  • ГОСТ Р ИСО/HL 7 27931-2015, страница 860 страница 860
  • ГОСТ Р ИСО/HL 7 27931-2015, страница 861 страница 861
  • ГОСТ Р ИСО/HL 7 27931-2015, страница 862 страница 862
  • ГОСТ Р ИСО/HL 7 27931-2015, страница 863 страница 863
  • ГОСТ Р ИСО/HL 7 27931-2015, страница 864 страница 864
  • ГОСТ Р ИСО/HL 7 27931-2015, страница 865 страница 865
  • ГОСТ Р ИСО/HL 7 27931-2015, страница 866 страница 866
  • ГОСТ Р ИСО/HL 7 27931-2015, страница 867 страница 867
  • ГОСТ Р ИСО/HL 7 27931-2015, страница 868 страница 868
  • ГОСТ Р ИСО/HL 7 27931-2015, страница 869 страница 869
  • ГОСТ Р ИСО/HL 7 27931-2015, страница 870 страница 870
  • ГОСТ Р ИСО/HL 7 27931-2015, страница 871 страница 871
  • ГОСТ Р ИСО/HL 7 27931-2015, страница 872 страница 872
  • ГОСТ Р ИСО/HL 7 27931-2015, страница 873 страница 873
  • ГОСТ Р ИСО/HL 7 27931-2015, страница 874 страница 874
  • ГОСТ Р ИСО/HL 7 27931-2015, страница 875 страница 875
  • ГОСТ Р ИСО/HL 7 27931-2015, страница 876 страница 876
  • ГОСТ Р ИСО/HL 7 27931-2015, страница 877 страница 877
  • ГОСТ Р ИСО/HL 7 27931-2015, страница 878 страница 878
  • ГОСТ Р ИСО/HL 7 27931-2015, страница 879 страница 879
  • ГОСТ Р ИСО/HL 7 27931-2015, страница 880 страница 880
  • ГОСТ Р ИСО/HL 7 27931-2015, страница 881 страница 881
  • ГОСТ Р ИСО/HL 7 27931-2015, страница 882 страница 882
  • ГОСТ Р ИСО/HL 7 27931-2015, страница 883 страница 883
  • ГОСТ Р ИСО/HL 7 27931-2015, страница 884 страница 884
  • ГОСТ Р ИСО/HL 7 27931-2015, страница 885 страница 885
  • ГОСТ Р ИСО/HL 7 27931-2015, страница 886 страница 886
  • ГОСТ Р ИСО/HL 7 27931-2015, страница 887 страница 887
  • ГОСТ Р ИСО/HL 7 27931-2015, страница 888 страница 888
  • ГОСТ Р ИСО/HL 7 27931-2015, страница 889 страница 889
  • ГОСТ Р ИСО/HL 7 27931-2015, страница 890 страница 890
  • ГОСТ Р ИСО/HL 7 27931-2015, страница 891 страница 891
  • ГОСТ Р ИСО/HL 7 27931-2015, страница 892 страница 892
  • ГОСТ Р ИСО/HL 7 27931-2015, страница 893 страница 893
  • ГОСТ Р ИСО/HL 7 27931-2015, страница 894 страница 894
  • ГОСТ Р ИСО/HL 7 27931-2015, страница 895 страница 895
  • ГОСТ Р ИСО/HL 7 27931-2015, страница 896 страница 896
  • ГОСТ Р ИСО/HL 7 27931-2015, страница 897 страница 897
  • ГОСТ Р ИСО/HL 7 27931-2015, страница 898 страница 898
  • ГОСТ Р ИСО/HL 7 27931-2015, страница 899 страница 899
  • ГОСТ Р ИСО/HL 7 27931-2015, страница 900 страница 900
  • ГОСТ Р ИСО/HL 7 27931-2015, страница 901 страница 901
  • ГОСТ Р ИСО/HL 7 27931-2015, страница 902 страница 902
  • ГОСТ Р ИСО/HL 7 27931-2015, страница 903 страница 903
  • ГОСТ Р ИСО/HL 7 27931-2015, страница 904 страница 904
  • ГОСТ Р ИСО/HL 7 27931-2015, страница 905 страница 905
  • ГОСТ Р ИСО/HL 7 27931-2015, страница 906 страница 906
  • ГОСТ Р ИСО/HL 7 27931-2015, страница 907 страница 907
  • ГОСТ Р ИСО/HL 7 27931-2015, страница 908 страница 908
  • ГОСТ Р ИСО/HL 7 27931-2015, страница 909 страница 909
  • ГОСТ Р ИСО/HL 7 27931-2015, страница 910 страница 910
  • ГОСТ Р ИСО/HL 7 27931-2015, страница 911 страница 911
  • ГОСТ Р ИСО/HL 7 27931-2015, страница 912 страница 912
  • ГОСТ Р ИСО/HL 7 27931-2015, страница 913 страница 913
  • ГОСТ Р ИСО/HL 7 27931-2015, страница 914 страница 914
  • ГОСТ Р ИСО/HL 7 27931-2015, страница 915 страница 915
  • ГОСТ Р ИСО/HL 7 27931-2015, страница 916 страница 916
  • ГОСТ Р ИСО/HL 7 27931-2015, страница 917 страница 917
  • ГОСТ Р ИСО/HL 7 27931-2015, страница 918 страница 918
  • ГОСТ Р ИСО/HL 7 27931-2015, страница 919 страница 919
  • ГОСТ Р ИСО/HL 7 27931-2015, страница 920 страница 920
  • ГОСТ Р ИСО/HL 7 27931-2015, страница 921 страница 921
  • ГОСТ Р ИСО/HL 7 27931-2015, страница 922 страница 922
  • ГОСТ Р ИСО/HL 7 27931-2015, страница 923 страница 923
  • ГОСТ Р ИСО/HL 7 27931-2015, страница 924 страница 924
  • ГОСТ Р ИСО/HL 7 27931-2015, страница 925 страница 925
  • ГОСТ Р ИСО/HL 7 27931-2015, страница 926 страница 926
  • ГОСТ Р ИСО/HL 7 27931-2015, страница 927 страница 927
  • ГОСТ Р ИСО/HL 7 27931-2015, страница 928 страница 928
  • ГОСТ Р ИСО/HL 7 27931-2015, страница 929 страница 929
  • ГОСТ Р ИСО/HL 7 27931-2015, страница 930 страница 930
  • ГОСТ Р ИСО/HL 7 27931-2015, страница 931 страница 931
  • ГОСТ Р ИСО/HL 7 27931-2015, страница 932 страница 932
  • ГОСТ Р ИСО/HL 7 27931-2015, страница 933 страница 933
  • ГОСТ Р ИСО/HL 7 27931-2015, страница 934 страница 934
  • ГОСТ Р ИСО/HL 7 27931-2015, страница 935 страница 935
  • ГОСТ Р ИСО/HL 7 27931-2015, страница 936 страница 936
  • ГОСТ Р ИСО/HL 7 27931-2015, страница 937 страница 937
  • ГОСТ Р ИСО/HL 7 27931-2015, страница 938 страница 938
  • ГОСТ Р ИСО/HL 7 27931-2015, страница 939 страница 939
  • ГОСТ Р ИСО/HL 7 27931-2015, страница 940 страница 940
  • ГОСТ Р ИСО/HL 7 27931-2015, страница 941 страница 941
  • ГОСТ Р ИСО/HL 7 27931-2015, страница 942 страница 942
  • ГОСТ Р ИСО/HL 7 27931-2015, страница 943 страница 943
  • ГОСТ Р ИСО/HL 7 27931-2015, страница 944 страница 944
  • ГОСТ Р ИСО/HL 7 27931-2015, страница 945 страница 945
  • ГОСТ Р ИСО/HL 7 27931-2015, страница 946 страница 946
  • ГОСТ Р ИСО/HL 7 27931-2015, страница 947 страница 947
  • ГОСТ Р ИСО/HL 7 27931-2015, страница 948 страница 948
  • ГОСТ Р ИСО/HL 7 27931-2015, страница 949 страница 949
  • ГОСТ Р ИСО/HL 7 27931-2015, страница 950 страница 950
  • ГОСТ Р ИСО/HL 7 27931-2015, страница 951 страница 951
  • ГОСТ Р ИСО/HL 7 27931-2015, страница 952 страница 952
  • ГОСТ Р ИСО/HL 7 27931-2015, страница 953 страница 953
  • ГОСТ Р ИСО/HL 7 27931-2015, страница 954 страница 954
  • ГОСТ Р ИСО/HL 7 27931-2015, страница 955 страница 955
  • ГОСТ Р ИСО/HL 7 27931-2015, страница 956 страница 956
  • ГОСТ Р ИСО/HL 7 27931-2015, страница 957 страница 957
  • ГОСТ Р ИСО/HL 7 27931-2015, страница 958 страница 958
  • ГОСТ Р ИСО/HL 7 27931-2015, страница 959 страница 959
  • ГОСТ Р ИСО/HL 7 27931-2015, страница 960 страница 960
  • ГОСТ Р ИСО/HL 7 27931-2015, страница 961 страница 961
  • ГОСТ Р ИСО/HL 7 27931-2015, страница 962 страница 962
  • ГОСТ Р ИСО/HL 7 27931-2015, страница 963 страница 963
  • ГОСТ Р ИСО/HL 7 27931-2015, страница 964 страница 964
  • ГОСТ Р ИСО/HL 7 27931-2015, страница 965 страница 965
  • ГОСТ Р ИСО/HL 7 27931-2015, страница 966 страница 966
  • ГОСТ Р ИСО/HL 7 27931-2015, страница 967 страница 967
  • ГОСТ Р ИСО/HL 7 27931-2015, страница 968 страница 968
  • ГОСТ Р ИСО/HL 7 27931-2015, страница 969 страница 969
  • ГОСТ Р ИСО/HL 7 27931-2015, страница 970 страница 970
  • ГОСТ Р ИСО/HL 7 27931-2015, страница 971 страница 971
  • ГОСТ Р ИСО/HL 7 27931-2015, страница 972 страница 972
  • ГОСТ Р ИСО/HL 7 27931-2015, страница 973 страница 973
  • ГОСТ Р ИСО/HL 7 27931-2015, страница 974 страница 974
  • ГОСТ Р ИСО/HL 7 27931-2015, страница 975 страница 975
  • ГОСТ Р ИСО/HL 7 27931-2015, страница 976 страница 976
  • ГОСТ Р ИСО/HL 7 27931-2015, страница 977 страница 977
  • ГОСТ Р ИСО/HL 7 27931-2015, страница 978 страница 978
  • ГОСТ Р ИСО/HL 7 27931-2015, страница 979 страница 979
  • ГОСТ Р ИСО/HL 7 27931-2015, страница 980 страница 980
  • ГОСТ Р ИСО/HL 7 27931-2015, страница 981 страница 981
  • ГОСТ Р ИСО/HL 7 27931-2015, страница 982 страница 982
  • ГОСТ Р ИСО/HL 7 27931-2015, страница 983 страница 983
  • ГОСТ Р ИСО/HL 7 27931-2015, страница 984 страница 984
  • ГОСТ Р ИСО/HL 7 27931-2015, страница 985 страница 985
  • ГОСТ Р ИСО/HL 7 27931-2015, страница 986 страница 986
  • ГОСТ Р ИСО/HL 7 27931-2015, страница 987 страница 987
  • ГОСТ Р ИСО/HL 7 27931-2015, страница 988 страница 988
  • ГОСТ Р ИСО/HL 7 27931-2015, страница 989 страница 989
  • ГОСТ Р ИСО/HL 7 27931-2015, страница 990 страница 990
  • ГОСТ Р ИСО/HL 7 27931-2015, страница 991 страница 991
  • ГОСТ Р ИСО/HL 7 27931-2015, страница 992 страница 992
  • ГОСТ Р ИСО/HL 7 27931-2015, страница 993 страница 993
  • ГОСТ Р ИСО/HL 7 27931-2015, страница 994 страница 994
  • ГОСТ Р ИСО/HL 7 27931-2015, страница 995 страница 995
  • ГОСТ Р ИСО/HL 7 27931-2015, страница 996 страница 996
  • ГОСТ Р ИСО/HL 7 27931-2015, страница 997 страница 997
  • ГОСТ Р ИСО/HL 7 27931-2015, страница 998 страница 998
  • ГОСТ Р ИСО/HL 7 27931-2015, страница 999 страница 999
  • ГОСТ Р ИСО/HL 7 27931-2015, страница 1000 страница 1000
  • ГОСТ Р ИСО/HL 7 27931-2015, страница 1001 страница 1001
  • ГОСТ Р ИСО/HL 7 27931-2015, страница 1002 страница 1002
  • ГОСТ Р ИСО/HL 7 27931-2015, страница 1003 страница 1003
  • ГОСТ Р ИСО/HL 7 27931-2015, страница 1004 страница 1004
  • ГОСТ Р ИСО/HL 7 27931-2015, страница 1005 страница 1005
  • ГОСТ Р ИСО/HL 7 27931-2015, страница 1006 страница 1006
  • ГОСТ Р ИСО/HL 7 27931-2015, страница 1007 страница 1007
  • ГОСТ Р ИСО/HL 7 27931-2015, страница 1008 страница 1008
  • ГОСТ Р ИСО/HL 7 27931-2015, страница 1009 страница 1009
  • ГОСТ Р ИСО/HL 7 27931-2015, страница 1010 страница 1010
  • ГОСТ Р ИСО/HL 7 27931-2015, страница 1011 страница 1011
  • ГОСТ Р ИСО/HL 7 27931-2015, страница 1012 страница 1012
  • ГОСТ Р ИСО/HL 7 27931-2015, страница 1013 страница 1013
  • ГОСТ Р ИСО/HL 7 27931-2015, страница 1014 страница 1014
  • ГОСТ Р ИСО/HL 7 27931-2015, страница 1015 страница 1015
  • ГОСТ Р ИСО/HL 7 27931-2015, страница 1016 страница 1016
  • ГОСТ Р ИСО/HL 7 27931-2015, страница 1017 страница 1017
  • ГОСТ Р ИСО/HL 7 27931-2015, страница 1018 страница 1018
  • ГОСТ Р ИСО/HL 7 27931-2015, страница 1019 страница 1019
  • ГОСТ Р ИСО/HL 7 27931-2015, страница 1020 страница 1020
  • ГОСТ Р ИСО/HL 7 27931-2015, страница 1021 страница 1021
  • ГОСТ Р ИСО/HL 7 27931-2015, страница 1022 страница 1022
  • ГОСТ Р ИСО/HL 7 27931-2015, страница 1023 страница 1023
  • ГОСТ Р ИСО/HL 7 27931-2015, страница 1024 страница 1024
  • ГОСТ Р ИСО/HL 7 27931-2015, страница 1025 страница 1025
  • ГОСТ Р ИСО/HL 7 27931-2015, страница 1026 страница 1026
  • ГОСТ Р ИСО/HL 7 27931-2015, страница 1027 страница 1027
  • ГОСТ Р ИСО/HL 7 27931-2015, страница 1028 страница 1028
  • ГОСТ Р ИСО/HL 7 27931-2015, страница 1029 страница 1029
  • ГОСТ Р ИСО/HL 7 27931-2015, страница 1030 страница 1030
  • ГОСТ Р ИСО/HL 7 27931-2015, страница 1031 страница 1031
  • ГОСТ Р ИСО/HL 7 27931-2015, страница 1032 страница 1032
  • ГОСТ Р ИСО/HL 7 27931-2015, страница 1033 страница 1033
  • ГОСТ Р ИСО/HL 7 27931-2015, страница 1034 страница 1034
  • ГОСТ Р ИСО/HL 7 27931-2015, страница 1035 страница 1035
  • ГОСТ Р ИСО/HL 7 27931-2015, страница 1036 страница 1036
  • ГОСТ Р ИСО/HL 7 27931-2015, страница 1037 страница 1037
  • ГОСТ Р ИСО/HL 7 27931-2015, страница 1038 страница 1038
  • ГОСТ Р ИСО/HL 7 27931-2015, страница 1039 страница 1039
  • ГОСТ Р ИСО/HL 7 27931-2015, страница 1040 страница 1040
  • ГОСТ Р ИСО/HL 7 27931-2015, страница 1041 страница 1041
  • ГОСТ Р ИСО/HL 7 27931-2015, страница 1042 страница 1042
  • ГОСТ Р ИСО/HL 7 27931-2015, страница 1043 страница 1043
  • ГОСТ Р ИСО/HL 7 27931-2015, страница 1044 страница 1044
  • ГОСТ Р ИСО/HL 7 27931-2015, страница 1045 страница 1045
  • ГОСТ Р ИСО/HL 7 27931-2015, страница 1046 страница 1046
  • ГОСТ Р ИСО/HL 7 27931-2015, страница 1047 страница 1047
  • ГОСТ Р ИСО/HL 7 27931-2015, страница 1048 страница 1048
  • ГОСТ Р ИСО/HL 7 27931-2015, страница 1049 страница 1049
  • ГОСТ Р ИСО/HL 7 27931-2015, страница 1050 страница 1050
  • ГОСТ Р ИСО/HL 7 27931-2015, страница 1051 страница 1051
  • ГОСТ Р ИСО/HL 7 27931-2015, страница 1052 страница 1052
  • ГОСТ Р ИСО/HL 7 27931-2015, страница 1053 страница 1053
  • ГОСТ Р ИСО/HL 7 27931-2015, страница 1054 страница 1054
  • ГОСТ Р ИСО/HL 7 27931-2015, страница 1055 страница 1055
  • ГОСТ Р ИСО/HL 7 27931-2015, страница 1056 страница 1056
  • ГОСТ Р ИСО/HL 7 27931-2015, страница 1057 страница 1057
  • ГОСТ Р ИСО/HL 7 27931-2015, страница 1058 страница 1058
  • ГОСТ Р ИСО/HL 7 27931-2015, страница 1059 страница 1059
  • ГОСТ Р ИСО/HL 7 27931-2015, страница 1060 страница 1060
  • ГОСТ Р ИСО/HL 7 27931-2015, страница 1061 страница 1061
  • ГОСТ Р ИСО/HL 7 27931-2015, страница 1062 страница 1062
  • ГОСТ Р ИСО/HL 7 27931-2015, страница 1063 страница 1063
  • ГОСТ Р ИСО/HL 7 27931-2015, страница 1064 страница 1064
  • ГОСТ Р ИСО/HL 7 27931-2015, страница 1065 страница 1065
  • ГОСТ Р ИСО/HL 7 27931-2015, страница 1066 страница 1066
  • ГОСТ Р ИСО/HL 7 27931-2015, страница 1067 страница 1067
  • ГОСТ Р ИСО/HL 7 27931-2015, страница 1068 страница 1068
  • ГОСТ Р ИСО/HL 7 27931-2015, страница 1069 страница 1069
  • ГОСТ Р ИСО/HL 7 27931-2015, страница 1070 страница 1070
  • ГОСТ Р ИСО/HL 7 27931-2015, страница 1071 страница 1071
  • ГОСТ Р ИСО/HL 7 27931-2015, страница 1072 страница 1072
  • ГОСТ Р ИСО/HL 7 27931-2015, страница 1073 страница 1073
  • ГОСТ Р ИСО/HL 7 27931-2015, страница 1074 страница 1074
  • ГОСТ Р ИСО/HL 7 27931-2015, страница 1075 страница 1075
  • ГОСТ Р ИСО/HL 7 27931-2015, страница 1076 страница 1076
  • ГОСТ Р ИСО/HL 7 27931-2015, страница 1077 страница 1077
  • ГОСТ Р ИСО/HL 7 27931-2015, страница 1078 страница 1078
  • ГОСТ Р ИСО/HL 7 27931-2015, страница 1079 страница 1079
  • ГОСТ Р ИСО/HL 7 27931-2015, страница 1080 страница 1080
  • ГОСТ Р ИСО/HL 7 27931-2015, страница 1081 страница 1081
  • ГОСТ Р ИСО/HL 7 27931-2015, страница 1082 страница 1082
  • ГОСТ Р ИСО/HL 7 27931-2015, страница 1083 страница 1083
  • ГОСТ Р ИСО/HL 7 27931-2015, страница 1084 страница 1084
  • ГОСТ Р ИСО/HL 7 27931-2015, страница 1085 страница 1085
  • ГОСТ Р ИСО/HL 7 27931-2015, страница 1086 страница 1086
  • ГОСТ Р ИСО/HL 7 27931-2015, страница 1087 страница 1087
  • ГОСТ Р ИСО/HL 7 27931-2015, страница 1088 страница 1088
  • ГОСТ Р ИСО/HL 7 27931-2015, страница 1089 страница 1089
  • ГОСТ Р ИСО/HL 7 27931-2015, страница 1090 страница 1090
  • ГОСТ Р ИСО/HL 7 27931-2015, страница 1091 страница 1091
  • ГОСТ Р ИСО/HL 7 27931-2015, страница 1092 страница 1092
  • ГОСТ Р ИСО/HL 7 27931-2015, страница 1093 страница 1093
  • ГОСТ Р ИСО/HL 7 27931-2015, страница 1094 страница 1094
  • ГОСТ Р ИСО/HL 7 27931-2015, страница 1095 страница 1095
  • ГОСТ Р ИСО/HL 7 27931-2015, страница 1096 страница 1096
  • ГОСТ Р ИСО/HL 7 27931-2015, страница 1097 страница 1097
  • ГОСТ Р ИСО/HL 7 27931-2015, страница 1098 страница 1098
  • ГОСТ Р ИСО/HL 7 27931-2015, страница 1099 страница 1099
  • ГОСТ Р ИСО/HL 7 27931-2015, страница 1100 страница 1100
  • ГОСТ Р ИСО/HL 7 27931-2015, страница 1101 страница 1101
  • ГОСТ Р ИСО/HL 7 27931-2015, страница 1102 страница 1102
  • ГОСТ Р ИСО/HL 7 27931-2015, страница 1103 страница 1103
  • ГОСТ Р ИСО/HL 7 27931-2015, страница 1104 страница 1104
  • ГОСТ Р ИСО/HL 7 27931-2015, страница 1105 страница 1105
  • ГОСТ Р ИСО/HL 7 27931-2015, страница 1106 страница 1106
  • ГОСТ Р ИСО/HL 7 27931-2015, страница 1107 страница 1107
  • ГОСТ Р ИСО/HL 7 27931-2015, страница 1108 страница 1108
  • ГОСТ Р ИСО/HL 7 27931-2015, страница 1109 страница 1109
  • ГОСТ Р ИСО/HL 7 27931-2015, страница 1110 страница 1110
  • ГОСТ Р ИСО/HL 7 27931-2015, страница 1111 страница 1111
  • ГОСТ Р ИСО/HL 7 27931-2015, страница 1112 страница 1112
  • ГОСТ Р ИСО/HL 7 27931-2015, страница 1113 страница 1113
  • ГОСТ Р ИСО/HL 7 27931-2015, страница 1114 страница 1114
  • ГОСТ Р ИСО/HL 7 27931-2015, страница 1115 страница 1115
  • ГОСТ Р ИСО/HL 7 27931-2015, страница 1116 страница 1116
  • ГОСТ Р ИСО/HL 7 27931-2015, страница 1117 страница 1117
  • ГОСТ Р ИСО/HL 7 27931-2015, страница 1118 страница 1118
  • ГОСТ Р ИСО/HL 7 27931-2015, страница 1119 страница 1119
  • ГОСТ Р ИСО/HL 7 27931-2015, страница 1120 страница 1120
  • ГОСТ Р ИСО/HL 7 27931-2015, страница 1121 страница 1121
  • ГОСТ Р ИСО/HL 7 27931-2015, страница 1122 страница 1122
  • ГОСТ Р ИСО/HL 7 27931-2015, страница 1123 страница 1123
  • ГОСТ Р ИСО/HL 7 27931-2015, страница 1124 страница 1124
  • ГОСТ Р ИСО/HL 7 27931-2015, страница 1125 страница 1125
  • ГОСТ Р ИСО/HL 7 27931-2015, страница 1126 страница 1126
  • ГОСТ Р ИСО/HL 7 27931-2015, страница 1127 страница 1127
  • ГОСТ Р ИСО/HL 7 27931-2015, страница 1128 страница 1128
  • ГОСТ Р ИСО/HL 7 27931-2015, страница 1129 страница 1129
  • ГОСТ Р ИСО/HL 7 27931-2015, страница 1130 страница 1130
  • ГОСТ Р ИСО/HL 7 27931-2015, страница 1131 страница 1131
  • ГОСТ Р ИСО/HL 7 27931-2015, страница 1132 страница 1132
  • ГОСТ Р ИСО/HL 7 27931-2015, страница 1133 страница 1133
  • ГОСТ Р ИСО/HL 7 27931-2015, страница 1134 страница 1134
  • ГОСТ Р ИСО/HL 7 27931-2015, страница 1135 страница 1135
  • ГОСТ Р ИСО/HL 7 27931-2015, страница 1136 страница 1136
  • ГОСТ Р ИСО/HL 7 27931-2015, страница 1137 страница 1137
  • ГОСТ Р ИСО/HL 7 27931-2015, страница 1138 страница 1138
  • ГОСТ Р ИСО/HL 7 27931-2015, страница 1139 страница 1139
  • ГОСТ Р ИСО/HL 7 27931-2015, страница 1140 страница 1140
  • ГОСТ Р ИСО/HL 7 27931-2015, страница 1141 страница 1141
  • ГОСТ Р ИСО/HL 7 27931-2015, страница 1142 страница 1142
  • ГОСТ Р ИСО/HL 7 27931-2015, страница 1143 страница 1143
  • ГОСТ Р ИСО/HL 7 27931-2015, страница 1144 страница 1144
  • ГОСТ Р ИСО/HL 7 27931-2015, страница 1145 страница 1145
  • ГОСТ Р ИСО/HL 7 27931-2015, страница 1146 страница 1146
  • ГОСТ Р ИСО/HL 7 27931-2015, страница 1147 страница 1147
  • ГОСТ Р ИСО/HL 7 27931-2015, страница 1148 страница 1148
  • ГОСТ Р ИСО/HL 7 27931-2015, страница 1149 страница 1149
  • ГОСТ Р ИСО/HL 7 27931-2015, страница 1150 страница 1150
  • ГОСТ Р ИСО/HL 7 27931-2015, страница 1151 страница 1151
  • ГОСТ Р ИСО/HL 7 27931-2015, страница 1152 страница 1152
  • ГОСТ Р ИСО/HL 7 27931-2015, страница 1153 страница 1153
  • ГОСТ Р ИСО/HL 7 27931-2015, страница 1154 страница 1154
  • ГОСТ Р ИСО/HL 7 27931-2015, страница 1155 страница 1155
  • ГОСТ Р ИСО/HL 7 27931-2015, страница 1156 страница 1156
  • ГОСТ Р ИСО/HL 7 27931-2015, страница 1157 страница 1157
  • ГОСТ Р ИСО/HL 7 27931-2015, страница 1158 страница 1158
  • ГОСТ Р ИСО/HL 7 27931-2015, страница 1159 страница 1159
  • ГОСТ Р ИСО/HL 7 27931-2015, страница 1160 страница 1160
  • ГОСТ Р ИСО/HL 7 27931-2015, страница 1161 страница 1161
  • ГОСТ Р ИСО/HL 7 27931-2015, страница 1162 страница 1162
  • ГОСТ Р ИСО/HL 7 27931-2015, страница 1163 страница 1163
  • ГОСТ Р ИСО/HL 7 27931-2015, страница 1164 страница 1164
  • ГОСТ Р ИСО/HL 7 27931-2015, страница 1165 страница 1165
  • ГОСТ Р ИСО/HL 7 27931-2015, страница 1166 страница 1166
  • ГОСТ Р ИСО/HL 7 27931-2015, страница 1167 страница 1167
  • ГОСТ Р ИСО/HL 7 27931-2015, страница 1168 страница 1168
  • ГОСТ Р ИСО/HL 7 27931-2015, страница 1169 страница 1169
  • ГОСТ Р ИСО/HL 7 27931-2015, страница 1170 страница 1170
  • ГОСТ Р ИСО/HL 7 27931-2015, страница 1171 страница 1171
  • ГОСТ Р ИСО/HL 7 27931-2015, страница 1172 страница 1172
  • ГОСТ Р ИСО/HL 7 27931-2015, страница 1173 страница 1173
  • ГОСТ Р ИСО/HL 7 27931-2015, страница 1174 страница 1174
  • ГОСТ Р ИСО/HL 7 27931-2015, страница 1175 страница 1175
  • ГОСТ Р ИСО/HL 7 27931-2015, страница 1176 страница 1176
  • ГОСТ Р ИСО/HL 7 27931-2015, страница 1177 страница 1177
  • ГОСТ Р ИСО/HL 7 27931-2015, страница 1178 страница 1178
  • ГОСТ Р ИСО/HL 7 27931-2015, страница 1179 страница 1179
  • ГОСТ Р ИСО/HL 7 27931-2015, страница 1180 страница 1180
  • ГОСТ Р ИСО/HL 7 27931-2015, страница 1181 страница 1181
  • ГОСТ Р ИСО/HL 7 27931-2015, страница 1182 страница 1182
  • ГОСТ Р ИСО/HL 7 27931-2015, страница 1183 страница 1183
  • ГОСТ Р ИСО/HL 7 27931-2015, страница 1184 страница 1184
  • ГОСТ Р ИСО/HL 7 27931-2015, страница 1185 страница 1185
  • ГОСТ Р ИСО/HL 7 27931-2015, страница 1186 страница 1186
  • ГОСТ Р ИСО/HL 7 27931-2015, страница 1187 страница 1187
  • ГОСТ Р ИСО/HL 7 27931-2015, страница 1188 страница 1188
  • ГОСТ Р ИСО/HL 7 27931-2015, страница 1189 страница 1189
  • ГОСТ Р ИСО/HL 7 27931-2015, страница 1190 страница 1190
  • ГОСТ Р ИСО/HL 7 27931-2015, страница 1191 страница 1191
  • ГОСТ Р ИСО/HL 7 27931-2015, страница 1192 страница 1192
  • ГОСТ Р ИСО/HL 7 27931-2015, страница 1193 страница 1193
  • ГОСТ Р ИСО/HL 7 27931-2015, страница 1194 страница 1194
  • ГОСТ Р ИСО/HL 7 27931-2015, страница 1195 страница 1195
  • ГОСТ Р ИСО/HL 7 27931-2015, страница 1196 страница 1196
  • ГОСТ Р ИСО/HL 7 27931-2015, страница 1197 страница 1197
  • ГОСТ Р ИСО/HL 7 27931-2015, страница 1198 страница 1198
  • ГОСТ Р ИСО/HL 7 27931-2015, страница 1199 страница 1199
  • ГОСТ Р ИСО/HL 7 27931-2015, страница 1200 страница 1200
  • ГОСТ Р ИСО/HL 7 27931-2015, страница 1201 страница 1201
  • ГОСТ Р ИСО/HL 7 27931-2015, страница 1202 страница 1202
  • ГОСТ Р ИСО/HL 7 27931-2015, страница 1203 страница 1203
  • ГОСТ Р ИСО/HL 7 27931-2015, страница 1204 страница 1204
  • ГОСТ Р ИСО/HL 7 27931-2015, страница 1205 страница 1205
  • ГОСТ Р ИСО/HL 7 27931-2015, страница 1206 страница 1206
  • ГОСТ Р ИСО/HL 7 27931-2015, страница 1207 страница 1207
  • ГОСТ Р ИСО/HL 7 27931-2015, страница 1208 страница 1208
  • ГОСТ Р ИСО/HL 7 27931-2015, страница 1209 страница 1209
  • ГОСТ Р ИСО/HL 7 27931-2015, страница 1210 страница 1210
  • ГОСТ Р ИСО/HL 7 27931-2015, страница 1211 страница 1211
  • ГОСТ Р ИСО/HL 7 27931-2015, страница 1212 страница 1212
  • ГОСТ Р ИСО/HL 7 27931-2015, страница 1213 страница 1213
  • ГОСТ Р ИСО/HL 7 27931-2015, страница 1214 страница 1214
  • ГОСТ Р ИСО/HL 7 27931-2015, страница 1215 страница 1215
  • ГОСТ Р ИСО/HL 7 27931-2015, страница 1216 страница 1216
  • ГОСТ Р ИСО/HL 7 27931-2015, страница 1217 страница 1217
  • ГОСТ Р ИСО/HL 7 27931-2015, страница 1218 страница 1218
  • ГОСТ Р ИСО/HL 7 27931-2015, страница 1219 страница 1219
  • ГОСТ Р ИСО/HL 7 27931-2015, страница 1220 страница 1220
  • ГОСТ Р ИСО/HL 7 27931-2015, страница 1221 страница 1221
  • ГОСТ Р ИСО/HL 7 27931-2015, страница 1222 страница 1222
  • ГОСТ Р ИСО/HL 7 27931-2015, страница 1223 страница 1223
  • ГОСТ Р ИСО/HL 7 27931-2015, страница 1224 страница 1224
  • ГОСТ Р ИСО/HL 7 27931-2015, страница 1225 страница 1225
  • ГОСТ Р ИСО/HL 7 27931-2015, страница 1226 страница 1226
  • ГОСТ Р ИСО/HL 7 27931-2015, страница 1227 страница 1227
  • ГОСТ Р ИСО/HL 7 27931-2015, страница 1228 страница 1228
  • ГОСТ Р ИСО/HL 7 27931-2015, страница 1229 страница 1229
  • ГОСТ Р ИСО/HL 7 27931-2015, страница 1230 страница 1230
  • ГОСТ Р ИСО/HL 7 27931-2015, страница 1231 страница 1231
  • ГОСТ Р ИСО/HL 7 27931-2015, страница 1232 страница 1232
  • ГОСТ Р ИСО/HL 7 27931-2015, страница 1233 страница 1233
  • ГОСТ Р ИСО/HL 7 27931-2015, страница 1234 страница 1234
  • ГОСТ Р ИСО/HL 7 27931-2015, страница 1235 страница 1235
  • ГОСТ Р ИСО/HL 7 27931-2015, страница 1236 страница 1236
  • ГОСТ Р ИСО/HL 7 27931-2015, страница 1237 страница 1237
  • ГОСТ Р ИСО/HL 7 27931-2015, страница 1238 страница 1238
  • ГОСТ Р ИСО/HL 7 27931-2015, страница 1239 страница 1239
  • ГОСТ Р ИСО/HL 7 27931-2015, страница 1240 страница 1240
  • ГОСТ Р ИСО/HL 7 27931-2015, страница 1241 страница 1241
  • ГОСТ Р ИСО/HL 7 27931-2015, страница 1242 страница 1242
  • ГОСТ Р ИСО/HL 7 27931-2015, страница 1243 страница 1243
  • ГОСТ Р ИСО/HL 7 27931-2015, страница 1244 страница 1244
  • ГОСТ Р ИСО/HL 7 27931-2015, страница 1245 страница 1245
  • ГОСТ Р ИСО/HL 7 27931-2015, страница 1246 страница 1246
  • ГОСТ Р ИСО/HL 7 27931-2015, страница 1247 страница 1247
  • ГОСТ Р ИСО/HL 7 27931-2015, страница 1248 страница 1248
  • ГОСТ Р ИСО/HL 7 27931-2015, страница 1249 страница 1249
  • ГОСТ Р ИСО/HL 7 27931-2015, страница 1250 страница 1250
  • ГОСТ Р ИСО/HL 7 27931-2015, страница 1251 страница 1251
  • ГОСТ Р ИСО/HL 7 27931-2015, страница 1252 страница 1252
  • ГОСТ Р ИСО/HL 7 27931-2015, страница 1253 страница 1253
  • ГОСТ Р ИСО/HL 7 27931-2015, страница 1254 страница 1254
  • ГОСТ Р ИСО/HL 7 27931-2015, страница 1255 страница 1255
  • ГОСТ Р ИСО/HL 7 27931-2015, страница 1256 страница 1256
  • ГОСТ Р ИСО/HL 7 27931-2015, страница 1257 страница 1257
  • ГОСТ Р ИСО/HL 7 27931-2015, страница 1258 страница 1258
  • ГОСТ Р ИСО/HL 7 27931-2015, страница 1259 страница 1259
  • ГОСТ Р ИСО/HL 7 27931-2015, страница 1260 страница 1260
  • ГОСТ Р ИСО/HL 7 27931-2015, страница 1261 страница 1261
  • ГОСТ Р ИСО/HL 7 27931-2015, страница 1262 страница 1262
  • ГОСТ Р ИСО/HL 7 27931-2015, страница 1263 страница 1263
  • ГОСТ Р ИСО/HL 7 27931-2015, страница 1264 страница 1264
  • ГОСТ Р ИСО/HL 7 27931-2015, страница 1265 страница 1265
  • ГОСТ Р ИСО/HL 7 27931-2015, страница 1266 страница 1266
  • ГОСТ Р ИСО/HL 7 27931-2015, страница 1267 страница 1267
  • ГОСТ Р ИСО/HL 7 27931-2015, страница 1268 страница 1268
  • ГОСТ Р ИСО/HL 7 27931-2015, страница 1269 страница 1269
  • ГОСТ Р ИСО/HL 7 27931-2015, страница 1270 страница 1270
  • ГОСТ Р ИСО/HL 7 27931-2015, страница 1271 страница 1271
  • ГОСТ Р ИСО/HL 7 27931-2015, страница 1272 страница 1272
  • ГОСТ Р ИСО/HL 7 27931-2015, страница 1273 страница 1273
  • ГОСТ Р ИСО/HL 7 27931-2015, страница 1274 страница 1274
  • ГОСТ Р ИСО/HL 7 27931-2015, страница 1275 страница 1275
  • ГОСТ Р ИСО/HL 7 27931-2015, страница 1276 страница 1276
  • ГОСТ Р ИСО/HL 7 27931-2015, страница 1277 страница 1277
  • ГОСТ Р ИСО/HL 7 27931-2015, страница 1278 страница 1278
  • ГОСТ Р ИСО/HL 7 27931-2015, страница 1279 страница 1279
  • ГОСТ Р ИСО/HL 7 27931-2015, страница 1280 страница 1280
  • ГОСТ Р ИСО/HL 7 27931-2015, страница 1281 страница 1281
  • ГОСТ Р ИСО/HL 7 27931-2015, страница 1282 страница 1282
  • ГОСТ Р ИСО/HL 7 27931-2015, страница 1283 страница 1283
  • ГОСТ Р ИСО/HL 7 27931-2015, страница 1284 страница 1284
  • ГОСТ Р ИСО/HL 7 27931-2015, страница 1285 страница 1285
  • ГОСТ Р ИСО/HL 7 27931-2015, страница 1286 страница 1286
  • ГОСТ Р ИСО/HL 7 27931-2015, страница 1287 страница 1287
  • ГОСТ Р ИСО/HL 7 27931-2015, страница 1288 страница 1288
  • ГОСТ Р ИСО/HL 7 27931-2015, страница 1289 страница 1289
  • ГОСТ Р ИСО/HL 7 27931-2015, страница 1290 страница 1290
  • ГОСТ Р ИСО/HL 7 27931-2015, страница 1291 страница 1291
  • ГОСТ Р ИСО/HL 7 27931-2015, страница 1292 страница 1292
  • ГОСТ Р ИСО/HL 7 27931-2015, страница 1293 страница 1293
  • ГОСТ Р ИСО/HL 7 27931-2015, страница 1294 страница 1294
  • ГОСТ Р ИСО/HL 7 27931-2015, страница 1295 страница 1295
  • ГОСТ Р ИСО/HL 7 27931-2015, страница 1296 страница 1296
  • ГОСТ Р ИСО/HL 7 27931-2015, страница 1297 страница 1297
  • ГОСТ Р ИСО/HL 7 27931-2015, страница 1298 страница 1298
  • ГОСТ Р ИСО/HL 7 27931-2015, страница 1299 страница 1299
  • ГОСТ Р ИСО/HL 7 27931-2015, страница 1300 страница 1300
  • ГОСТ Р ИСО/HL 7 27931-2015, страница 1301 страница 1301
  • ГОСТ Р ИСО/HL 7 27931-2015, страница 1302 страница 1302
  • ГОСТ Р ИСО/HL 7 27931-2015, страница 1303 страница 1303
  • ГОСТ Р ИСО/HL 7 27931-2015, страница 1304 страница 1304
  • ГОСТ Р ИСО/HL 7 27931-2015, страница 1305 страница 1305
  • ГОСТ Р ИСО/HL 7 27931-2015, страница 1306 страница 1306
  • ГОСТ Р ИСО/HL 7 27931-2015, страница 1307 страница 1307
  • ГОСТ Р ИСО/HL 7 27931-2015, страница 1308 страница 1308
  • ГОСТ Р ИСО/HL 7 27931-2015, страница 1309 страница 1309
  • ГОСТ Р ИСО/HL 7 27931-2015, страница 1310 страница 1310
  • ГОСТ Р ИСО/HL 7 27931-2015, страница 1311 страница 1311
  • ГОСТ Р ИСО/HL 7 27931-2015, страница 1312 страница 1312
  • ГОСТ Р ИСО/HL 7 27931-2015, страница 1313 страница 1313
  • ГОСТ Р ИСО/HL 7 27931-2015, страница 1314 страница 1314
  • ГОСТ Р ИСО/HL 7 27931-2015, страница 1315 страница 1315
  • ГОСТ Р ИСО/HL 7 27931-2015, страница 1316 страница 1316
  • ГОСТ Р ИСО/HL 7 27931-2015, страница 1317 страница 1317
  • ГОСТ Р ИСО/HL 7 27931-2015, страница 1318 страница 1318
  • ГОСТ Р ИСО/HL 7 27931-2015, страница 1319 страница 1319
  • ГОСТ Р ИСО/HL 7 27931-2015, страница 1320 страница 1320
  • ГОСТ Р ИСО/HL 7 27931-2015, страница 1321 страница 1321
  • ГОСТ Р ИСО/HL 7 27931-2015, страница 1322 страница 1322
  • ГОСТ Р ИСО/HL 7 27931-2015, страница 1323 страница 1323
  • ГОСТ Р ИСО/HL 7 27931-2015, страница 1324 страница 1324
  • ГОСТ Р ИСО/HL 7 27931-2015, страница 1325 страница 1325
  • ГОСТ Р ИСО/HL 7 27931-2015, страница 1326 страница 1326
  • ГОСТ Р ИСО/HL 7 27931-2015, страница 1327 страница 1327
  • ГОСТ Р ИСО/HL 7 27931-2015, страница 1328 страница 1328
  • ГОСТ Р ИСО/HL 7 27931-2015, страница 1329 страница 1329
  • ГОСТ Р ИСО/HL 7 27931-2015, страница 1330 страница 1330
  • ГОСТ Р ИСО/HL 7 27931-2015, страница 1331 страница 1331
  • ГОСТ Р ИСО/HL 7 27931-2015, страница 1332 страница 1332
  • ГОСТ Р ИСО/HL 7 27931-2015, страница 1333 страница 1333
  • ГОСТ Р ИСО/HL 7 27931-2015, страница 1334 страница 1334
  • ГОСТ Р ИСО/HL 7 27931-2015, страница 1335 страница 1335
  • ГОСТ Р ИСО/HL 7 27931-2015, страница 1336 страница 1336
  • ГОСТ Р ИСО/HL 7 27931-2015, страница 1337 страница 1337
  • ГОСТ Р ИСО/HL 7 27931-2015, страница 1338 страница 1338
  • ГОСТ Р ИСО/HL 7 27931-2015, страница 1339 страница 1339
  • ГОСТ Р ИСО/HL 7 27931-2015, страница 1340 страница 1340
  • ГОСТ Р ИСО/HL 7 27931-2015, страница 1341 страница 1341
  • ГОСТ Р ИСО/HL 7 27931-2015, страница 1342 страница 1342
  • ГОСТ Р ИСО/HL 7 27931-2015, страница 1343 страница 1343
  • ГОСТ Р ИСО/HL 7 27931-2015, страница 1344 страница 1344
  • ГОСТ Р ИСО/HL 7 27931-2015, страница 1345 страница 1345
  • ГОСТ Р ИСО/HL 7 27931-2015, страница 1346 страница 1346
  • ГОСТ Р ИСО/HL 7 27931-2015, страница 1347 страница 1347
  • ГОСТ Р ИСО/HL 7 27931-2015, страница 1348 страница 1348
  • ГОСТ Р ИСО/HL 7 27931-2015, страница 1349 страница 1349
  • ГОСТ Р ИСО/HL 7 27931-2015, страница 1350 страница 1350
  • ГОСТ Р ИСО/HL 7 27931-2015, страница 1351 страница 1351
  • ГОСТ Р ИСО/HL 7 27931-2015, страница 1352 страница 1352
  • ГОСТ Р ИСО/HL 7 27931-2015, страница 1353 страница 1353
  • ГОСТ Р ИСО/HL 7 27931-2015, страница 1354 страница 1354
  • ГОСТ Р ИСО/HL 7 27931-2015, страница 1355 страница 1355
  • ГОСТ Р ИСО/HL 7 27931-2015, страница 1356 страница 1356
  • ГОСТ Р ИСО/HL 7 27931-2015, страница 1357 страница 1357
  • ГОСТ Р ИСО/HL 7 27931-2015, страница 1358 страница 1358
  • ГОСТ Р ИСО/HL 7 27931-2015, страница 1359 страница 1359
  • ГОСТ Р ИСО/HL 7 27931-2015, страница 1360 страница 1360
  • ГОСТ Р ИСО/HL 7 27931-2015, страница 1361 страница 1361
  • ГОСТ Р ИСО/HL 7 27931-2015, страница 1362 страница 1362
  • ГОСТ Р ИСО/HL 7 27931-2015, страница 1363 страница 1363
  • ГОСТ Р ИСО/HL 7 27931-2015, страница 1364 страница 1364
  • ГОСТ Р ИСО/HL 7 27931-2015, страница 1365 страница 1365
  • ГОСТ Р ИСО/HL 7 27931-2015, страница 1366 страница 1366
  • ГОСТ Р ИСО/HL 7 27931-2015, страница 1367 страница 1367
  • ГОСТ Р ИСО/HL 7 27931-2015, страница 1368 страница 1368
  • ГОСТ Р ИСО/HL 7 27931-2015, страница 1369 страница 1369
  • ГОСТ Р ИСО/HL 7 27931-2015, страница 1370 страница 1370
  • ГОСТ Р ИСО/HL 7 27931-2015, страница 1371 страница 1371
  • ГОСТ Р ИСО/HL 7 27931-2015, страница 1372 страница 1372
  • ГОСТ Р ИСО/HL 7 27931-2015, страница 1373 страница 1373
  • ГОСТ Р ИСО/HL 7 27931-2015, страница 1374 страница 1374
  • ГОСТ Р ИСО/HL 7 27931-2015, страница 1375 страница 1375
  • ГОСТ Р ИСО/HL 7 27931-2015, страница 1376 страница 1376
  • ГОСТ Р ИСО/HL 7 27931-2015, страница 1377 страница 1377
  • ГОСТ Р ИСО/HL 7 27931-2015, страница 1378 страница 1378
  • ГОСТ Р ИСО/HL 7 27931-2015, страница 1379 страница 1379
  • ГОСТ Р ИСО/HL 7 27931-2015, страница 1380 страница 1380
  • ГОСТ Р ИСО/HL 7 27931-2015, страница 1381 страница 1381
  • ГОСТ Р ИСО/HL 7 27931-2015, страница 1382 страница 1382
  • ГОСТ Р ИСО/HL 7 27931-2015, страница 1383 страница 1383
  • ГОСТ Р ИСО/HL 7 27931-2015, страница 1384 страница 1384
  • ГОСТ Р ИСО/HL 7 27931-2015, страница 1385 страница 1385
  • ГОСТ Р ИСО/HL 7 27931-2015, страница 1386 страница 1386
  • ГОСТ Р ИСО/HL 7 27931-2015, страница 1387 страница 1387
  • ГОСТ Р ИСО/HL 7 27931-2015, страница 1388 страница 1388
  • ГОСТ Р ИСО/HL 7 27931-2015, страница 1389 страница 1389
  • ГОСТ Р ИСО/HL 7 27931-2015, страница 1390 страница 1390
  • ГОСТ Р ИСО/HL 7 27931-2015, страница 1391 страница 1391
  • ГОСТ Р ИСО/HL 7 27931-2015, страница 1392 страница 1392
  • ГОСТ Р ИСО/HL 7 27931-2015, страница 1393 страница 1393
  • ГОСТ Р ИСО/HL 7 27931-2015, страница 1394 страница 1394
  • ГОСТ Р ИСО/HL 7 27931-2015, страница 1395 страница 1395
  • ГОСТ Р ИСО/HL 7 27931-2015, страница 1396 страница 1396
  • ГОСТ Р ИСО/HL 7 27931-2015, страница 1397 страница 1397
  • ГОСТ Р ИСО/HL 7 27931-2015, страница 1398 страница 1398
  • ГОСТ Р ИСО/HL 7 27931-2015, страница 1399 страница 1399
  • ГОСТ Р ИСО/HL 7 27931-2015, страница 1400 страница 1400
  • ГОСТ Р ИСО/HL 7 27931-2015, страница 1401 страница 1401
  • ГОСТ Р ИСО/HL 7 27931-2015, страница 1402 страница 1402
  • ГОСТ Р ИСО/HL 7 27931-2015, страница 1403 страница 1403
  • ГОСТ Р ИСО/HL 7 27931-2015, страница 1404 страница 1404
  • ГОСТ Р ИСО/HL 7 27931-2015, страница 1405 страница 1405
  • ГОСТ Р ИСО/HL 7 27931-2015, страница 1406 страница 1406
  • ГОСТ Р ИСО/HL 7 27931-2015, страница 1407 страница 1407
  • ГОСТ Р ИСО/HL 7 27931-2015, страница 1408 страница 1408
  • ГОСТ Р ИСО/HL 7 27931-2015, страница 1409 страница 1409
  • ГОСТ Р ИСО/HL 7 27931-2015, страница 1410 страница 1410
  • ГОСТ Р ИСО/HL 7 27931-2015, страница 1411 страница 1411
  • ГОСТ Р ИСО/HL 7 27931-2015, страница 1412 страница 1412
  • ГОСТ Р ИСО/HL 7 27931-2015, страница 1413 страница 1413
  • ГОСТ Р ИСО/HL 7 27931-2015, страница 1414 страница 1414
  • ГОСТ Р ИСО/HL 7 27931-2015, страница 1415 страница 1415
  • ГОСТ Р ИСО/HL 7 27931-2015, страница 1416 страница 1416
  • ГОСТ Р ИСО/HL 7 27931-2015, страница 1417 страница 1417
  • ГОСТ Р ИСО/HL 7 27931-2015, страница 1418 страница 1418
  • ГОСТ Р ИСО/HL 7 27931-2015, страница 1419 страница 1419
  • ГОСТ Р ИСО/HL 7 27931-2015, страница 1420 страница 1420
  • ГОСТ Р ИСО/HL 7 27931-2015, страница 1421 страница 1421
  • ГОСТ Р ИСО/HL 7 27931-2015, страница 1422 страница 1422
  • ГОСТ Р ИСО/HL 7 27931-2015, страница 1423 страница 1423
  • ГОСТ Р ИСО/HL 7 27931-2015, страница 1424 страница 1424
  • ГОСТ Р ИСО/HL 7 27931-2015, страница 1425 страница 1425
  • ГОСТ Р ИСО/HL 7 27931-2015, страница 1426 страница 1426
  • ГОСТ Р ИСО/HL 7 27931-2015, страница 1427 страница 1427
  • ГОСТ Р ИСО/HL 7 27931-2015, страница 1428 страница 1428
  • ГОСТ Р ИСО/HL 7 27931-2015, страница 1429 страница 1429
  • ГОСТ Р ИСО/HL 7 27931-2015, страница 1430 страница 1430
  • ГОСТ Р ИСО/HL 7 27931-2015, страница 1431 страница 1431
  • ГОСТ Р ИСО/HL 7 27931-2015, страница 1432 страница 1432
  • ГОСТ Р ИСО/HL 7 27931-2015, страница 1433 страница 1433
  • ГОСТ Р ИСО/HL 7 27931-2015, страница 1434 страница 1434
  • ГОСТ Р ИСО/HL 7 27931-2015, страница 1435 страница 1435
  • ГОСТ Р ИСО/HL 7 27931-2015, страница 1436 страница 1436
  • ГОСТ Р ИСО/HL 7 27931-2015, страница 1437 страница 1437
  • ГОСТ Р ИСО/HL 7 27931-2015, страница 1438 страница 1438
  • ГОСТ Р ИСО/HL 7 27931-2015, страница 1439 страница 1439
  • ГОСТ Р ИСО/HL 7 27931-2015, страница 1440 страница 1440
  • ГОСТ Р ИСО/HL 7 27931-2015, страница 1441 страница 1441
  • ГОСТ Р ИСО/HL 7 27931-2015, страница 1442 страница 1442
  • ГОСТ Р ИСО/HL 7 27931-2015, страница 1443 страница 1443
  • ГОСТ Р ИСО/HL 7 27931-2015, страница 1444 страница 1444
  • ГОСТ Р ИСО/HL 7 27931-2015, страница 1445 страница 1445
  • ГОСТ Р ИСО/HL 7 27931-2015, страница 1446 страница 1446
  • ГОСТ Р ИСО/HL 7 27931-2015, страница 1447 страница 1447
  • ГОСТ Р ИСО/HL 7 27931-2015, страница 1448 страница 1448
  • ГОСТ Р ИСО/HL 7 27931-2015, страница 1449 страница 1449
  • ГОСТ Р ИСО/HL 7 27931-2015, страница 1450 страница 1450
  • ГОСТ Р ИСО/HL 7 27931-2015, страница 1451 страница 1451
  • ГОСТ Р ИСО/HL 7 27931-2015, страница 1452 страница 1452
  • ГОСТ Р ИСО/HL 7 27931-2015, страница 1453 страница 1453
  • ГОСТ Р ИСО/HL 7 27931-2015, страница 1454 страница 1454
  • ГОСТ Р ИСО/HL 7 27931-2015, страница 1455 страница 1455
  • ГОСТ Р ИСО/HL 7 27931-2015, страница 1456 страница 1456
  • ГОСТ Р ИСО/HL 7 27931-2015, страница 1457 страница 1457
  • ГОСТ Р ИСО/HL 7 27931-2015, страница 1458 страница 1458
  • ГОСТ Р ИСО/HL 7 27931-2015, страница 1459 страница 1459
  • ГОСТ Р ИСО/HL 7 27931-2015, страница 1460 страница 1460
  • ГОСТ Р ИСО/HL 7 27931-2015, страница 1461 страница 1461
  • ГОСТ Р ИСО/HL 7 27931-2015, страница 1462 страница 1462
  • ГОСТ Р ИСО/HL 7 27931-2015, страница 1463 страница 1463
  • ГОСТ Р ИСО/HL 7 27931-2015, страница 1464 страница 1464
  • ГОСТ Р ИСО/HL 7 27931-2015, страница 1465 страница 1465
  • ГОСТ Р ИСО/HL 7 27931-2015, страница 1466 страница 1466
  • ГОСТ Р ИСО/HL 7 27931-2015, страница 1467 страница 1467
  • ГОСТ Р ИСО/HL 7 27931-2015, страница 1468 страница 1468
  • ГОСТ Р ИСО/HL 7 27931-2015, страница 1469 страница 1469
  • ГОСТ Р ИСО/HL 7 27931-2015, страница 1470 страница 1470
  • ГОСТ Р ИСО/HL 7 27931-2015, страница 1471 страница 1471
  • ГОСТ Р ИСО/HL 7 27931-2015, страница 1472 страница 1472
  • ГОСТ Р ИСО/HL 7 27931-2015, страница 1473 страница 1473
  • ГОСТ Р ИСО/HL 7 27931-2015, страница 1474 страница 1474
  • ГОСТ Р ИСО/HL 7 27931-2015, страница 1475 страница 1475
  • ГОСТ Р ИСО/HL 7 27931-2015, страница 1476 страница 1476
  • ГОСТ Р ИСО/HL 7 27931-2015, страница 1477 страница 1477
  • ГОСТ Р ИСО/HL 7 27931-2015, страница 1478 страница 1478
  • ГОСТ Р ИСО/HL 7 27931-2015, страница 1479 страница 1479
  • ГОСТ Р ИСО/HL 7 27931-2015, страница 1480 страница 1480
  • ГОСТ Р ИСО/HL 7 27931-2015, страница 1481 страница 1481
  • ГОСТ Р ИСО/HL 7 27931-2015, страница 1482 страница 1482
  • ГОСТ Р ИСО/HL 7 27931-2015, страница 1483 страница 1483
  • ГОСТ Р ИСО/HL 7 27931-2015, страница 1484 страница 1484
  • ГОСТ Р ИСО/HL 7 27931-2015, страница 1485 страница 1485
  • ГОСТ Р ИСО/HL 7 27931-2015, страница 1486 страница 1486
  • ГОСТ Р ИСО/HL 7 27931-2015, страница 1487 страница 1487
  • ГОСТ Р ИСО/HL 7 27931-2015, страница 1488 страница 1488
  • ГОСТ Р ИСО/HL 7 27931-2015, страница 1489 страница 1489
  • ГОСТ Р ИСО/HL 7 27931-2015, страница 1490 страница 1490
  • ГОСТ Р ИСО/HL 7 27931-2015, страница 1491 страница 1491
  • ГОСТ Р ИСО/HL 7 27931-2015, страница 1492 страница 1492
  • ГОСТ Р ИСО/HL 7 27931-2015, страница 1493 страница 1493
  • ГОСТ Р ИСО/HL 7 27931-2015, страница 1494 страница 1494
  • ГОСТ Р ИСО/HL 7 27931-2015, страница 1495 страница 1495
  • ГОСТ Р ИСО/HL 7 27931-2015, страница 1496 страница 1496
  • ГОСТ Р ИСО/HL 7 27931-2015, страница 1497 страница 1497
  • ГОСТ Р ИСО/HL 7 27931-2015, страница 1498 страница 1498
  • ГОСТ Р ИСО/HL 7 27931-2015, страница 1499 страница 1499
  • ГОСТ Р ИСО/HL 7 27931-2015, страница 1500 страница 1500
  • ГОСТ Р ИСО/HL 7 27931-2015, страница 1501 страница 1501
  • ГОСТ Р ИСО/HL 7 27931-2015, страница 1502 страница 1502
  • ГОСТ Р ИСО/HL 7 27931-2015, страница 1503 страница 1503
  • ГОСТ Р ИСО/HL 7 27931-2015, страница 1504 страница 1504
  • ГОСТ Р ИСО/HL 7 27931-2015, страница 1505 страница 1505
  • ГОСТ Р ИСО/HL 7 27931-2015, страница 1506 страница 1506
  • ГОСТ Р ИСО/HL 7 27931-2015, страница 1507 страница 1507
  • ГОСТ Р ИСО/HL 7 27931-2015, страница 1508 страница 1508
  • ГОСТ Р ИСО/HL 7 27931-2015, страница 1509 страница 1509
  • ГОСТ Р ИСО/HL 7 27931-2015, страница 1510 страница 1510
  • ГОСТ Р ИСО/HL 7 27931-2015, страница 1511 страница 1511
  • ГОСТ Р ИСО/HL 7 27931-2015, страница 1512 страница 1512
  • ГОСТ Р ИСО/HL 7 27931-2015, страница 1513 страница 1513
  • ГОСТ Р ИСО/HL 7 27931-2015, страница 1514 страница 1514
  • ГОСТ Р ИСО/HL 7 27931-2015, страница 1515 страница 1515
  • ГОСТ Р ИСО/HL 7 27931-2015, страница 1516 страница 1516
  • ГОСТ Р ИСО/HL 7 27931-2015, страница 1517 страница 1517
  • ГОСТ Р ИСО/HL 7 27931-2015, страница 1518 страница 1518
  • ГОСТ Р ИСО/HL 7 27931-2015, страница 1519 страница 1519
  • ГОСТ Р ИСО/HL 7 27931-2015, страница 1520 страница 1520
  • ГОСТ Р ИСО/HL 7 27931-2015, страница 1521 страница 1521
  • ГОСТ Р ИСО/HL 7 27931-2015, страница 1522 страница 1522
  • ГОСТ Р ИСО/HL 7 27931-2015, страница 1523 страница 1523
  • ГОСТ Р ИСО/HL 7 27931-2015, страница 1524 страница 1524
  • ГОСТ Р ИСО/HL 7 27931-2015, страница 1525 страница 1525
  • ГОСТ Р ИСО/HL 7 27931-2015, страница 1526 страница 1526
  • ГОСТ Р ИСО/HL 7 27931-2015, страница 1527 страница 1527
  • ГОСТ Р ИСО/HL 7 27931-2015, страница 1528 страница 1528
  • ГОСТ Р ИСО/HL 7 27931-2015, страница 1529 страница 1529
  • ГОСТ Р ИСО/HL 7 27931-2015, страница 1530 страница 1530
  • ГОСТ Р ИСО/HL 7 27931-2015, страница 1531 страница 1531
  • ГОСТ Р ИСО/HL 7 27931-2015, страница 1532 страница 1532
  • ГОСТ Р ИСО/HL 7 27931-2015, страница 1533 страница 1533
  • ГОСТ Р ИСО/HL 7 27931-2015, страница 1534 страница 1534
  • ГОСТ Р ИСО/HL 7 27931-2015, страница 1535 страница 1535
  • ГОСТ Р ИСО/HL 7 27931-2015, страница 1536 страница 1536
  • ГОСТ Р ИСО/HL 7 27931-2015, страница 1537 страница 1537
  • ГОСТ Р ИСО/HL 7 27931-2015, страница 1538 страница 1538
  • ГОСТ Р ИСО/HL 7 27931-2015, страница 1539 страница 1539
  • ГОСТ Р ИСО/HL 7 27931-2015, страница 1540 страница 1540
  • ГОСТ Р ИСО/HL 7 27931-2015, страница 1541 страница 1541
  • ГОСТ Р ИСО/HL 7 27931-2015, страница 1542 страница 1542
  • ГОСТ Р ИСО/HL 7 27931-2015, страница 1543 страница 1543
  • ГОСТ Р ИСО/HL 7 27931-2015, страница 1544 страница 1544
  • ГОСТ Р ИСО/HL 7 27931-2015, страница 1545 страница 1545
  • ГОСТ Р ИСО/HL 7 27931-2015, страница 1546 страница 1546
  • ГОСТ Р ИСО/HL 7 27931-2015, страница 1547 страница 1547
  • ГОСТ Р ИСО/HL 7 27931-2015, страница 1548 страница 1548
  • ГОСТ Р ИСО/HL 7 27931-2015, страница 1549 страница 1549
  • ГОСТ Р ИСО/HL 7 27931-2015, страница 1550 страница 1550
  • ГОСТ Р ИСО/HL 7 27931-2015, страница 1551 страница 1551
  • ГОСТ Р ИСО/HL 7 27931-2015, страница 1552 страница 1552
  • ГОСТ Р ИСО/HL 7 27931-2015, страница 1553 страница 1553
  • ГОСТ Р ИСО/HL 7 27931-2015, страница 1554 страница 1554
  • ГОСТ Р ИСО/HL 7 27931-2015, страница 1555 страница 1555
  • ГОСТ Р ИСО/HL 7 27931-2015, страница 1556 страница 1556
  • ГОСТ Р ИСО/HL 7 27931-2015, страница 1557 страница 1557
  • ГОСТ Р ИСО/HL 7 27931-2015, страница 1558 страница 1558
  • ГОСТ Р ИСО/HL 7 27931-2015, страница 1559 страница 1559
  • ГОСТ Р ИСО/HL 7 27931-2015, страница 1560 страница 1560
  • ГОСТ Р ИСО/HL 7 27931-2015, страница 1561 страница 1561
  • ГОСТ Р ИСО/HL 7 27931-2015, страница 1562 страница 1562
  • ГОСТ Р ИСО/HL 7 27931-2015, страница 1563 страница 1563
  • ГОСТ Р ИСО/HL 7 27931-2015, страница 1564 страница 1564
  • ГОСТ Р ИСО/HL 7 27931-2015, страница 1565 страница 1565
  • ГОСТ Р ИСО/HL 7 27931-2015, страница 1566 страница 1566
  • ГОСТ Р ИСО/HL 7 27931-2015, страница 1567 страница 1567
  • ГОСТ Р ИСО/HL 7 27931-2015, страница 1568 страница 1568
  • ГОСТ Р ИСО/HL 7 27931-2015, страница 1569 страница 1569
  • ГОСТ Р ИСО/HL 7 27931-2015, страница 1570 страница 1570
  • ГОСТ Р ИСО/HL 7 27931-2015, страница 1571 страница 1571
  • ГОСТ Р ИСО/HL 7 27931-2015, страница 1572 страница 1572
  • ГОСТ Р ИСО/HL 7 27931-2015, страница 1573 страница 1573
  • ГОСТ Р ИСО/HL 7 27931-2015, страница 1574 страница 1574
  • ГОСТ Р ИСО/HL 7 27931-2015, страница 1575 страница 1575
  • ГОСТ Р ИСО/HL 7 27931-2015, страница 1576 страница 1576
  • ГОСТ Р ИСО/HL 7 27931-2015, страница 1577 страница 1577
  • ГОСТ Р ИСО/HL 7 27931-2015, страница 1578 страница 1578
  • ГОСТ Р ИСО/HL 7 27931-2015, страница 1579 страница 1579
  • ГОСТ Р ИСО/HL 7 27931-2015, страница 1580 страница 1580
  • ГОСТ Р ИСО/HL 7 27931-2015, страница 1581 страница 1581
  • ГОСТ Р ИСО/HL 7 27931-2015, страница 1582 страница 1582
  • ГОСТ Р ИСО/HL 7 27931-2015, страница 1583 страница 1583
  • ГОСТ Р ИСО/HL 7 27931-2015, страница 1584 страница 1584
  • ГОСТ Р ИСО/HL 7 27931-2015, страница 1585 страница 1585
  • ГОСТ Р ИСО/HL 7 27931-2015, страница 1586 страница 1586
  • ГОСТ Р ИСО/HL 7 27931-2015, страница 1587 страница 1587
  • ГОСТ Р ИСО/HL 7 27931-2015, страница 1588 страница 1588
  • ГОСТ Р ИСО/HL 7 27931-2015, страница 1589 страница 1589
  • ГОСТ Р ИСО/HL 7 27931-2015, страница 1590 страница 1590
  • ГОСТ Р ИСО/HL 7 27931-2015, страница 1591 страница 1591
  • ГОСТ Р ИСО/HL 7 27931-2015, страница 1592 страница 1592
  • ГОСТ Р ИСО/HL 7 27931-2015, страница 1593 страница 1593
  • ГОСТ Р ИСО/HL 7 27931-2015, страница 1594 страница 1594
  • ГОСТ Р ИСО/HL 7 27931-2015, страница 1595 страница 1595
  • ГОСТ Р ИСО/HL 7 27931-2015, страница 1596 страница 1596
  • ГОСТ Р ИСО/HL 7 27931-2015, страница 1597 страница 1597
  • ГОСТ Р ИСО/HL 7 27931-2015, страница 1598 страница 1598
  • ГОСТ Р ИСО/HL 7 27931-2015, страница 1599 страница 1599
  • ГОСТ Р ИСО/HL 7 27931-2015, страница 1600 страница 1600
  • ГОСТ Р ИСО/HL 7 27931-2015, страница 1601 страница 1601
  • ГОСТ Р ИСО/HL 7 27931-2015, страница 1602 страница 1602
  • ГОСТ Р ИСО/HL 7 27931-2015, страница 1603 страница 1603
  • ГОСТ Р ИСО/HL 7 27931-2015, страница 1604 страница 1604
  • ГОСТ Р ИСО/HL 7 27931-2015, страница 1605 страница 1605
  • ГОСТ Р ИСО/HL 7 27931-2015, страница 1606 страница 1606
  • ГОСТ Р ИСО/HL 7 27931-2015, страница 1607 страница 1607
  • ГОСТ Р ИСО/HL 7 27931-2015, страница 1608 страница 1608
  • ГОСТ Р ИСО/HL 7 27931-2015, страница 1609 страница 1609
  • ГОСТ Р ИСО/HL 7 27931-2015, страница 1610 страница 1610
  • ГОСТ Р ИСО/HL 7 27931-2015, страница 1611 страница 1611
  • ГОСТ Р ИСО/HL 7 27931-2015, страница 1612 страница 1612
  • ГОСТ Р ИСО/HL 7 27931-2015, страница 1613 страница 1613
  • ГОСТ Р ИСО/HL 7 27931-2015, страница 1614 страница 1614
  • ГОСТ Р ИСО/HL 7 27931-2015, страница 1615 страница 1615
  • ГОСТ Р ИСО/HL 7 27931-2015, страница 1616 страница 1616
  • ГОСТ Р ИСО/HL 7 27931-2015, страница 1617 страница 1617
  • ГОСТ Р ИСО/HL 7 27931-2015, страница 1618 страница 1618
  • ГОСТ Р ИСО/HL 7 27931-2015, страница 1619 страница 1619
  • ГОСТ Р ИСО/HL 7 27931-2015, страница 1620 страница 1620
  • ГОСТ Р ИСО/HL 7 27931-2015, страница 1621 страница 1621
  • ГОСТ Р ИСО/HL 7 27931-2015, страница 1622 страница 1622
  • ГОСТ Р ИСО/HL 7 27931-2015, страница 1623 страница 1623
  • ГОСТ Р ИСО/HL 7 27931-2015, страница 1624 страница 1624
  • ГОСТ Р ИСО/HL 7 27931-2015, страница 1625 страница 1625
  • ГОСТ Р ИСО/HL 7 27931-2015, страница 1626 страница 1626
  • ГОСТ Р ИСО/HL 7 27931-2015, страница 1627 страница 1627
  • ГОСТ Р ИСО/HL 7 27931-2015, страница 1628 страница 1628
  • ГОСТ Р ИСО/HL 7 27931-2015, страница 1629 страница 1629
  • ГОСТ Р ИСО/HL 7 27931-2015, страница 1630 страница 1630
  • ГОСТ Р ИСО/HL 7 27931-2015, страница 1631 страница 1631
  • ГОСТ Р ИСО/HL 7 27931-2015, страница 1632 страница 1632
  • ГОСТ Р ИСО/HL 7 27931-2015, страница 1633 страница 1633
  • ГОСТ Р ИСО/HL 7 27931-2015, страница 1634 страница 1634
  • ГОСТ Р ИСО/HL 7 27931-2015, страница 1635 страница 1635
  • ГОСТ Р ИСО/HL 7 27931-2015, страница 1636 страница 1636
  • ГОСТ Р ИСО/HL 7 27931-2015, страница 1637 страница 1637
  • ГОСТ Р ИСО/HL 7 27931-2015, страница 1638 страница 1638
  • ГОСТ Р ИСО/HL 7 27931-2015, страница 1639 страница 1639
  • ГОСТ Р ИСО/HL 7 27931-2015, страница 1640 страница 1640
  • ГОСТ Р ИСО/HL 7 27931-2015, страница 1641 страница 1641
  • ГОСТ Р ИСО/HL 7 27931-2015, страница 1642 страница 1642
  • ГОСТ Р ИСО/HL 7 27931-2015, страница 1643 страница 1643
  • ГОСТ Р ИСО/HL 7 27931-2015, страница 1644 страница 1644
  • ГОСТ Р ИСО/HL 7 27931-2015, страница 1645 страница 1645
  • ГОСТ Р ИСО/HL 7 27931-2015, страница 1646 страница 1646
  • ГОСТ Р ИСО/HL 7 27931-2015, страница 1647 страница 1647
  • ГОСТ Р ИСО/HL 7 27931-2015, страница 1648 страница 1648
  • ГОСТ Р ИСО/HL 7 27931-2015, страница 1649 страница 1649
  • ГОСТ Р ИСО/HL 7 27931-2015, страница 1650 страница 1650
  • ГОСТ Р ИСО/HL 7 27931-2015, страница 1651 страница 1651
  • ГОСТ Р ИСО/HL 7 27931-2015, страница 1652 страница 1652
  • ГОСТ Р ИСО/HL 7 27931-2015, страница 1653 страница 1653
  • ГОСТ Р ИСО/HL 7 27931-2015, страница 1654 страница 1654
  • ГОСТ Р ИСО/HL 7 27931-2015, страница 1655 страница 1655
  • ГОСТ Р ИСО/HL 7 27931-2015, страница 1656 страница 1656
  • ГОСТ Р ИСО/HL 7 27931-2015, страница 1657 страница 1657
  • ГОСТ Р ИСО/HL 7 27931-2015, страница 1658 страница 1658
  • ГОСТ Р ИСО/HL 7 27931-2015, страница 1659 страница 1659
  • ГОСТ Р ИСО/HL 7 27931-2015, страница 1660 страница 1660
  • ГОСТ Р ИСО/HL 7 27931-2015, страница 1661 страница 1661
  • ГОСТ Р ИСО/HL 7 27931-2015, страница 1662 страница 1662
  • ГОСТ Р ИСО/HL 7 27931-2015, страница 1663 страница 1663
  • ГОСТ Р ИСО/HL 7 27931-2015, страница 1664 страница 1664
  • ГОСТ Р ИСО/HL 7 27931-2015, страница 1665 страница 1665
  • ГОСТ Р ИСО/HL 7 27931-2015, страница 1666 страница 1666
  • ГОСТ Р ИСО/HL 7 27931-2015, страница 1667 страница 1667
  • ГОСТ Р ИСО/HL 7 27931-2015, страница 1668 страница 1668
  • ГОСТ Р ИСО/HL 7 27931-2015, страница 1669 страница 1669
  • ГОСТ Р ИСО/HL 7 27931-2015, страница 1670 страница 1670
  • ГОСТ Р ИСО/HL 7 27931-2015, страница 1671 страница 1671
  • ГОСТ Р ИСО/HL 7 27931-2015, страница 1672 страница 1672
  • ГОСТ Р ИСО/HL 7 27931-2015, страница 1673 страница 1673
  • ГОСТ Р ИСО/HL 7 27931-2015, страница 1674 страница 1674
  • ГОСТ Р ИСО/HL 7 27931-2015, страница 1675 страница 1675
  • ГОСТ Р ИСО/HL 7 27931-2015, страница 1676 страница 1676
  • ГОСТ Р ИСО/HL 7 27931-2015, страница 1677 страница 1677
  • ГОСТ Р ИСО/HL 7 27931-2015, страница 1678 страница 1678
  • ГОСТ Р ИСО/HL 7 27931-2015, страница 1679 страница 1679
  • ГОСТ Р ИСО/HL 7 27931-2015, страница 1680 страница 1680
  • ГОСТ Р ИСО/HL 7 27931-2015, страница 1681 страница 1681
  • ГОСТ Р ИСО/HL 7 27931-2015, страница 1682 страница 1682
  • ГОСТ Р ИСО/HL 7 27931-2015, страница 1683 страница 1683
  • ГОСТ Р ИСО/HL 7 27931-2015, страница 1684 страница 1684
  • ГОСТ Р ИСО/HL 7 27931-2015, страница 1685 страница 1685
  • ГОСТ Р ИСО/HL 7 27931-2015, страница 1686 страница 1686
  • ГОСТ Р ИСО/HL 7 27931-2015, страница 1687 страница 1687
  • ГОСТ Р ИСО/HL 7 27931-2015, страница 1688 страница 1688
  • ГОСТ Р ИСО/HL 7 27931-2015, страница 1689 страница 1689
  • ГОСТ Р ИСО/HL 7 27931-2015, страница 1690 страница 1690
  • ГОСТ Р ИСО/HL 7 27931-2015, страница 1691 страница 1691
  • ГОСТ Р ИСО/HL 7 27931-2015, страница 1692 страница 1692
  • ГОСТ Р ИСО/HL 7 27931-2015, страница 1693 страница 1693
  • ГОСТ Р ИСО/HL 7 27931-2015, страница 1694 страница 1694
  • ГОСТ Р ИСО/HL 7 27931-2015, страница 1695 страница 1695
  • ГОСТ Р ИСО/HL 7 27931-2015, страница 1696 страница 1696
  • ГОСТ Р ИСО/HL 7 27931-2015, страница 1697 страница 1697
  • ГОСТ Р ИСО/HL 7 27931-2015, страница 1698 страница 1698
  • ГОСТ Р ИСО/HL 7 27931-2015, страница 1699 страница 1699
  • ГОСТ Р ИСО/HL 7 27931-2015, страница 1700 страница 1700
  • ГОСТ Р ИСО/HL 7 27931-2015, страница 1701 страница 1701
  • ГОСТ Р ИСО/HL 7 27931-2015, страница 1702 страница 1702
  • ГОСТ Р ИСО/HL 7 27931-2015, страница 1703 страница 1703
  • ГОСТ Р ИСО/HL 7 27931-2015, страница 1704 страница 1704
  • ГОСТ Р ИСО/HL 7 27931-2015, страница 1705 страница 1705
  • ГОСТ Р ИСО/HL 7 27931-2015, страница 1706 страница 1706
  • ГОСТ Р ИСО/HL 7 27931-2015, страница 1707 страница 1707
  • ГОСТ Р ИСО/HL 7 27931-2015, страница 1708 страница 1708
  • ГОСТ Р ИСО/HL 7 27931-2015, страница 1709 страница 1709
  • ГОСТ Р ИСО/HL 7 27931-2015, страница 1710 страница 1710
  • ГОСТ Р ИСО/HL 7 27931-2015, страница 1711 страница 1711
  • ГОСТ Р ИСО/HL 7 27931-2015, страница 1712 страница 1712
  • ГОСТ Р ИСО/HL 7 27931-2015, страница 1713 страница 1713
  • ГОСТ Р ИСО/HL 7 27931-2015, страница 1714 страница 1714
  • ГОСТ Р ИСО/HL 7 27931-2015, страница 1715 страница 1715
  • ГОСТ Р ИСО/HL 7 27931-2015, страница 1716 страница 1716
  • ГОСТ Р ИСО/HL 7 27931-2015, страница 1717 страница 1717
  • ГОСТ Р ИСО/HL 7 27931-2015, страница 1718 страница 1718
  • ГОСТ Р ИСО/HL 7 27931-2015, страница 1719 страница 1719
  • ГОСТ Р ИСО/HL 7 27931-2015, страница 1720 страница 1720
  • ГОСТ Р ИСО/HL 7 27931-2015, страница 1721 страница 1721
  • ГОСТ Р ИСО/HL 7 27931-2015, страница 1722 страница 1722
  • ГОСТ Р ИСО/HL 7 27931-2015, страница 1723 страница 1723
  • ГОСТ Р ИСО/HL 7 27931-2015, страница 1724 страница 1724
  • ГОСТ Р ИСО/HL 7 27931-2015, страница 1725 страница 1725
  • ГОСТ Р ИСО/HL 7 27931-2015, страница 1726 страница 1726
  • ГОСТ Р ИСО/HL 7 27931-2015, страница 1727 страница 1727
  • ГОСТ Р ИСО/HL 7 27931-2015, страница 1728 страница 1728
  • ГОСТ Р ИСО/HL 7 27931-2015, страница 1729 страница 1729
  • ГОСТ Р ИСО/HL 7 27931-2015, страница 1730 страница 1730
  • ГОСТ Р ИСО/HL 7 27931-2015, страница 1731 страница 1731
  • ГОСТ Р ИСО/HL 7 27931-2015, страница 1732 страница 1732
  • ГОСТ Р ИСО/HL 7 27931-2015, страница 1733 страница 1733
  • ГОСТ Р ИСО/HL 7 27931-2015, страница 1734 страница 1734
  • ГОСТ Р ИСО/HL 7 27931-2015, страница 1735 страница 1735
  • ГОСТ Р ИСО/HL 7 27931-2015, страница 1736 страница 1736
  • ГОСТ Р ИСО/HL 7 27931-2015, страница 1737 страница 1737
  • ГОСТ Р ИСО/HL 7 27931-2015, страница 1738 страница 1738
  • ГОСТ Р ИСО/HL 7 27931-2015, страница 1739 страница 1739
  • ГОСТ Р ИСО/HL 7 27931-2015, страница 1740 страница 1740
  • ГОСТ Р ИСО/HL 7 27931-2015, страница 1741 страница 1741
  • ГОСТ Р ИСО/HL 7 27931-2015, страница 1742 страница 1742
  • ГОСТ Р ИСО/HL 7 27931-2015, страница 1743 страница 1743
  • ГОСТ Р ИСО/HL 7 27931-2015, страница 1744 страница 1744
  • ГОСТ Р ИСО/HL 7 27931-2015, страница 1745 страница 1745
  • ГОСТ Р ИСО/HL 7 27931-2015, страница 1746 страница 1746
  • ГОСТ Р ИСО/HL 7 27931-2015, страница 1747 страница 1747
  • ГОСТ Р ИСО/HL 7 27931-2015, страница 1748 страница 1748
  • ГОСТ Р ИСО/HL 7 27931-2015, страница 1749 страница 1749
  • ГОСТ Р ИСО/HL 7 27931-2015, страница 1750 страница 1750
  • ГОСТ Р ИСО/HL 7 27931-2015, страница 1751 страница 1751
  • ГОСТ Р ИСО/HL 7 27931-2015, страница 1752 страница 1752
  • ГОСТ Р ИСО/HL 7 27931-2015, страница 1753 страница 1753
  • ГОСТ Р ИСО/HL 7 27931-2015, страница 1754 страница 1754
  • ГОСТ Р ИСО/HL 7 27931-2015, страница 1755 страница 1755
  • ГОСТ Р ИСО/HL 7 27931-2015, страница 1756 страница 1756
  • ГОСТ Р ИСО/HL 7 27931-2015, страница 1757 страница 1757
  • ГОСТ Р ИСО/HL 7 27931-2015, страница 1758 страница 1758
  • ГОСТ Р ИСО/HL 7 27931-2015, страница 1759 страница 1759
  • ГОСТ Р ИСО/HL 7 27931-2015, страница 1760 страница 1760
  • ГОСТ Р ИСО/HL 7 27931-2015, страница 1761 страница 1761
  • ГОСТ Р ИСО/HL 7 27931-2015, страница 1762 страница 1762
  • ГОСТ Р ИСО/HL 7 27931-2015, страница 1763 страница 1763
  • ГОСТ Р ИСО/HL 7 27931-2015, страница 1764 страница 1764
  • ГОСТ Р ИСО/HL 7 27931-2015, страница 1765 страница 1765
  • ГОСТ Р ИСО/HL 7 27931-2015, страница 1766 страница 1766
  • ГОСТ Р ИСО/HL 7 27931-2015, страница 1767 страница 1767
  • ГОСТ Р ИСО/HL 7 27931-2015, страница 1768 страница 1768
  • ГОСТ Р ИСО/HL 7 27931-2015, страница 1769 страница 1769
  • ГОСТ Р ИСО/HL 7 27931-2015, страница 1770 страница 1770
  • ГОСТ Р ИСО/HL 7 27931-2015, страница 1771 страница 1771
  • ГОСТ Р ИСО/HL 7 27931-2015, страница 1772 страница 1772
  • ГОСТ Р ИСО/HL 7 27931-2015, страница 1773 страница 1773
  • ГОСТ Р ИСО/HL 7 27931-2015, страница 1774 страница 1774
  • ГОСТ Р ИСО/HL 7 27931-2015, страница 1775 страница 1775
  • ГОСТ Р ИСО/HL 7 27931-2015, страница 1776 страница 1776
  • ГОСТ Р ИСО/HL 7 27931-2015, страница 1777 страница 1777
  • ГОСТ Р ИСО/HL 7 27931-2015, страница 1778 страница 1778
  • ГОСТ Р ИСО/HL 7 27931-2015, страница 1779 страница 1779
  • ГОСТ Р ИСО/HL 7 27931-2015, страница 1780 страница 1780
  • ГОСТ Р ИСО/HL 7 27931-2015, страница 1781 страница 1781
  • ГОСТ Р ИСО/HL 7 27931-2015, страница 1782 страница 1782
  • ГОСТ Р ИСО/HL 7 27931-2015, страница 1783 страница 1783
  • ГОСТ Р ИСО/HL 7 27931-2015, страница 1784 страница 1784
  • ГОСТ Р ИСО/HL 7 27931-2015, страница 1785 страница 1785
  • ГОСТ Р ИСО/HL 7 27931-2015, страница 1786 страница 1786
  • ГОСТ Р ИСО/HL 7 27931-2015, страница 1787 страница 1787
  • ГОСТ Р ИСО/HL 7 27931-2015, страница 1788 страница 1788
  • ГОСТ Р ИСО/HL 7 27931-2015, страница 1789 страница 1789
  • ГОСТ Р ИСО/HL 7 27931-2015, страница 1790 страница 1790
  • ГОСТ Р ИСО/HL 7 27931-2015, страница 1791 страница 1791
  • ГОСТ Р ИСО/HL 7 27931-2015, страница 1792 страница 1792
  • ГОСТ Р ИСО/HL 7 27931-2015, страница 1793 страница 1793
  • ГОСТ Р ИСО/HL 7 27931-2015, страница 1794 страница 1794
  • ГОСТ Р ИСО/HL 7 27931-2015, страница 1795 страница 1795
  • ГОСТ Р ИСО/HL 7 27931-2015, страница 1796 страница 1796
  • ГОСТ Р ИСО/HL 7 27931-2015, страница 1797 страница 1797
  • ГОСТ Р ИСО/HL 7 27931-2015, страница 1798 страница 1798
  • ГОСТ Р ИСО/HL 7 27931-2015, страница 1799 страница 1799
  • ГОСТ Р ИСО/HL 7 27931-2015, страница 1800 страница 1800
  • ГОСТ Р ИСО/HL 7 27931-2015, страница 1801 страница 1801
  • ГОСТ Р ИСО/HL 7 27931-2015, страница 1802 страница 1802
  • ГОСТ Р ИСО/HL 7 27931-2015, страница 1803 страница 1803
  • ГОСТ Р ИСО/HL 7 27931-2015, страница 1804 страница 1804
  • ГОСТ Р ИСО/HL 7 27931-2015, страница 1805 страница 1805
  • ГОСТ Р ИСО/HL 7 27931-2015, страница 1806 страница 1806
  • ГОСТ Р ИСО/HL 7 27931-2015, страница 1807 страница 1807
  • ГОСТ Р ИСО/HL 7 27931-2015, страница 1808 страница 1808
  • ГОСТ Р ИСО/HL 7 27931-2015, страница 1809 страница 1809
  • ГОСТ Р ИСО/HL 7 27931-2015, страница 1810 страница 1810
  • ГОСТ Р ИСО/HL 7 27931-2015, страница 1811 страница 1811
  • ГОСТ Р ИСО/HL 7 27931-2015, страница 1812 страница 1812
  • ГОСТ Р ИСО/HL 7 27931-2015, страница 1813 страница 1813
  • ГОСТ Р ИСО/HL 7 27931-2015, страница 1814 страница 1814
  • ГОСТ Р ИСО/HL 7 27931-2015, страница 1815 страница 1815
  • ГОСТ Р ИСО/HL 7 27931-2015, страница 1816 страница 1816
  • ГОСТ Р ИСО/HL 7 27931-2015, страница 1817 страница 1817
  • ГОСТ Р ИСО/HL 7 27931-2015, страница 1818 страница 1818
  • ГОСТ Р ИСО/HL 7 27931-2015, страница 1819 страница 1819
  • ГОСТ Р ИСО/HL 7 27931-2015, страница 1820 страница 1820
  • ГОСТ Р ИСО/HL 7 27931-2015, страница 1821 страница 1821
  • ГОСТ Р ИСО/HL 7 27931-2015, страница 1822 страница 1822
  • ГОСТ Р ИСО/HL 7 27931-2015, страница 1823 страница 1823
  • ГОСТ Р ИСО/HL 7 27931-2015, страница 1824 страница 1824
  • ГОСТ Р ИСО/HL 7 27931-2015, страница 1825 страница 1825
  • ГОСТ Р ИСО/HL 7 27931-2015, страница 1826 страница 1826
  • ГОСТ Р ИСО/HL 7 27931-2015, страница 1827 страница 1827
  • ГОСТ Р ИСО/HL 7 27931-2015, страница 1828 страница 1828
  • ГОСТ Р ИСО/HL 7 27931-2015, страница 1829 страница 1829
  • ГОСТ Р ИСО/HL 7 27931-2015, страница 1830 страница 1830
  • ГОСТ Р ИСО/HL 7 27931-2015, страница 1831 страница 1831
  • ГОСТ Р ИСО/HL 7 27931-2015, страница 1832 страница 1832
  • ГОСТ Р ИСО/HL 7 27931-2015, страница 1833 страница 1833
  • ГОСТ Р ИСО/HL 7 27931-2015, страница 1834 страница 1834
  • ГОСТ Р ИСО/HL 7 27931-2015, страница 1835 страница 1835
  • ГОСТ Р ИСО/HL 7 27931-2015, страница 1836 страница 1836
  • ГОСТ Р ИСО/HL 7 27931-2015, страница 1837 страница 1837
  • ГОСТ Р ИСО/HL 7 27931-2015, страница 1838 страница 1838
  • ГОСТ Р ИСО/HL 7 27931-2015, страница 1839 страница 1839
  • ГОСТ Р ИСО/HL 7 27931-2015, страница 1840 страница 1840
  • ГОСТ Р ИСО/HL 7 27931-2015, страница 1841 страница 1841
  • ГОСТ Р ИСО/HL 7 27931-2015, страница 1842 страница 1842
  • ГОСТ Р ИСО/HL 7 27931-2015, страница 1843 страница 1843
  • ГОСТ Р ИСО/HL 7 27931-2015, страница 1844 страница 1844
  • ГОСТ Р ИСО/HL 7 27931-2015, страница 1845 страница 1845
  • ГОСТ Р ИСО/HL 7 27931-2015, страница 1846 страница 1846
  • ГОСТ Р ИСО/HL 7 27931-2015, страница 1847 страница 1847
  • ГОСТ Р ИСО/HL 7 27931-2015, страница 1848 страница 1848
  • ГОСТ Р ИСО/HL 7 27931-2015, страница 1849 страница 1849
  • ГОСТ Р ИСО/HL 7 27931-2015, страница 1850 страница 1850
  • ГОСТ Р ИСО/HL 7 27931-2015, страница 1851 страница 1851
  • ГОСТ Р ИСО/HL 7 27931-2015, страница 1852 страница 1852
  • ГОСТ Р ИСО/HL 7 27931-2015, страница 1853 страница 1853
  • ГОСТ Р ИСО/HL 7 27931-2015, страница 1854 страница 1854
  • ГОСТ Р ИСО/HL 7 27931-2015, страница 1855 страница 1855
  • ГОСТ Р ИСО/HL 7 27931-2015, страница 1856 страница 1856
  • ГОСТ Р ИСО/HL 7 27931-2015, страница 1857 страница 1857
  • ГОСТ Р ИСО/HL 7 27931-2015, страница 1858 страница 1858
  • ГОСТ Р ИСО/HL 7 27931-2015, страница 1859 страница 1859
  • ГОСТ Р ИСО/HL 7 27931-2015, страница 1860 страница 1860
  • ГОСТ Р ИСО/HL 7 27931-2015, страница 1861 страница 1861
  • ГОСТ Р ИСО/HL 7 27931-2015, страница 1862 страница 1862
  • ГОСТ Р ИСО/HL 7 27931-2015, страница 1863 страница 1863
  • ГОСТ Р ИСО/HL 7 27931-2015, страница 1864 страница 1864
  • ГОСТ Р ИСО/HL 7 27931-2015, страница 1865 страница 1865
  • ГОСТ Р ИСО/HL 7 27931-2015, страница 1866 страница 1866
  • ГОСТ Р ИСО/HL 7 27931-2015, страница 1867 страница 1867
  • ГОСТ Р ИСО/HL 7 27931-2015, страница 1868 страница 1868
  • ГОСТ Р ИСО/HL 7 27931-2015, страница 1869 страница 1869
  • ГОСТ Р ИСО/HL 7 27931-2015, страница 1870 страница 1870
  • ГОСТ Р ИСО/HL 7 27931-2015, страница 1871 страница 1871
  • ГОСТ Р ИСО/HL 7 27931-2015, страница 1872 страница 1872
  • ГОСТ Р ИСО/HL 7 27931-2015, страница 1873 страница 1873
  • ГОСТ Р ИСО/HL 7 27931-2015, страница 1874 страница 1874
  • ГОСТ Р ИСО/HL 7 27931-2015, страница 1875 страница 1875
  • ГОСТ Р ИСО/HL 7 27931-2015, страница 1876 страница 1876
  • ГОСТ Р ИСО/HL 7 27931-2015, страница 1877 страница 1877
  • ГОСТ Р ИСО/HL 7 27931-2015, страница 1878 страница 1878
  • ГОСТ Р ИСО/HL 7 27931-2015, страница 1879 страница 1879
  • ГОСТ Р ИСО/HL 7 27931-2015, страница 1880 страница 1880
  • ГОСТ Р ИСО/HL 7 27931-2015, страница 1881 страница 1881
  • ГОСТ Р ИСО/HL 7 27931-2015, страница 1882 страница 1882
  • ГОСТ Р ИСО/HL 7 27931-2015, страница 1883 страница 1883
  • ГОСТ Р ИСО/HL 7 27931-2015, страница 1884 страница 1884
  • ГОСТ Р ИСО/HL 7 27931-2015, страница 1885 страница 1885
  • ГОСТ Р ИСО/HL 7 27931-2015, страница 1886 страница 1886
  • ГОСТ Р ИСО/HL 7 27931-2015, страница 1887 страница 1887
  • ГОСТ Р ИСО/HL 7 27931-2015, страница 1888 страница 1888
  • ГОСТ Р ИСО/HL 7 27931-2015, страница 1889 страница 1889
  • ГОСТ Р ИСО/HL 7 27931-2015, страница 1890 страница 1890
  • ГОСТ Р ИСО/HL 7 27931-2015, страница 1891 страница 1891
  • ГОСТ Р ИСО/HL 7 27931-2015, страница 1892 страница 1892
  • ГОСТ Р ИСО/HL 7 27931-2015, страница 1893 страница 1893
  • ГОСТ Р ИСО/HL 7 27931-2015, страница 1894 страница 1894
  • ГОСТ Р ИСО/HL 7 27931-2015, страница 1895 страница 1895
  • ГОСТ Р ИСО/HL 7 27931-2015, страница 1896 страница 1896
  • ГОСТ Р ИСО/HL 7 27931-2015, страница 1897 страница 1897
  • ГОСТ Р ИСО/HL 7 27931-2015, страница 1898 страница 1898
  • ГОСТ Р ИСО/HL 7 27931-2015, страница 1899 страница 1899
  • ГОСТ Р ИСО/HL 7 27931-2015, страница 1900 страница 1900
  • ГОСТ Р ИСО/HL 7 27931-2015, страница 1901 страница 1901
  • ГОСТ Р ИСО/HL 7 27931-2015, страница 1902 страница 1902
  • ГОСТ Р ИСО/HL 7 27931-2015, страница 1903 страница 1903
  • ГОСТ Р ИСО/HL 7 27931-2015, страница 1904 страница 1904
  • ГОСТ Р ИСО/HL 7 27931-2015, страница 1905 страница 1905
  • ГОСТ Р ИСО/HL 7 27931-2015, страница 1906 страница 1906
  • ГОСТ Р ИСО/HL 7 27931-2015, страница 1907 страница 1907
  • ГОСТ Р ИСО/HL 7 27931-2015, страница 1908 страница 1908
  • ГОСТ Р ИСО/HL 7 27931-2015, страница 1909 страница 1909
  • ГОСТ Р ИСО/HL 7 27931-2015, страница 1910 страница 1910
  • ГОСТ Р ИСО/HL 7 27931-2015, страница 1911 страница 1911
  • ГОСТ Р ИСО/HL 7 27931-2015, страница 1912 страница 1912
  • ГОСТ Р ИСО/HL 7 27931-2015, страница 1913 страница 1913
  • ГОСТ Р ИСО/HL 7 27931-2015, страница 1914 страница 1914
  • ГОСТ Р ИСО/HL 7 27931-2015, страница 1915 страница 1915
  • ГОСТ Р ИСО/HL 7 27931-2015, страница 1916 страница 1916
  • ГОСТ Р ИСО/HL 7 27931-2015, страница 1917 страница 1917
  • ГОСТ Р ИСО/HL 7 27931-2015, страница 1918 страница 1918
  • ГОСТ Р ИСО/HL 7 27931-2015, страница 1919 страница 1919
  • ГОСТ Р ИСО/HL 7 27931-2015, страница 1920 страница 1920
  • ГОСТ Р ИСО/HL 7 27931-2015, страница 1921 страница 1921
  • ГОСТ Р ИСО/HL 7 27931-2015, страница 1922 страница 1922
  • ГОСТ Р ИСО/HL 7 27931-2015, страница 1923 страница 1923
  • ГОСТ Р ИСО/HL 7 27931-2015, страница 1924 страница 1924
  • ГОСТ Р ИСО/HL 7 27931-2015, страница 1925 страница 1925
  • ГОСТ Р ИСО/HL 7 27931-2015, страница 1926 страница 1926
  • ГОСТ Р ИСО/HL 7 27931-2015, страница 1927 страница 1927
  • ГОСТ Р ИСО/HL 7 27931-2015, страница 1928 страница 1928
  • ГОСТ Р ИСО/HL 7 27931-2015, страница 1929 страница 1929
  • ГОСТ Р ИСО/HL 7 27931-2015, страница 1930 страница 1930
  • ГОСТ Р ИСО/HL 7 27931-2015, страница 1931 страница 1931
  • ГОСТ Р ИСО/HL 7 27931-2015, страница 1932 страница 1932
  • ГОСТ Р ИСО/HL 7 27931-2015, страница 1933 страница 1933
  • ГОСТ Р ИСО/HL 7 27931-2015, страница 1934 страница 1934
  • ГОСТ Р ИСО/HL 7 27931-2015, страница 1935 страница 1935
  • ГОСТ Р ИСО/HL 7 27931-2015, страница 1936 страница 1936
  • ГОСТ Р ИСО/HL 7 27931-2015, страница 1937 страница 1937
  • ГОСТ Р ИСО/HL 7 27931-2015, страница 1938 страница 1938
  • ГОСТ Р ИСО/HL 7 27931-2015, страница 1939 страница 1939
  • ГОСТ Р ИСО/HL 7 27931-2015, страница 1940 страница 1940
  • ГОСТ Р ИСО/HL 7 27931-2015, страница 1941 страница 1941
  • ГОСТ Р ИСО/HL 7 27931-2015, страница 1942 страница 1942
  • ГОСТ Р ИСО/HL 7 27931-2015, страница 1943 страница 1943
  • ГОСТ Р ИСО/HL 7 27931-2015, страница 1944 страница 1944
  • ГОСТ Р ИСО/HL 7 27931-2015, страница 1945 страница 1945
  • ГОСТ Р ИСО/HL 7 27931-2015, страница 1946 страница 1946
  • ГОСТ Р ИСО/HL 7 27931-2015, страница 1947 страница 1947
  • ГОСТ Р ИСО/HL 7 27931-2015, страница 1948 страница 1948
  • ГОСТ Р ИСО/HL 7 27931-2015, страница 1949 страница 1949
  • ГОСТ Р ИСО/HL 7 27931-2015, страница 1950 страница 1950
  • ГОСТ Р ИСО/HL 7 27931-2015, страница 1951 страница 1951
  • ГОСТ Р ИСО/HL 7 27931-2015, страница 1952 страница 1952
  • ГОСТ Р ИСО/HL 7 27931-2015, страница 1953 страница 1953
  • ГОСТ Р ИСО/HL 7 27931-2015, страница 1954 страница 1954
  • ГОСТ Р ИСО/HL 7 27931-2015, страница 1955 страница 1955
  • ГОСТ Р ИСО/HL 7 27931-2015, страница 1956 страница 1956
  • ГОСТ Р ИСО/HL 7 27931-2015, страница 1957 страница 1957
  • ГОСТ Р ИСО/HL 7 27931-2015, страница 1958 страница 1958
  • ГОСТ Р ИСО/HL 7 27931-2015, страница 1959 страница 1959
  • ГОСТ Р ИСО/HL 7 27931-2015, страница 1960 страница 1960
  • ГОСТ Р ИСО/HL 7 27931-2015, страница 1961 страница 1961
  • ГОСТ Р ИСО/HL 7 27931-2015, страница 1962 страница 1962
  • ГОСТ Р ИСО/HL 7 27931-2015, страница 1963 страница 1963
  • ГОСТ Р ИСО/HL 7 27931-2015, страница 1964 страница 1964
  • ГОСТ Р ИСО/HL 7 27931-2015, страница 1965 страница 1965
  • ГОСТ Р ИСО/HL 7 27931-2015, страница 1966 страница 1966
  • ГОСТ Р ИСО/HL 7 27931-2015, страница 1967 страница 1967
  • ГОСТ Р ИСО/HL 7 27931-2015, страница 1968 страница 1968
  • ГОСТ Р ИСО/HL 7 27931-2015, страница 1969 страница 1969
  • ГОСТ Р ИСО/HL 7 27931-2015, страница 1970 страница 1970
  • ГОСТ Р ИСО/HL 7 27931-2015, страница 1971 страница 1971
  • ГОСТ Р ИСО/HL 7 27931-2015, страница 1972 страница 1972
  • ГОСТ Р ИСО/HL 7 27931-2015, страница 1973 страница 1973
  • ГОСТ Р ИСО/HL 7 27931-2015, страница 1974 страница 1974
  • ГОСТ Р ИСО/HL 7 27931-2015, страница 1975 страница 1975
  • ГОСТ Р ИСО/HL 7 27931-2015, страница 1976 страница 1976
  • ГОСТ Р ИСО/HL 7 27931-2015, страница 1977 страница 1977
  • ГОСТ Р ИСО/HL 7 27931-2015, страница 1978 страница 1978
  • ГОСТ Р ИСО/HL 7 27931-2015, страница 1979 страница 1979
  • ГОСТ Р ИСО/HL 7 27931-2015, страница 1980 страница 1980
  • ГОСТ Р ИСО/HL 7 27931-2015, страница 1981 страница 1981
  • ГОСТ Р ИСО/HL 7 27931-2015, страница 1982 страница 1982
  • ГОСТ Р ИСО/HL 7 27931-2015, страница 1983 страница 1983
  • ГОСТ Р ИСО/HL 7 27931-2015, страница 1984 страница 1984
  • ГОСТ Р ИСО/HL 7 27931-2015, страница 1985 страница 1985
  • ГОСТ Р ИСО/HL 7 27931-2015, страница 1986 страница 1986
  • ГОСТ Р ИСО/HL 7 27931-2015, страница 1987 страница 1987
  • ГОСТ Р ИСО/HL 7 27931-2015, страница 1988 страница 1988
  • ГОСТ Р ИСО/HL 7 27931-2015, страница 1989 страница 1989
  • ГОСТ Р ИСО/HL 7 27931-2015, страница 1990 страница 1990
  • ГОСТ Р ИСО/HL 7 27931-2015, страница 1991 страница 1991
  • ГОСТ Р ИСО/HL 7 27931-2015, страница 1992 страница 1992
  • ГОСТ Р ИСО/HL 7 27931-2015, страница 1993 страница 1993
  • ГОСТ Р ИСО/HL 7 27931-2015, страница 1994 страница 1994
  • ГОСТ Р ИСО/HL 7 27931-2015, страница 1995 страница 1995
  • ГОСТ Р ИСО/HL 7 27931-2015, страница 1996 страница 1996
  • ГОСТ Р ИСО/HL 7 27931-2015, страница 1997 страница 1997
  • ГОСТ Р ИСО/HL 7 27931-2015, страница 1998 страница 1998
  • ГОСТ Р ИСО/HL 7 27931-2015, страница 1999 страница 1999
  • ГОСТ Р ИСО/HL 7 27931-2015, страница 2000 страница 2000
  • ГОСТ Р ИСО/HL 7 27931-2015, страница 2001 страница 2001
  • ГОСТ Р ИСО/HL 7 27931-2015, страница 2002 страница 2002
  • ГОСТ Р ИСО/HL 7 27931-2015, страница 2003 страница 2003
  • ГОСТ Р ИСО/HL 7 27931-2015, страница 2004 страница 2004
  • ГОСТ Р ИСО/HL 7 27931-2015, страница 2005 страница 2005
  • ГОСТ Р ИСО/HL 7 27931-2015, страница 2006 страница 2006
  • ГОСТ Р ИСО/HL 7 27931-2015, страница 2007 страница 2007
  • ГОСТ Р ИСО/HL 7 27931-2015, страница 2008 страница 2008
  • ГОСТ Р ИСО/HL 7 27931-2015, страница 2009 страница 2009
  • ГОСТ Р ИСО/HL 7 27931-2015, страница 2010 страница 2010
  • ГОСТ Р ИСО/HL 7 27931-2015, страница 2011 страница 2011
  • ГОСТ Р ИСО/HL 7 27931-2015, страница 2012 страница 2012
  • ГОСТ Р ИСО/HL 7 27931-2015, страница 2013 страница 2013
  • ГОСТ Р ИСО/HL 7 27931-2015, страница 2014 страница 2014
  • ГОСТ Р ИСО/HL 7 27931-2015, страница 2015 страница 2015
  • ГОСТ Р ИСО/HL 7 27931-2015, страница 2016 страница 2016
  • ГОСТ Р ИСО/HL 7 27931-2015, страница 2017 страница 2017
  • ГОСТ Р ИСО/HL 7 27931-2015, страница 2018 страница 2018
  • ГОСТ Р ИСО/HL 7 27931-2015, страница 2019 страница 2019
  • ГОСТ Р ИСО/HL 7 27931-2015, страница 2020 страница 2020
  • ГОСТ Р ИСО/HL 7 27931-2015, страница 2021 страница 2021
  • ГОСТ Р ИСО/HL 7 27931-2015, страница 2022 страница 2022
  • ГОСТ Р ИСО/HL 7 27931-2015, страница 2023 страница 2023
  • ГОСТ Р ИСО/HL 7 27931-2015, страница 2024 страница 2024
  • ГОСТ Р ИСО/HL 7 27931-2015, страница 2025 страница 2025
  • ГОСТ Р ИСО/HL 7 27931-2015, страница 2026 страница 2026
  • ГОСТ Р ИСО/HL 7 27931-2015, страница 2027 страница 2027
  • ГОСТ Р ИСО/HL 7 27931-2015, страница 2028 страница 2028
  • ГОСТ Р ИСО/HL 7 27931-2015, страница 2029 страница 2029
  • ГОСТ Р ИСО/HL 7 27931-2015, страница 2030 страница 2030
  • ГОСТ Р ИСО/HL 7 27931-2015, страница 2031 страница 2031
  • ГОСТ Р ИСО/HL 7 27931-2015, страница 2032 страница 2032
  • ГОСТ Р ИСО/HL 7 27931-2015, страница 2033 страница 2033
  • ГОСТ Р ИСО/HL 7 27931-2015, страница 2034 страница 2034
  • ГОСТ Р ИСО/HL 7 27931-2015, страница 2035 страница 2035
  • ГОСТ Р ИСО/HL 7 27931-2015, страница 2036 страница 2036
  • ГОСТ Р ИСО/HL 7 27931-2015, страница 2037 страница 2037
  • ГОСТ Р ИСО/HL 7 27931-2015, страница 2038 страница 2038
  • ГОСТ Р ИСО/HL 7 27931-2015, страница 2039 страница 2039
  • ГОСТ Р ИСО/HL 7 27931-2015, страница 2040 страница 2040
  • ГОСТ Р ИСО/HL 7 27931-2015, страница 2041 страница 2041
  • ГОСТ Р ИСО/HL 7 27931-2015, страница 2042 страница 2042
  • ГОСТ Р ИСО/HL 7 27931-2015, страница 2043 страница 2043
  • ГОСТ Р ИСО/HL 7 27931-2015, страница 2044 страница 2044
  • ГОСТ Р ИСО/HL 7 27931-2015, страница 2045 страница 2045
  • ГОСТ Р ИСО/HL 7 27931-2015, страница 2046 страница 2046
  • ГОСТ Р ИСО/HL 7 27931-2015, страница 2047 страница 2047
  • ГОСТ Р ИСО/HL 7 27931-2015, страница 2048 страница 2048
  • ГОСТ Р ИСО/HL 7 27931-2015, страница 2049 страница 2049
  • ГОСТ Р ИСО/HL 7 27931-2015, страница 2050 страница 2050
  • ГОСТ Р ИСО/HL 7 27931-2015, страница 2051 страница 2051
  • ГОСТ Р ИСО/HL 7 27931-2015, страница 2052 страница 2052
  • ГОСТ Р ИСО/HL 7 27931-2015, страница 2053 страница 2053
  • ГОСТ Р ИСО/HL 7 27931-2015, страница 2054 страница 2054
  • ГОСТ Р ИСО/HL 7 27931-2015, страница 2055 страница 2055
  • ГОСТ Р ИСО/HL 7 27931-2015, страница 2056 страница 2056
  • ГОСТ Р ИСО/HL 7 27931-2015, страница 2057 страница 2057
  • ГОСТ Р ИСО/HL 7 27931-2015, страница 2058 страница 2058
  • ГОСТ Р ИСО/HL 7 27931-2015, страница 2059 страница 2059
  • ГОСТ Р ИСО/HL 7 27931-2015, страница 2060 страница 2060
  • ГОСТ Р ИСО/HL 7 27931-2015, страница 2061 страница 2061
  • ГОСТ Р ИСО/HL 7 27931-2015, страница 2062 страница 2062
  • ГОСТ Р ИСО/HL 7 27931-2015, страница 2063 страница 2063
  • ГОСТ Р ИСО/HL 7 27931-2015, страница 2064 страница 2064
  • ГОСТ Р ИСО/HL 7 27931-2015, страница 2065 страница 2065
  • ГОСТ Р ИСО/HL 7 27931-2015, страница 2066 страница 2066
  • ГОСТ Р ИСО/HL 7 27931-2015, страница 2067 страница 2067
  • ГОСТ Р ИСО/HL 7 27931-2015, страница 2068 страница 2068
  • ГОСТ Р ИСО/HL 7 27931-2015, страница 2069 страница 2069
  • ГОСТ Р ИСО/HL 7 27931-2015, страница 2070 страница 2070
  • ГОСТ Р ИСО/HL 7 27931-2015, страница 2071 страница 2071
  • ГОСТ Р ИСО/HL 7 27931-2015, страница 2072 страница 2072
  • ГОСТ Р ИСО/HL 7 27931-2015, страница 2073 страница 2073
  • ГОСТ Р ИСО/HL 7 27931-2015, страница 2074 страница 2074
  • ГОСТ Р ИСО/HL 7 27931-2015, страница 2075 страница 2075
  • ГОСТ Р ИСО/HL 7 27931-2015, страница 2076 страница 2076
  • ГОСТ Р ИСО/HL 7 27931-2015, страница 2077 страница 2077
  • ГОСТ Р ИСО/HL 7 27931-2015, страница 2078 страница 2078
  • ГОСТ Р ИСО/HL 7 27931-2015, страница 2079 страница 2079
  • ГОСТ Р ИСО/HL 7 27931-2015, страница 2080 страница 2080
  • ГОСТ Р ИСО/HL 7 27931-2015, страница 2081 страница 2081
  • ГОСТ Р ИСО/HL 7 27931-2015, страница 2082 страница 2082
  • ГОСТ Р ИСО/HL 7 27931-2015, страница 2083 страница 2083
  • ГОСТ Р ИСО/HL 7 27931-2015, страница 2084 страница 2084
  • ГОСТ Р ИСО/HL 7 27931-2015, страница 2085 страница 2085
  • ГОСТ Р ИСО/HL 7 27931-2015, страница 2086 страница 2086
  • ГОСТ Р ИСО/HL 7 27931-2015, страница 2087 страница 2087
  • ГОСТ Р ИСО/HL 7 27931-2015, страница 2088 страница 2088
  • ГОСТ Р ИСО/HL 7 27931-2015, страница 2089 страница 2089
  • ГОСТ Р ИСО/HL 7 27931-2015, страница 2090 страница 2090
  • ГОСТ Р ИСО/HL 7 27931-2015, страница 2091 страница 2091
  • ГОСТ Р ИСО/HL 7 27931-2015, страница 2092 страница 2092
  • ГОСТ Р ИСО/HL 7 27931-2015, страница 2093 страница 2093
  • ГОСТ Р ИСО/HL 7 27931-2015, страница 2094 страница 2094
  • ГОСТ Р ИСО/HL 7 27931-2015, страница 2095 страница 2095
  • ГОСТ Р ИСО/HL 7 27931-2015, страница 2096 страница 2096
  • ГОСТ Р ИСО/HL 7 27931-2015, страница 2097 страница 2097
  • ГОСТ Р ИСО/HL 7 27931-2015, страница 2098 страница 2098
  • ГОСТ Р ИСО/HL 7 27931-2015, страница 2099 страница 2099
  • ГОСТ Р ИСО/HL 7 27931-2015, страница 2100 страница 2100
  • ГОСТ Р ИСО/HL 7 27931-2015, страница 2101 страница 2101
  • ГОСТ Р ИСО/HL 7 27931-2015, страница 2102 страница 2102
  • ГОСТ Р ИСО/HL 7 27931-2015, страница 2103 страница 2103
  • ГОСТ Р ИСО/HL 7 27931-2015, страница 2104 страница 2104
  • ГОСТ Р ИСО/HL 7 27931-2015, страница 2105 страница 2105
  • ГОСТ Р ИСО/HL 7 27931-2015, страница 2106 страница 2106
  • ГОСТ Р ИСО/HL 7 27931-2015, страница 2107 страница 2107
  • ГОСТ Р ИСО/HL 7 27931-2015, страница 2108 страница 2108
  • ГОСТ Р ИСО/HL 7 27931-2015, страница 2109 страница 2109
  • ГОСТ Р ИСО/HL 7 27931-2015, страница 2110 страница 2110
  • ГОСТ Р ИСО/HL 7 27931-2015, страница 2111 страница 2111
  • ГОСТ Р ИСО/HL 7 27931-2015, страница 2112 страница 2112
  • ГОСТ Р ИСО/HL 7 27931-2015, страница 2113 страница 2113
  • ГОСТ Р ИСО/HL 7 27931-2015, страница 2114 страница 2114
  • ГОСТ Р ИСО/HL 7 27931-2015, страница 2115 страница 2115
  • ГОСТ Р ИСО/HL 7 27931-2015, страница 2116 страница 2116
  • ГОСТ Р ИСО/HL 7 27931-2015, страница 2117 страница 2117
  • ГОСТ Р ИСО/HL 7 27931-2015, страница 2118 страница 2118
  • ГОСТ Р ИСО/HL 7 27931-2015, страница 2119 страница 2119
  • ГОСТ Р ИСО/HL 7 27931-2015, страница 2120 страница 2120
  • ГОСТ Р ИСО/HL 7 27931-2015, страница 2121 страница 2121
  • ГОСТ Р ИСО/HL 7 27931-2015, страница 2122 страница 2122
  • ГОСТ Р ИСО/HL 7 27931-2015, страница 2123 страница 2123
  • ГОСТ Р ИСО/HL 7 27931-2015, страница 2124 страница 2124
  • ГОСТ Р ИСО/HL 7 27931-2015, страница 2125 страница 2125
  • ГОСТ Р ИСО/HL 7 27931-2015, страница 2126 страница 2126
  • ГОСТ Р ИСО/HL 7 27931-2015, страница 2127 страница 2127
  • ГОСТ Р ИСО/HL 7 27931-2015, страница 2128 страница 2128
  • ГОСТ Р ИСО/HL 7 27931-2015, страница 2129 страница 2129
  • ГОСТ Р ИСО/HL 7 27931-2015, страница 2130 страница 2130
  • ГОСТ Р ИСО/HL 7 27931-2015, страница 2131 страница 2131
  • ГОСТ Р ИСО/HL 7 27931-2015, страница 2132 страница 2132
  • ГОСТ Р ИСО/HL 7 27931-2015, страница 2133 страница 2133
  • ГОСТ Р ИСО/HL 7 27931-2015, страница 2134 страница 2134
  • ГОСТ Р ИСО/HL 7 27931-2015, страница 2135 страница 2135
  • ГОСТ Р ИСО/HL 7 27931-2015, страница 2136 страница 2136
  • ГОСТ Р ИСО/HL 7 27931-2015, страница 2137 страница 2137
  • ГОСТ Р ИСО/HL 7 27931-2015, страница 2138 страница 2138
  • ГОСТ Р ИСО/HL 7 27931-2015, страница 2139 страница 2139
  • ГОСТ Р ИСО/HL 7 27931-2015, страница 2140 страница 2140
  • ГОСТ Р ИСО/HL 7 27931-2015, страница 2141 страница 2141
  • ГОСТ Р ИСО/HL 7 27931-2015, страница 2142 страница 2142
  • ГОСТ Р ИСО/HL 7 27931-2015, страница 2143 страница 2143
  • ГОСТ Р ИСО/HL 7 27931-2015, страница 2144 страница 2144
  • ГОСТ Р ИСО/HL 7 27931-2015, страница 2145 страница 2145
  • ГОСТ Р ИСО/HL 7 27931-2015, страница 2146 страница 2146
  • ГОСТ Р ИСО/HL 7 27931-2015, страница 2147 страница 2147
  • ГОСТ Р ИСО/HL 7 27931-2015, страница 2148 страница 2148
  • ГОСТ Р ИСО/HL 7 27931-2015, страница 2149 страница 2149
  • ГОСТ Р ИСО/HL 7 27931-2015, страница 2150 страница 2150
  • ГОСТ Р ИСО/HL 7 27931-2015, страница 2151 страница 2151
  • ГОСТ Р ИСО/HL 7 27931-2015, страница 2152 страница 2152
  • ГОСТ Р ИСО/HL 7 27931-2015, страница 2153 страница 2153
  • ГОСТ Р ИСО/HL 7 27931-2015, страница 2154 страница 2154
  • ГОСТ Р ИСО/HL 7 27931-2015, страница 2155 страница 2155
  • ГОСТ Р ИСО/HL 7 27931-2015, страница 2156 страница 2156
  • ГОСТ Р ИСО/HL 7 27931-2015, страница 2157 страница 2157
  • ГОСТ Р ИСО/HL 7 27931-2015, страница 2158 страница 2158
  • ГОСТ Р ИСО/HL 7 27931-2015, страница 2159 страница 2159
  • ГОСТ Р ИСО/HL 7 27931-2015, страница 2160 страница 2160
  • ГОСТ Р ИСО/HL 7 27931-2015, страница 2161 страница 2161
  • ГОСТ Р ИСО/HL 7 27931-2015, страница 2162 страница 2162
  • ГОСТ Р ИСО/HL 7 27931-2015, страница 2163 страница 2163
  • ГОСТ Р ИСО/HL 7 27931-2015, страница 2164 страница 2164
  • ГОСТ Р ИСО/HL 7 27931-2015, страница 2165 страница 2165
  • ГОСТ Р ИСО/HL 7 27931-2015, страница 2166 страница 2166
  • ГОСТ Р ИСО/HL 7 27931-2015, страница 2167 страница 2167
  • ГОСТ Р ИСО/HL 7 27931-2015, страница 2168 страница 2168
  • ГОСТ Р ИСО/HL 7 27931-2015, страница 2169 страница 2169
  • ГОСТ Р ИСО/HL 7 27931-2015, страница 2170 страница 2170
  • ГОСТ Р ИСО/HL 7 27931-2015, страница 2171 страница 2171
  • ГОСТ Р ИСО/HL 7 27931-2015, страница 2172 страница 2172
  • ГОСТ Р ИСО/HL 7 27931-2015, страница 2173 страница 2173
  • ГОСТ Р ИСО/HL 7 27931-2015, страница 2174 страница 2174
  • ГОСТ Р ИСО/HL 7 27931-2015, страница 2175 страница 2175
  • ГОСТ Р ИСО/HL 7 27931-2015, страница 2176 страница 2176
  • ГОСТ Р ИСО/HL 7 27931-2015, страница 2177 страница 2177
  • ГОСТ Р ИСО/HL 7 27931-2015, страница 2178 страница 2178
  • ГОСТ Р ИСО/HL 7 27931-2015, страница 2179 страница 2179
  • ГОСТ Р ИСО/HL 7 27931-2015, страница 2180 страница 2180
  • ГОСТ Р ИСО/HL 7 27931-2015, страница 2181 страница 2181
  • ГОСТ Р ИСО/HL 7 27931-2015, страница 2182 страница 2182
  • ГОСТ Р ИСО/HL 7 27931-2015, страница 2183 страница 2183
  • ГОСТ Р ИСО/HL 7 27931-2015, страница 2184 страница 2184
  • ГОСТ Р ИСО/HL 7 27931-2015, страница 2185 страница 2185
  • ГОСТ Р ИСО/HL 7 27931-2015, страница 2186 страница 2186
  • ГОСТ Р ИСО/HL 7 27931-2015, страница 2187 страница 2187
  • ГОСТ Р ИСО/HL 7 27931-2015, страница 2188 страница 2188
  • ГОСТ Р ИСО/HL 7 27931-2015, страница 2189 страница 2189
  • ГОСТ Р ИСО/HL 7 27931-2015, страница 2190 страница 2190
  • ГОСТ Р ИСО/HL 7 27931-2015, страница 2191 страница 2191
  • ГОСТ Р ИСО/HL 7 27931-2015, страница 2192 страница 2192
  • ГОСТ Р ИСО/HL 7 27931-2015, страница 2193 страница 2193
  • ГОСТ Р ИСО/HL 7 27931-2015, страница 2194 страница 2194
  • ГОСТ Р ИСО/HL 7 27931-2015, страница 2195 страница 2195
  • ГОСТ Р ИСО/HL 7 27931-2015, страница 2196 страница 2196
  • ГОСТ Р ИСО/HL 7 27931-2015, страница 2197 страница 2197
  • ГОСТ Р ИСО/HL 7 27931-2015, страница 2198 страница 2198
  • ГОСТ Р ИСО/HL 7 27931-2015, страница 2199 страница 2199
  • ГОСТ Р ИСО/HL 7 27931-2015, страница 2200 страница 2200
  • ГОСТ Р ИСО/HL 7 27931-2015, страница 2201 страница 2201
  • ГОСТ Р ИСО/HL 7 27931-2015, страница 2202 страница 2202
  • ГОСТ Р ИСО/HL 7 27931-2015, страница 2203 страница 2203
  • ГОСТ Р ИСО/HL 7 27931-2015, страница 2204 страница 2204
  • ГОСТ Р ИСО/HL 7 27931-2015, страница 2205 страница 2205
  • ГОСТ Р ИСО/HL 7 27931-2015, страница 2206 страница 2206
  • ГОСТ Р ИСО/HL 7 27931-2015, страница 2207 страница 2207
  • ГОСТ Р ИСО/HL 7 27931-2015, страница 2208 страница 2208
  • ГОСТ Р ИСО/HL 7 27931-2015, страница 2209 страница 2209
  • ГОСТ Р ИСО/HL 7 27931-2015, страница 2210 страница 2210
  • ГОСТ Р ИСО/HL 7 27931-2015, страница 2211 страница 2211
  • ГОСТ Р ИСО/HL 7 27931-2015, страница 2212 страница 2212
  • ГОСТ Р ИСО/HL 7 27931-2015, страница 2213 страница 2213
  • ГОСТ Р ИСО/HL 7 27931-2015, страница 2214 страница 2214
  • ГОСТ Р ИСО/HL 7 27931-2015, страница 2215 страница 2215
  • ГОСТ Р ИСО/HL 7 27931-2015, страница 2216 страница 2216
  • ГОСТ Р ИСО/HL 7 27931-2015, страница 2217 страница 2217
  • ГОСТ Р ИСО/HL 7 27931-2015, страница 2218 страница 2218
  • ГОСТ Р ИСО/HL 7 27931-2015, страница 2219 страница 2219
  • ГОСТ Р ИСО/HL 7 27931-2015, страница 2220 страница 2220
  • ГОСТ Р ИСО/HL 7 27931-2015, страница 2221 страница 2221
  • ГОСТ Р ИСО/HL 7 27931-2015, страница 2222 страница 2222
  • ГОСТ Р ИСО/HL 7 27931-2015, страница 2223 страница 2223
  • ГОСТ Р ИСО/HL 7 27931-2015, страница 2224 страница 2224
  • ГОСТ Р ИСО/HL 7 27931-2015, страница 2225 страница 2225
  • ГОСТ Р ИСО/HL 7 27931-2015, страница 2226 страница 2226
  • ГОСТ Р ИСО/HL 7 27931-2015, страница 2227 страница 2227
  • ГОСТ Р ИСО/HL 7 27931-2015, страница 2228 страница 2228
  • ГОСТ Р ИСО/HL 7 27931-2015, страница 2229 страница 2229
  • ГОСТ Р ИСО/HL 7 27931-2015, страница 2230 страница 2230
  • ГОСТ Р ИСО/HL 7 27931-2015, страница 2231 страница 2231
  • ГОСТ Р ИСО/HL 7 27931-2015, страница 2232 страница 2232
  • ГОСТ Р ИСО/HL 7 27931-2015, страница 2233 страница 2233
  • ГОСТ Р ИСО/HL 7 27931-2015, страница 2234 страница 2234
  • ГОСТ Р ИСО/HL 7 27931-2015, страница 2235 страница 2235
  • ГОСТ Р ИСО/HL 7 27931-2015, страница 2236 страница 2236
  • ГОСТ Р ИСО/HL 7 27931-2015, страница 2237 страница 2237
  • ГОСТ Р ИСО/HL 7 27931-2015, страница 2238 страница 2238
  • ГОСТ Р ИСО/HL 7 27931-2015, страница 2239 страница 2239
  • ГОСТ Р ИСО/HL 7 27931-2015, страница 2240 страница 2240
  • ГОСТ Р ИСО/HL 7 27931-2015, страница 2241 страница 2241
  • ГОСТ Р ИСО/HL 7 27931-2015, страница 2242 страница 2242
  • ГОСТ Р ИСО/HL 7 27931-2015, страница 2243 страница 2243
  • ГОСТ Р ИСО/HL 7 27931-2015, страница 2244 страница 2244
  • ГОСТ Р ИСО/HL 7 27931-2015, страница 2245 страница 2245
  • ГОСТ Р ИСО/HL 7 27931-2015, страница 2246 страница 2246
  • ГОСТ Р ИСО/HL 7 27931-2015, страница 2247 страница 2247
  • ГОСТ Р ИСО/HL 7 27931-2015, страница 2248 страница 2248
  • ГОСТ Р ИСО/HL 7 27931-2015, страница 2249 страница 2249
  • ГОСТ Р ИСО/HL 7 27931-2015, страница 2250 страница 2250
  • ГОСТ Р ИСО/HL 7 27931-2015, страница 2251 страница 2251
  • ГОСТ Р ИСО/HL 7 27931-2015, страница 2252 страница 2252
  • ГОСТ Р ИСО/HL 7 27931-2015, страница 2253 страница 2253
  • ГОСТ Р ИСО/HL 7 27931-2015, страница 2254 страница 2254
  • ГОСТ Р ИСО/HL 7 27931-2015, страница 2255 страница 2255
  • ГОСТ Р ИСО/HL 7 27931-2015, страница 2256 страница 2256
  • ГОСТ Р ИСО/HL 7 27931-2015, страница 2257 страница 2257
  • ГОСТ Р ИСО/HL 7 27931-2015, страница 2258 страница 2258
  • ГОСТ Р ИСО/HL 7 27931-2015, страница 2259 страница 2259
  • ГОСТ Р ИСО/HL 7 27931-2015, страница 2260 страница 2260
  • ГОСТ Р ИСО/HL 7 27931-2015, страница 2261 страница 2261
  • ГОСТ Р ИСО/HL 7 27931-2015, страница 2262 страница 2262
  • ГОСТ Р ИСО/HL 7 27931-2015, страница 2263 страница 2263
  • ГОСТ Р ИСО/HL 7 27931-2015, страница 2264 страница 2264
  • ГОСТ Р ИСО/HL 7 27931-2015, страница 2265 страница 2265
  • ГОСТ Р ИСО/HL 7 27931-2015, страница 2266 страница 2266
  • ГОСТ Р ИСО/HL 7 27931-2015, страница 2267 страница 2267
  • ГОСТ Р ИСО/HL 7 27931-2015, страница 2268 страница 2268
  • ГОСТ Р ИСО/HL 7 27931-2015, страница 2269 страница 2269
  • ГОСТ Р ИСО/HL 7 27931-2015, страница 2270 страница 2270
  • ГОСТ Р ИСО/HL 7 27931-2015, страница 2271 страница 2271
  • ГОСТ Р ИСО/HL 7 27931-2015, страница 2272 страница 2272
  • ГОСТ Р ИСО/HL 7 27931-2015, страница 2273 страница 2273
  • ГОСТ Р ИСО/HL 7 27931-2015, страница 2274 страница 2274
  • ГОСТ Р ИСО/HL 7 27931-2015, страница 2275 страница 2275
  • ГОСТ Р ИСО/HL 7 27931-2015, страница 2276 страница 2276
  • ГОСТ Р ИСО/HL 7 27931-2015, страница 2277 страница 2277
  • ГОСТ Р ИСО/HL 7 27931-2015, страница 2278 страница 2278
  • ГОСТ Р ИСО/HL 7 27931-2015, страница 2279 страница 2279
  • ГОСТ Р ИСО/HL 7 27931-2015, страница 2280 страница 2280
  • ГОСТ Р ИСО/HL 7 27931-2015, страница 2281 страница 2281
  • ГОСТ Р ИСО/HL 7 27931-2015, страница 2282 страница 2282
  • ГОСТ Р ИСО/HL 7 27931-2015, страница 2283 страница 2283
  • ГОСТ Р ИСО/HL 7 27931-2015, страница 2284 страница 2284
  • ГОСТ Р ИСО/HL 7 27931-2015, страница 2285 страница 2285
  • ГОСТ Р ИСО/HL 7 27931-2015, страница 2286 страница 2286
  • ГОСТ Р ИСО/HL 7 27931-2015, страница 2287 страница 2287
  • ГОСТ Р ИСО/HL 7 27931-2015, страница 2288 страница 2288
  • ГОСТ Р ИСО/HL 7 27931-2015, страница 2289 страница 2289
  • ГОСТ Р ИСО/HL 7 27931-2015, страница 2290 страница 2290
  • ГОСТ Р ИСО/HL 7 27931-2015, страница 2291 страница 2291
  • ГОСТ Р ИСО/HL 7 27931-2015, страница 2292 страница 2292
  • ГОСТ Р ИСО/HL 7 27931-2015, страница 2293 страница 2293
  • ГОСТ Р ИСО/HL 7 27931-2015, страница 2294 страница 2294
  • ГОСТ Р ИСО/HL 7 27931-2015, страница 2295 страница 2295
  • ГОСТ Р ИСО/HL 7 27931-2015, страница 2296 страница 2296
  • ГОСТ Р ИСО/HL 7 27931-2015, страница 2297 страница 2297
  • ГОСТ Р ИСО/HL 7 27931-2015, страница 2298 страница 2298
  • ГОСТ Р ИСО/HL 7 27931-2015, страница 2299 страница 2299
  • ГОСТ Р ИСО/HL 7 27931-2015, страница 2300 страница 2300
  • ГОСТ Р ИСО/HL 7 27931-2015, страница 2301 страница 2301
  • ГОСТ Р ИСО/HL 7 27931-2015, страница 2302 страница 2302
  • ГОСТ Р ИСО/HL 7 27931-2015, страница 2303 страница 2303
  • ГОСТ Р ИСО/HL 7 27931-2015, страница 2304 страница 2304
  • ГОСТ Р ИСО/HL 7 27931-2015, страница 2305 страница 2305
  • ГОСТ Р ИСО/HL 7 27931-2015, страница 2306 страница 2306
  • ГОСТ Р ИСО/HL 7 27931-2015, страница 2307 страница 2307
  • ГОСТ Р ИСО/HL 7 27931-2015, страница 2308 страница 2308
  • ГОСТ Р ИСО/HL 7 27931-2015, страница 2309 страница 2309
  • ГОСТ Р ИСО/HL 7 27931-2015, страница 2310 страница 2310
  • ГОСТ Р ИСО/HL 7 27931-2015, страница 2311 страница 2311
  • ГОСТ Р ИСО/HL 7 27931-2015, страница 2312 страница 2312
  • ГОСТ Р ИСО/HL 7 27931-2015, страница 2313 страница 2313
  • ГОСТ Р ИСО/HL 7 27931-2015, страница 2314 страница 2314
  • ГОСТ Р ИСО/HL 7 27931-2015, страница 2315 страница 2315
  • ГОСТ Р ИСО/HL 7 27931-2015, страница 2316 страница 2316
  • ГОСТ Р ИСО/HL 7 27931-2015, страница 2317 страница 2317
  • ГОСТ Р ИСО/HL 7 27931-2015, страница 2318 страница 2318
  • ГОСТ Р ИСО/HL 7 27931-2015, страница 2319 страница 2319
  • ГОСТ Р ИСО/HL 7 27931-2015, страница 2320 страница 2320
  • ГОСТ Р ИСО/HL 7 27931-2015, страница 2321 страница 2321
  • ГОСТ Р ИСО/HL 7 27931-2015, страница 2322 страница 2322
  • ГОСТ Р ИСО/HL 7 27931-2015, страница 2323 страница 2323
  • ГОСТ Р ИСО/HL 7 27931-2015, страница 2324 страница 2324
  • ГОСТ Р ИСО/HL 7 27931-2015, страница 2325 страница 2325
  • ГОСТ Р ИСО/HL 7 27931-2015, страница 2326 страница 2326
  • ГОСТ Р ИСО/HL 7 27931-2015, страница 2327 страница 2327
  • ГОСТ Р ИСО/HL 7 27931-2015, страница 2328 страница 2328
  • ГОСТ Р ИСО/HL 7 27931-2015, страница 2329 страница 2329
  • ГОСТ Р ИСО/HL 7 27931-2015, страница 2330 страница 2330
  • ГОСТ Р ИСО/HL 7 27931-2015, страница 2331 страница 2331
  • ГОСТ Р ИСО/HL 7 27931-2015, страница 2332 страница 2332
  • ГОСТ Р ИСО/HL 7 27931-2015, страница 2333 страница 2333
  • ГОСТ Р ИСО/HL 7 27931-2015, страница 2334 страница 2334
  • ГОСТ Р ИСО/HL 7 27931-2015, страница 2335 страница 2335
  • ГОСТ Р ИСО/HL 7 27931-2015, страница 2336 страница 2336
  • ГОСТ Р ИСО/HL 7 27931-2015, страница 2337 страница 2337
  • ГОСТ Р ИСО/HL 7 27931-2015, страница 2338 страница 2338
  • ГОСТ Р ИСО/HL 7 27931-2015, страница 2339 страница 2339
  • ГОСТ Р ИСО/HL 7 27931-2015, страница 2340 страница 2340
  • ГОСТ Р ИСО/HL 7 27931-2015, страница 2341 страница 2341
  • ГОСТ Р ИСО/HL 7 27931-2015, страница 2342 страница 2342
  • ГОСТ Р ИСО/HL 7 27931-2015, страница 2343 страница 2343
  • ГОСТ Р ИСО/HL 7 27931-2015, страница 2344 страница 2344
  • ГОСТ Р ИСО/HL 7 27931-2015, страница 2345 страница 2345
  • ГОСТ Р ИСО/HL 7 27931-2015, страница 2346 страница 2346
  • ГОСТ Р ИСО/HL 7 27931-2015, страница 2347 страница 2347
  • ГОСТ Р ИСО/HL 7 27931-2015, страница 2348 страница 2348
  • ГОСТ Р ИСО/HL 7 27931-2015, страница 2349 страница 2349
  • ГОСТ Р ИСО/HL 7 27931-2015, страница 2350 страница 2350
  • ГОСТ Р ИСО/HL 7 27931-2015, страница 2351 страница 2351
  • ГОСТ Р ИСО/HL 7 27931-2015, страница 2352 страница 2352
  • ГОСТ Р ИСО/HL 7 27931-2015, страница 2353 страница 2353
  • ГОСТ Р ИСО/HL 7 27931-2015, страница 2354 страница 2354
  • ГОСТ Р ИСО/HL 7 27931-2015, страница 2355 страница 2355
  • ГОСТ Р ИСО/HL 7 27931-2015, страница 2356 страница 2356
  • ГОСТ Р ИСО/HL 7 27931-2015, страница 2357 страница 2357
  • ГОСТ Р ИСО/HL 7 27931-2015, страница 2358 страница 2358
  • ГОСТ Р ИСО/HL 7 27931-2015, страница 2359 страница 2359
  • ГОСТ Р ИСО/HL 7 27931-2015, страница 2360 страница 2360
  • ГОСТ Р ИСО/HL 7 27931-2015, страница 2361 страница 2361
  • ГОСТ Р ИСО/HL 7 27931-2015, страница 2362 страница 2362
  • ГОСТ Р ИСО/HL 7 27931-2015, страница 2363 страница 2363
  • ГОСТ Р ИСО/HL 7 27931-2015, страница 2364 страница 2364
  • ГОСТ Р ИСО/HL 7 27931-2015, страница 2365 страница 2365
  • ГОСТ Р ИСО/HL 7 27931-2015, страница 2366 страница 2366
  • ГОСТ Р ИСО/HL 7 27931-2015, страница 2367 страница 2367
  • ГОСТ Р ИСО/HL 7 27931-2015, страница 2368 страница 2368
  • ГОСТ Р ИСО/HL 7 27931-2015, страница 2369 страница 2369
  • ГОСТ Р ИСО/HL 7 27931-2015, страница 2370 страница 2370
  • ГОСТ Р ИСО/HL 7 27931-2015, страница 2371 страница 2371
  • ГОСТ Р ИСО/HL 7 27931-2015, страница 2372 страница 2372
  • ГОСТ Р ИСО/HL 7 27931-2015, страница 2373 страница 2373
  • ГОСТ Р ИСО/HL 7 27931-2015, страница 2374 страница 2374
  • ГОСТ Р ИСО/HL 7 27931-2015, страница 2375 страница 2375
  • ГОСТ Р ИСО/HL 7 27931-2015, страница 2376 страница 2376
  • ГОСТ Р ИСО/HL 7 27931-2015, страница 2377 страница 2377
  • ГОСТ Р ИСО/HL 7 27931-2015, страница 2378 страница 2378
  • ГОСТ Р ИСО/HL 7 27931-2015, страница 2379 страница 2379
  • ГОСТ Р ИСО/HL 7 27931-2015, страница 2380 страница 2380
  • ГОСТ Р ИСО/HL 7 27931-2015, страница 2381 страница 2381
  • ГОСТ Р ИСО/HL 7 27931-2015, страница 2382 страница 2382
  • ГОСТ Р ИСО/HL 7 27931-2015, страница 2383 страница 2383
  • ГОСТ Р ИСО/HL 7 27931-2015, страница 2384 страница 2384
  • ГОСТ Р ИСО/HL 7 27931-2015, страница 2385 страница 2385
  • ГОСТ Р ИСО/HL 7 27931-2015, страница 2386 страница 2386
  • ГОСТ Р ИСО/HL 7 27931-2015, страница 2387 страница 2387
  • ГОСТ Р ИСО/HL 7 27931-2015, страница 2388 страница 2388
  • ГОСТ Р ИСО/HL 7 27931-2015, страница 2389 страница 2389
  • ГОСТ Р ИСО/HL 7 27931-2015, страница 2390 страница 2390
  • ГОСТ Р ИСО/HL 7 27931-2015, страница 2391 страница 2391
  • ГОСТ Р ИСО/HL 7 27931-2015, страница 2392 страница 2392
  • ГОСТ Р ИСО/HL 7 27931-2015, страница 2393 страница 2393
  • ГОСТ Р ИСО/HL 7 27931-2015, страница 2394 страница 2394
  • ГОСТ Р ИСО/HL 7 27931-2015, страница 2395 страница 2395
  • ГОСТ Р ИСО/HL 7 27931-2015, страница 2396 страница 2396
  • ГОСТ Р ИСО/HL 7 27931-2015, страница 2397 страница 2397
  • ГОСТ Р ИСО/HL 7 27931-2015, страница 2398 страница 2398
  • ГОСТ Р ИСО/HL 7 27931-2015, страница 2399 страница 2399
  • ГОСТ Р ИСО/HL 7 27931-2015, страница 2400 страница 2400
  • ГОСТ Р ИСО/HL 7 27931-2015, страница 2401 страница 2401
  • ГОСТ Р ИСО/HL 7 27931-2015, страница 2402 страница 2402
  • ГОСТ Р ИСО/HL 7 27931-2015, страница 2403 страница 2403
  • ГОСТ Р ИСО/HL 7 27931-2015, страница 2404 страница 2404
  • ГОСТ Р ИСО/HL 7 27931-2015, страница 2405 страница 2405
  • ГОСТ Р ИСО/HL 7 27931-2015, страница 2406 страница 2406
  • ГОСТ Р ИСО/HL 7 27931-2015, страница 2407 страница 2407
  • ГОСТ Р ИСО/HL 7 27931-2015, страница 2408 страница 2408
  • ГОСТ Р ИСО/HL 7 27931-2015, страница 2409 страница 2409
  • ГОСТ Р ИСО/HL 7 27931-2015, страница 2410 страница 2410
  • ГОСТ Р ИСО/HL 7 27931-2015, страница 2411 страница 2411
  • ГОСТ Р ИСО/HL 7 27931-2015, страница 2412 страница 2412
  • ГОСТ Р ИСО/HL 7 27931-2015, страница 2413 страница 2413
  • ГОСТ Р ИСО/HL 7 27931-2015, страница 2414 страница 2414
  • ГОСТ Р ИСО/HL 7 27931-2015, страница 2415 страница 2415
  • ГОСТ Р ИСО/HL 7 27931-2015, страница 2416 страница 2416
  • ГОСТ Р ИСО/HL 7 27931-2015, страница 2417 страница 2417
  • ГОСТ Р ИСО/HL 7 27931-2015, страница 2418 страница 2418
  • ГОСТ Р ИСО/HL 7 27931-2015, страница 2419 страница 2419
  • ГОСТ Р ИСО/HL 7 27931-2015, страница 2420 страница 2420
  • ГОСТ Р ИСО/HL 7 27931-2015, страница 2421 страница 2421
  • ГОСТ Р ИСО/HL 7 27931-2015, страница 2422 страница 2422
  • ГОСТ Р ИСО/HL 7 27931-2015, страница 2423 страница 2423
  • ГОСТ Р ИСО/HL 7 27931-2015, страница 2424 страница 2424
  • ГОСТ Р ИСО/HL 7 27931-2015, страница 2425 страница 2425
  • ГОСТ Р ИСО/HL 7 27931-2015, страница 2426 страница 2426
  • ГОСТ Р ИСО/HL 7 27931-2015, страница 2427 страница 2427
  • ГОСТ Р ИСО/HL 7 27931-2015, страница 2428 страница 2428
  • ГОСТ Р ИСО/HL 7 27931-2015, страница 2429 страница 2429
  • ГОСТ Р ИСО/HL 7 27931-2015, страница 2430 страница 2430
  • ГОСТ Р ИСО/HL 7 27931-2015, страница 2431 страница 2431
  • ГОСТ Р ИСО/HL 7 27931-2015, страница 2432 страница 2432
  • ГОСТ Р ИСО/HL 7 27931-2015, страница 2433 страница 2433
  • ГОСТ Р ИСО/HL 7 27931-2015, страница 2434 страница 2434
  • ГОСТ Р ИСО/HL 7 27931-2015, страница 2435 страница 2435
  • ГОСТ Р ИСО/HL 7 27931-2015, страница 2436 страница 2436
  • ГОСТ Р ИСО/HL 7 27931-2015, страница 2437 страница 2437
  • ГОСТ Р ИСО/HL 7 27931-2015, страница 2438 страница 2438
  • ГОСТ Р ИСО/HL 7 27931-2015, страница 2439 страница 2439
  • ГОСТ Р ИСО/HL 7 27931-2015, страница 2440 страница 2440
  • ГОСТ Р ИСО/HL 7 27931-2015, страница 2441 страница 2441
  • ГОСТ Р ИСО/HL 7 27931-2015, страница 2442 страница 2442
  • ГОСТ Р ИСО/HL 7 27931-2015, страница 2443 страница 2443
  • ГОСТ Р ИСО/HL 7 27931-2015, страница 2444 страница 2444
  • ГОСТ Р ИСО/HL 7 27931-2015, страница 2445 страница 2445
  • ГОСТ Р ИСО/HL 7 27931-2015, страница 2446 страница 2446
  • ГОСТ Р ИСО/HL 7 27931-2015, страница 2447 страница 2447
  • ГОСТ Р ИСО/HL 7 27931-2015, страница 2448 страница 2448
  • ГОСТ Р ИСО/HL 7 27931-2015, страница 2449 страница 2449
  • ГОСТ Р ИСО/HL 7 27931-2015, страница 2450 страница 2450
  • ГОСТ Р ИСО/HL 7 27931-2015, страница 2451 страница 2451
  • ГОСТ Р ИСО/HL 7 27931-2015, страница 2452 страница 2452
  • ГОСТ Р ИСО/HL 7 27931-2015, страница 2453 страница 2453
  • ГОСТ Р ИСО/HL 7 27931-2015, страница 2454 страница 2454
  • ГОСТ Р ИСО/HL 7 27931-2015, страница 2455 страница 2455
  • ГОСТ Р ИСО/HL 7 27931-2015, страница 2456 страница 2456
  • ГОСТ Р ИСО/HL 7 27931-2015, страница 2457 страница 2457
  • ГОСТ Р ИСО/HL 7 27931-2015, страница 2458 страница 2458
  • ГОСТ Р ИСО/HL 7 27931-2015, страница 2459 страница 2459
  • ГОСТ Р ИСО/HL 7 27931-2015, страница 2460 страница 2460
  • ГОСТ Р ИСО/HL 7 27931-2015, страница 2461 страница 2461